Студопедия

КАТЕГОРИИ:


Архитектура-(3434)Астрономия-(809)Биология-(7483)Биотехнологии-(1457)Военное дело-(14632)Высокие технологии-(1363)География-(913)Геология-(1438)Государство-(451)Демография-(1065)Дом-(47672)Журналистика и СМИ-(912)Изобретательство-(14524)Иностранные языки-(4268)Информатика-(17799)Искусство-(1338)История-(13644)Компьютеры-(11121)Косметика-(55)Кулинария-(373)Культура-(8427)Лингвистика-(374)Литература-(1642)Маркетинг-(23702)Математика-(16968)Машиностроение-(1700)Медицина-(12668)Менеджмент-(24684)Механика-(15423)Науковедение-(506)Образование-(11852)Охрана труда-(3308)Педагогика-(5571)Полиграфия-(1312)Политика-(7869)Право-(5454)Приборостроение-(1369)Программирование-(2801)Производство-(97182)Промышленность-(8706)Психология-(18388)Религия-(3217)Связь-(10668)Сельское хозяйство-(299)Социология-(6455)Спорт-(42831)Строительство-(4793)Торговля-(5050)Транспорт-(2929)Туризм-(1568)Физика-(3942)Философия-(17015)Финансы-(26596)Химия-(22929)Экология-(12095)Экономика-(9961)Электроника-(8441)Электротехника-(4623)Энергетика-(12629)Юриспруденция-(1492)Ядерная техника-(1748)

Совокупный спрос и его составляющие

 

СОВОКУПНЫЙ СПРОС (AD) - это общее или суммарное количество продукции, которое может быть куплено при данном уровне цен и при прочих равных условиях

Совокупный спрос представляет собой желаемую вели­чину расходов на:

а) потребление;

б) частные внутренние инвестиции;

в) государственные закупки товаров и услуг;

г) чистый экспорт во всех секторах экономики. Он скла­дывается из четырех составляющих;

1. Потребление. Как известно, объём потребления (С) прежде всего определяется величиной располагае­мого дохода, который равен личному доходу частных лиц за вычетом уплаченных налогов. Динамика по­требления в долгом периоде связана с величиной до­ходов, имущества и уровня цен Анализ совокупного спроса концентрируется главным образом на факто­рах реального потребления (номинальной стоимости потребления, разделенной на индекс уровня цен).

2. Инвестиции. Инвестиции (I) включают в себя частные закупки недвижимости, оборудования, запасы Объем инвестиций определяется, в основном, уровнем выпуска, стоимостью капитала, ожиданиями будущей конъюнктуры. Основное влияние экономической политики на инвестиции осуществляется посредством кредитно-денежной политики.

3. Государственные закупки. Государственные закупки товаров и услуг (G) включают в себя, например, покупку правительством оружия строительного оборудования, финансирование государственных школ

4. Чистый экспорт Чистый экспорт (Х) равен разности между стоимостью экспорта и импорта. Объём импорта зависит от величины внутренних доходов и объёма производства внутри страны, состояние цен на внутренних и внешних рынках и обменного курса национальной валюты. Экспорт определяется доходами и объемом производства за рубежом, соот­ношением ем цен и валютным курсом.

Таким образом, совокупный спрос может быть выражен:

На совокупный спрос оказывают влияние ценовые и неценовые факторы. Важнейшей детерминантной сово­купного спроса выступает цена.

КРИВАЯ СОВОКУПНОГО СПРОСА (AD) показывает количество товаров и услуг, которое будет куплено при каж­дом возможном уровне цен.

Изменение объема совокупного спроса выражается в движении вдоль кривой AD.

Согласно количественной теории денег:

где Р - уровень цен в экономике; Y - реальный объем дохо­да М - количество денег в экономике; V - скорость обра­щения денег.

На рис. 12.1 приведены, различные сочетания Р и Y (при постоянном предложении денег).

Кривая AD направлена вниз, так как рост цен сокращает реальные запасы денежных средств.Следовательно, спрос на товары и услуги сокращается

Этим объясняется обратная зависимость между величиной AD и уровнем цен (при условии, что предложение денег и скорость их обращения фиксированы).

Отрицательный наклон кривой AD объясняется тремя, эффектами:

· эффектом Кейнса (эффектом процентной ставки);

· эффектом Пигу (эффектом реальных кассовых остатков, или эффектом богатства);

· эффектом импортных закупок.

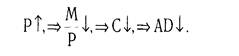
Эффект Кейнса (эффект процентной ставки) выражает­ся в том, что с ростом цен растет спрос на деньги; при неиз­менном предложении денег растет ставка процента. Таким образом сокращается объем инвестиций в экономику, а значит, снижается и объем совокупного спроса:

Эффект Пигу (реальных кассовых остатков, или богат­ства) означает уменьшение богатства, вызванное ростом уровня цен, приводит к сокращению потребления и, следо­вательно, совокупного спроса:

Эффект импортных закупок заключается в том, что рост цен внутри страны при стабильных ценах на импорт приводит к сокращению экспорта. Следовательно, сокраща­ется совокупный спрос в национальной экономике:

 

Помимо вышеперечисленных ценовых факторов на сово­купный спрос оказывают влияние неценовые факторы, ко­торые вызывают изменение характер совокупного спроса.

Изменение спроса приводит к смещению кривой AD.

К неценовым факторам AD относится все то, что влияет:

1) на потребительские расходы домохозяйств (бла­госостояние потребителей, их ожидания, изменения в подоходном налоге);

2) на инвестиционные расходы фирм (процентные ставки, субсидии, льготные кредиты инвесторам, на­логи на бизнес);

3) на государственные расходы (государственная по­литика);

4) на чистый экспорт (колебания валютных курсов, ус­ловии на внешних рынках и т. д.).

Кроме того, важно помнить еще два неценовых фактора: предложение денег и скорость обращения денег (Смотреть количественную теорию денег).

Изменение совокупного спроса иллюстрируется на рис. 12.2.

На рис. 12.2. показано отклонение кривой вправо от AU1 к AD1. Данный сдвиг указывает, что при различных уровнях цен желаемый объем товаров и услуг увеличивается. Сдвиг кривой AD влево от AD1 к AD3 показывает сокращение сово­купного спроса, означающее, что индивиды будут приобре­тать меньший объем товаров и услуг, нежели прежде, при различных уровнях цен.

Изменение в объёме AD наблюдается при условии, что изменяется один или несколько факторов, влияющих на AD, которые прежде предполагались неизменными.

<== предыдущая лекция | следующая лекция ==>
Определение оптимального объема капитала | Совокупное предложение и его факторы.
Поделиться с друзьями:


Дата добавления: 2014-01-15; Просмотров: 405; Нарушение авторских прав?; Мы поможем в написании вашей работы!


Нам важно ваше мнение! Был ли полезен опубликованный материал? Да | Нет



studopedia.su - Студопедия (2013 - 2026) год. Все материалы представленные на сайте исключительно с целью ознакомления читателями и не преследуют коммерческих целей или нарушение авторских прав! Последнее добавление




Генерация страницы за: 0.01 сек.