Студопедия

КАТЕГОРИИ:


Архитектура-(3434)Астрономия-(809)Биология-(7483)Биотехнологии-(1457)Военное дело-(14632)Высокие технологии-(1363)География-(913)Геология-(1438)Государство-(451)Демография-(1065)Дом-(47672)Журналистика и СМИ-(912)Изобретательство-(14524)Иностранные языки-(4268)Информатика-(17799)Искусство-(1338)История-(13644)Компьютеры-(11121)Косметика-(55)Кулинария-(373)Культура-(8427)Лингвистика-(374)Литература-(1642)Маркетинг-(23702)Математика-(16968)Машиностроение-(1700)Медицина-(12668)Менеджмент-(24684)Механика-(15423)Науковедение-(506)Образование-(11852)Охрана труда-(3308)Педагогика-(5571)Полиграфия-(1312)Политика-(7869)Право-(5454)Приборостроение-(1369)Программирование-(2801)Производство-(97182)Промышленность-(8706)Психология-(18388)Религия-(3217)Связь-(10668)Сельское хозяйство-(299)Социология-(6455)Спорт-(42831)Строительство-(4793)Торговля-(5050)Транспорт-(2929)Туризм-(1568)Физика-(3942)Философия-(17015)Финансы-(26596)Химия-(22929)Экология-(12095)Экономика-(9961)Электроника-(8441)Электротехника-(4623)Энергетика-(12629)Юриспруденция-(1492)Ядерная техника-(1748)

Расчет зоны питания

Схема потоков в зоне питания (эвапораторе или питательной зоне) приведена на рисунке 2.11.

Материальный баланс процесса однократного испарения в зоне подачи сырья:

Первое уравнение подставим во второе и поделим на F

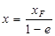
Обозначим:

(50)

где доля отгона при вводе сырья в колонну

Определим крайние точки этой прямой

Точка E y=0

Точка G x=0

Прямая EG соответствует уравнению при данной доле отгона сырья. Составы паров и жидкости и при входе в колонну определяются на пересечении кривой равновесия и линии сырья (точка Н). Продлим точку Н до пересечения оперативных линий и нижней части колонн (точка а и точка в). Соединим точки ав, получим линию ав – оперативную линию зоны питания и составы встречных неравновесных потоков пара и жидкости и будут определятся линией ав. Таким образом, переход от концентрационной к отгонной части колонны осуществляется через одну точку h, находящуюся на линии ab.

На рисунке 2.12 приведено построение составов потоков, проходящих через зону питания, что обеспечивает правильный переход от верхней части колонны к нижней при определении числа тарелок.

Рисунок 2.12 Графическое определение числа теоретических тарелок на диаграмме x-y.

<== предыдущая лекция | следующая лекция ==>
Расчет числа тарелок в отгонной части колонны | Эффективность тарелки
Поделиться с друзьями:


Дата добавления: 2014-01-15; Просмотров: 515; Нарушение авторских прав?; Мы поможем в написании вашей работы!


Нам важно ваше мнение! Был ли полезен опубликованный материал? Да | Нет



studopedia.su - Студопедия (2013 - 2026) год. Все материалы представленные на сайте исключительно с целью ознакомления читателями и не преследуют коммерческих целей или нарушение авторских прав! Последнее добавление




Генерация страницы за: 0.014 сек.