Студопедия

КАТЕГОРИИ:


Архитектура-(3434)Астрономия-(809)Биология-(7483)Биотехнологии-(1457)Военное дело-(14632)Высокие технологии-(1363)География-(913)Геология-(1438)Государство-(451)Демография-(1065)Дом-(47672)Журналистика и СМИ-(912)Изобретательство-(14524)Иностранные языки-(4268)Информатика-(17799)Искусство-(1338)История-(13644)Компьютеры-(11121)Косметика-(55)Кулинария-(373)Культура-(8427)Лингвистика-(374)Литература-(1642)Маркетинг-(23702)Математика-(16968)Машиностроение-(1700)Медицина-(12668)Менеджмент-(24684)Механика-(15423)Науковедение-(506)Образование-(11852)Охрана труда-(3308)Педагогика-(5571)Полиграфия-(1312)Политика-(7869)Право-(5454)Приборостроение-(1369)Программирование-(2801)Производство-(97182)Промышленность-(8706)Психология-(18388)Религия-(3217)Связь-(10668)Сельское хозяйство-(299)Социология-(6455)Спорт-(42831)Строительство-(4793)Торговля-(5050)Транспорт-(2929)Туризм-(1568)Физика-(3942)Философия-(17015)Финансы-(26596)Химия-(22929)Экология-(12095)Экономика-(9961)Электроника-(8441)Электротехника-(4623)Энергетика-(12629)Юриспруденция-(1492)Ядерная техника-(1748)

Простые виды сопротивления. Сдвиг

8.1. Определение внутренних усилий при сдвиге

 

Кроме деформации растяжения или сжатия (см. лекцию № 3) материал нагруженного элемента конструкции может испытывать деформацию сдвига.

Сдвиг – вид сопротивления, при котором стержень нагружен двумя равными силами (на малом расстоянии друг от друга), перпендикулярными к оси бруса и направленными в противоположные стороны.

Примером такого действия сил на брус может быть разрезание ножницами прутьев, деформация заклепок, болтов, сварных швов между металлическими листами и т. п. Вообще же на практике сдвиг в чистом виде получить трудно, так как обычно деформация сдвига сопровождается другими видами деформаций и чаще всего изгибом.

Установим формулы для внутренних усилий, напряжений и деформаций, необходимые при расчете на сдвиг элементов конструкций, имеющих форму бруса. Пусть известна внешняя нагрузка F, вызывающая сдвиг одной части бруса относительно другой. Используя метод мысленных сечений (см. рисунок), находим величину внутренних усилий, действующих в сечении бруса. Очевидно, что в данном случае нагружения из шести уравнений равновесия лишь одно не обращается тождественно в ноль:

Таким образом, при сдвиге из шести внутренних усилий (N, Qy, Qz, Mx, My, Mz) в сечении элемента конструкции возникают только одно – поперечная сила (Qy или Qz).

8.2. Определение напряжений при сдвиге. Понятие о чистом сдвиге

 

Так как поперечная сила Qy (или Qz) является единственным внутренним усилием, возникающим в сечении стержня при сдвиге, и при этом она лежит в плоскости этого сечения, то и напряжения, возникающие здесь, должны лежать в плоскости сечения стержня. То есть при сдвиге в точках поперечного сечения стержня возникают только касательные напряжения τ.

В соответствии с определением (см. лекцию № 1), касательные напряжения τ, действующие в поперечном сечении (A) бруса, представляют собой интенсивность внутренних поперечных сил

исходя из чего можем записать (опуская соответствующие индексы):

При сдвиге условно считают, что касательные напряжения равномерно распределены по площади поперечного сечения (τ=const), поэтому

Тогда касательные напряжения при сдвиге определяются так:

 

Рассмотрим характер напряженно-деформированного состояния, которое возникает в точках стержня при сдвиге.

По закону парности касательных напряжений в продольных сечениях бруса, так же как и в его поперечных сечениях будут возникать только касательные напряжения. Тогда на гранях (параллельных соответствующим осям координат) бесконечно малого элемента, «вырезанного» в окрестности любой точки

стержня при сдвиге, будут действовать только касательные напряжения τ. Такой случай напряженного состояния называют чистым сдвигом.

Чистый сдвиг – частный случай плоского напряженного состояния, при котором по граням прямоугольного элемента действуют только касательные напряжения.

Определим величину и направление главных напряжений при чистом сдвиге:

так как то можем записать

Направление главных площадок определяется углом α, который найдем по формуле

учитывая, что

Как видим, при чистом сдвиге главные напряжения одинаковы по величине, противоположны по знаку и направлены под углом к оси стержня (третья главная площадка элемента совпадает с ненагруженной фасадной гранью элемента, следовательно σ2=0).

8.3. Определение деформаций и закон Гука при чистом сдвиге

 

Рассмотрим деформацию квадратного элемента при чистом сдвиге (см. рисунок).

Поскольку по граням элемента не действуют нормальные напряжения, то вдоль граней нет и удлинений. В то же время диагональ, совпадающая с направлением σ1, удлинится, а другая диагональ, совпадающая с направлением сжимающего напряжения σ3, укоротится. В результате квадрат трансформируется в ромб без изменения длины граней. Таким образом, деформация чистого сдвига характеризуется изменением первоначально прямых углов.

Более наглядное представление о деформации элемента при сдвиге можно получить, закрепив одну из граней (см. рисунок).

Малый угол γxy, на который изменяется первоначально прямой угол элемента при сдвиге, называется углом сдвига или относительным сдвигом:

Величину абсолютного смещения грани обозначают ∆s и называют абсолютным сдвигом.

Из треугольника BAB1 следует, что

Учитывая малость угла, можно считать, что

тогда окончательно запишем взаимосвязь между относительным и абсолютным сдвигом элемента

Зависимость между нагрузкой и деформацией при сдвиге можно проследить по так называемой диаграмме сдвиг а, которую получают обычно из опытов на кручение тонкостенных трубчатых образцов (в стенках которых, как увидим далее, также возникает напряженное состояние чистого сдвига). Для пластичных материалов диаграмма сдвига аналогична диаграмме растяжения и имеет с ней одинаковые характерные участки, в том числе и участок упругости.

Рассматривая деформацию сдвига в пределах упругости, найдем, что между

углом сдвига γxy и касательными напряжениями τxy существует линейная зависимость, которая носит название закона Гука при сдвиге и может быть выражена следующими формулами:

 

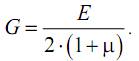
где G – коэффициент пропорциональности, который называется модулем упругости при сдвиге или модулем упругости второго рода и является константой для данного материала. Модуль сдвига может быть определен аналитически, если известны величины модуля Юнга и коэффициента Пуассона:

Заметим, что все рассмотренные характеристики упругости материала E, µ, G, K взаимосвязаны, однако в сопротивлении материалов и в теории упругости только две из них (чаще всего E и µ) принимаются независимыми.

Подставляя выражения (8.1) и (8.2) в формулы (8.3), можно записать закон Гука при сдвиге и во «внешних формах» (через абсолютные деформации и внутренние усилия):

где a – расстояние между сдвигаемыми гранями; A – площадь грани.

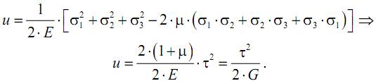
Удельную потенциальную энергию деформации (см. лекцию № 6) при сдвиге определим, учитывая, что следующим образом:

8.4. Расчет на прочность и допускаемые напряжения при сдвиге

 

Проверим прочность элемента, испытывающего деформацию чистого сдвига. Пусть касательные напряжения на гранях элемента максимальны и равны τmax, а допускаемое напряжение для материала при растяжении – [σ].

Если для материала известна величина допускаемых касательных напряжений при сдвиге [τ], то условие прочности может быть записано в виде:

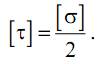
Величина допускаемых напряжений [τ] зависит от свойств материала, характера нагрузки, типа элементов конструкции и для чистого сдвига определяется обычно по III теории прочности:

Учитывая, что по III теории прочности

а при чистом сдвиге

можем записать

или

Сравнивая выражения (8.4) и (8.5), заметим, что по III теории прочности

Полученную величину допускаемых касательных напряжений [τ] используют при расчетах на прочность деталей, испытывающих деформацию сдвига, в соответствии с условием прочности (8.4).

 


<== предыдущая лекция | следующая лекция ==>
Предположения о характере функционирования систем | Вопрос 1. Социальная ситуация развития
Поделиться с друзьями:


Дата добавления: 2014-01-14; Просмотров: 975; Нарушение авторских прав?; Мы поможем в написании вашей работы!


Нам важно ваше мнение! Был ли полезен опубликованный материал? Да | Нет



studopedia.su - Студопедия (2013 - 2026) год. Все материалы представленные на сайте исключительно с целью ознакомления читателями и не преследуют коммерческих целей или нарушение авторских прав! Последнее добавление




Генерация страницы за: 0.012 сек.