Студопедия

КАТЕГОРИИ:


Архитектура-(3434)Астрономия-(809)Биология-(7483)Биотехнологии-(1457)Военное дело-(14632)Высокие технологии-(1363)География-(913)Геология-(1438)Государство-(451)Демография-(1065)Дом-(47672)Журналистика и СМИ-(912)Изобретательство-(14524)Иностранные языки-(4268)Информатика-(17799)Искусство-(1338)История-(13644)Компьютеры-(11121)Косметика-(55)Кулинария-(373)Культура-(8427)Лингвистика-(374)Литература-(1642)Маркетинг-(23702)Математика-(16968)Машиностроение-(1700)Медицина-(12668)Менеджмент-(24684)Механика-(15423)Науковедение-(506)Образование-(11852)Охрана труда-(3308)Педагогика-(5571)Полиграфия-(1312)Политика-(7869)Право-(5454)Приборостроение-(1369)Программирование-(2801)Производство-(97182)Промышленность-(8706)Психология-(18388)Религия-(3217)Связь-(10668)Сельское хозяйство-(299)Социология-(6455)Спорт-(42831)Строительство-(4793)Торговля-(5050)Транспорт-(2929)Туризм-(1568)Физика-(3942)Философия-(17015)Финансы-(26596)Химия-(22929)Экология-(12095)Экономика-(9961)Электроника-(8441)Электротехника-(4623)Энергетика-(12629)Юриспруденция-(1492)Ядерная техника-(1748)

Вопрос №4. Энергия заряженных тел




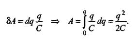
1.10
Предположим, что первоначально незаряженный конденсатор постепенно заряжается, причем разность потенциалов между его обклад-ками увеличивается от 0 до φ1 – φ2 = U. При этом заряд на обкладках возрастает от 0 до q = CU. Тогда элементарная работа δА по перемещению заряда dq от отрицательно наряженной обкладки с потенциалом φ2 к положительно заряженной до потенциала φ1: окладки будет равна dq(φ1 – φ2). Поэтому запишем:


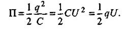
Работа, определяемая по формуле (1.10), расходуется на увеличение электриче­ской энергии заряженного конденсатора. Следовательно, его энергия:

 
 
1.11


Путем аналогичных рассуждений можно показать, что для заряженного уединен­ного проводника энергия:

1.12

Здесь С иφ — соответственно электроемкость и потенциал проводника; q—его заряд.

В общем случае заряды могут быть распределены по объему диэлектрика

(ρ =dq / dV) либо по поверхности заряженного проводника или наэлектризованного диэлек­трика (σ = dq / dS). Энергию такой системы зарядов можно определить путем интегриро­вания выражения dП = 1/2φ·dq по поверхности S (dq = σ·dS) и объему V(dq = ρdV ):

1.13

 

 




Поделиться с друзьями:


Дата добавления: 2014-01-20; Просмотров: 437; Нарушение авторских прав?; Мы поможем в написании вашей работы!


Нам важно ваше мнение! Был ли полезен опубликованный материал? Да | Нет



studopedia.su - Студопедия (2013 - 2026) год. Все материалы представленные на сайте исключительно с целью ознакомления читателями и не преследуют коммерческих целей или нарушение авторских прав! Последнее добавление




Генерация страницы за: 0.008 сек.