Студопедия

КАТЕГОРИИ:


Архитектура-(3434)Астрономия-(809)Биология-(7483)Биотехнологии-(1457)Военное дело-(14632)Высокие технологии-(1363)География-(913)Геология-(1438)Государство-(451)Демография-(1065)Дом-(47672)Журналистика и СМИ-(912)Изобретательство-(14524)Иностранные языки-(4268)Информатика-(17799)Искусство-(1338)История-(13644)Компьютеры-(11121)Косметика-(55)Кулинария-(373)Культура-(8427)Лингвистика-(374)Литература-(1642)Маркетинг-(23702)Математика-(16968)Машиностроение-(1700)Медицина-(12668)Менеджмент-(24684)Механика-(15423)Науковедение-(506)Образование-(11852)Охрана труда-(3308)Педагогика-(5571)Полиграфия-(1312)Политика-(7869)Право-(5454)Приборостроение-(1369)Программирование-(2801)Производство-(97182)Промышленность-(8706)Психология-(18388)Религия-(3217)Связь-(10668)Сельское хозяйство-(299)Социология-(6455)Спорт-(42831)Строительство-(4793)Торговля-(5050)Транспорт-(2929)Туризм-(1568)Физика-(3942)Философия-(17015)Финансы-(26596)Химия-(22929)Экология-(12095)Экономика-(9961)Электроника-(8441)Электротехника-(4623)Энергетика-(12629)Юриспруденция-(1492)Ядерная техника-(1748)

Центральная предельная теорема




Снова рассмотрим последовательность случайных величин {xi} и найдём закон распределения zn= x1+... + xnсуммы этих случайных величин при неограниченном возрастании n. Оказывается, что закон распределения такой суммы при весьма общих условиях близок к нормальному закону. Этот факт определяет особое значение нормального распределения в теории вероятностей и имеет огромное прикладное значение. Соответствующее утверждение называется центральной предельной теоремой. Её строгое доказательство при достаточно общих предположениях впервые было дано русским математиком А.М. Ляпуновым. В частности, она верна для случая, когда xiодинаково распределены и имеют математическое ожидание a и дисперсию s 2.

Теорема Ляпунова (точнее, её частный случай для одинаково распределенных слагаемых). Пусть {xi} - последовательность независимых случайных величин и

.

Если

то . (2.24)

Отсюда следует, что случайная величина распределена асимптотически нормально с параметрами 0 и 1, а znраспределена приблизительно нормально с параметрами na и .

Единственное условие теоремы Ляпунова состоит в существовании дисперсии слагаемых (одинаково распределённых). В общем случае эта теорема много шире (не требует одинаковости распределений слагаемых).

Интегральная теорема Муавра-Лапласа. Рассмотрим последовательность независимых, однородных испытаний (схема Бернулли), в каждом из которых событие A может появиться с вероятностью p. Вероятность того, что событие A появится при этом не менее m 1и не более m 2раз, определяется по формуле Бернулли

,

причём, при большом n применение этой формулы практически невозможно и применяется интегральная теорема Муавра-Лапласа. Для её обоснования рассмотрим последовательность случайных величин {xi}, принимающих значение 1, если событие произошло, и 0, если не произошло (индикаторов испытаний). Сумма индикаторов, то есть , равна числу появлений события A при n испытаниях (то есть m), причём

.

Условия теоремы Ляпунова выполнены, поэтому случайная величина zn= m распределена асимптотически нормально с математическим ожиданием a = np и среднеквадратическим отклонением . Остаётся найти вероятность того, что случайная величина zn= m будет заключена в пределах от m 1до m 2.

, (2.25)

где Ф(x) - функция Лапласа. Тем самым обоснована интегральная теорема Муавра-Лапласа.

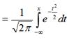
Итак, по теореме Муавра-Лапласа величина распределена приблизительно нормально. Из таблиц нормального распределения видно, что:

 

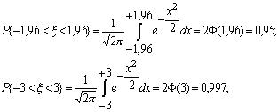
.

.

Написанные соотношения означают, что с вероятностью 0,95 нормальная стандартная величина по модулю не превосходит числа 1,96, а с вероятностью 0,997 – числа 3. Аналогично выписываются односторонние пределы для x.

Таким образом, с вероятностью 0,95 выполняется

;

а с вероятностью 0,997 выполняется

;

а вероятность нижеприведенных неравенств 0,025

;

а вероятность таких неравенств, когда в них 1,96 заменено на 3, вообще 0,001.

Можно для Х~N(a,s) определить число kbкак корень уравнения (он находится по таблице – для b= 0,95 kb= 1,96, для b= 0,997 kb= 3) и сказать, что с вероятностьюbвыполняется

|X-a|<kbs. (2.26)

Тогда с вероятностью b выполняется

.

Если мы введем ошибку a=1-b, то вероятность не попасть в односторонний интервал, определяемый kb, будет a /2, то есть

. (2.27)

Эти формулы являются прямым следствием из теоремы Муавра-Лапласа.

Пример. 900 раз бросали монету, и герб выпал 490 раз. Что мы можем сказать о симметричности монеты?

Решение. Если монета симметрична, то p=1/2, q=1/2, np = 450 и

;

.

Следовательно, мы можем сказать, что “на 95% мы уверены, что монета несимметрична”, но сказать, что мы уверены в этом на 99,7%, мы уже не можем.




Поделиться с друзьями:


Дата добавления: 2014-01-20; Просмотров: 547; Нарушение авторских прав?; Мы поможем в написании вашей работы!


Нам важно ваше мнение! Был ли полезен опубликованный материал? Да | Нет



studopedia.su - Студопедия (2013 - 2026) год. Все материалы представленные на сайте исключительно с целью ознакомления читателями и не преследуют коммерческих целей или нарушение авторских прав! Последнее добавление




Генерация страницы за: 0.011 сек.