Студопедия

КАТЕГОРИИ:


Архитектура-(3434)Астрономия-(809)Биология-(7483)Биотехнологии-(1457)Военное дело-(14632)Высокие технологии-(1363)География-(913)Геология-(1438)Государство-(451)Демография-(1065)Дом-(47672)Журналистика и СМИ-(912)Изобретательство-(14524)Иностранные языки-(4268)Информатика-(17799)Искусство-(1338)История-(13644)Компьютеры-(11121)Косметика-(55)Кулинария-(373)Культура-(8427)Лингвистика-(374)Литература-(1642)Маркетинг-(23702)Математика-(16968)Машиностроение-(1700)Медицина-(12668)Менеджмент-(24684)Механика-(15423)Науковедение-(506)Образование-(11852)Охрана труда-(3308)Педагогика-(5571)Полиграфия-(1312)Политика-(7869)Право-(5454)Приборостроение-(1369)Программирование-(2801)Производство-(97182)Промышленность-(8706)Психология-(18388)Религия-(3217)Связь-(10668)Сельское хозяйство-(299)Социология-(6455)Спорт-(42831)Строительство-(4793)Торговля-(5050)Транспорт-(2929)Туризм-(1568)Физика-(3942)Философия-(17015)Финансы-(26596)Химия-(22929)Экология-(12095)Экономика-(9961)Электроника-(8441)Электротехника-(4623)Энергетика-(12629)Юриспруденция-(1492)Ядерная техника-(1748)

Тема 5. Моделирование одномерных временных рядов

Идентификация систем уравнений.

При переходе от приведенной формы модели к структурной исследователь сталкивается с проблемой идентификации. Иден­тификация — это единственность соответствия между приведен­ной и структурной формами модели.

С позиции идентифицируемости структурные модели можно подразделить на три вида:

• Идентифицируемые (структурные коэффици­енты СФМ определяются однозначно, единственным образом по коэф­фициентам ПФМ, т. е. если число парамет­ров СФМ равно числу параметров ПФМ);

• Неидентифицируемые (число коэф­фициентов ПФМ меньше числа структурных коэффициентов СФМ, и в ре­зультате структурные коэффициенты не могут быть оценены че­рез коэффициенты приведенной формы модели);

• Сверхидентифицируемые (число ко­эффициентов ПФМ больше числа структурных коэффициентов СФМ. В этом случае на основе коэффициентов приведенной формы можно по­лучить два или более значений одного структурного коэффици­ента).

Сверхидентифицируемая модель в отличие от неидентифицируемой модели практически решаема, но требует для этого специальных методов исчисления параметров.

Модель считается идентифицируемой, если каж­дое уравнение системы идентифицируемо. Если хотя бы одно из уравнений системы неидентифицируемо, то и вся модель счита­ется неидентифицируемой. Сверхидентифицируемая модель со­держит хотя бы одно сверхидентифицируемое уравнение.

Выполнение условия идентифицируемости модели проверя­ется для каждого уравнения системы. Чтобы уравнение было идентифицируемо, необходимо, чтобы число предопределенных переменных, отсутствующих в данном уравнении, но присутству­ющих в системе (Н), было равно числу эндогенных переменных в данном уравнении (D) без одного.

D + 1 = H— уравнение идентифицируемо;

D + 1 < H — уравнение неидентифицируемо;

D + 1 > H— уравнение сверхидентифицируемо.

Рассмотренное счетное правило отражает необходимое, но недостаточное условие идентификации. Более точно условия идентификации определяются, если накладывать ограничения на коэффициенты матриц параметров структурной модели. Уравнение идентифицируемо, если по отсутствующим в нем пе­ременным (эндогенным и экзогенным) можно из коэффициен­тов при них в других уравнениях системы получить матрицу, определитель которой не равен нулю, а ранг матрицы не меньше, чем число эндогенных переменных в системе без одного.

Процесс развития, движения социально-экономических явлений во времени в статистике принято называть динамикой. Для отображения динамики строят временные ряды, которые представляют собой ряды изменяющихся во времени значений статистического показателя, расположенных в хронологическом порядке. В нем процесс экономического развития изображается в виде совокупности перерывов непрерывного позволяющих детально проанализировать особенности развития при помощи характеристик, отражающих изменения параметров экономической системы во времени.

Составными элементами ряда динамики являются показатели уровней ряда и периоды времени(годы, кварталы, месяцы, сутки) или моменты(даты) времени.

Уровни ряда обычно обозначаются через «у», моменты или периоды времени, к которым относятся уровни, - через «t».

Каждый уровень временного ряда формируется под воздействием большого числа факторов, которые условно можно подразделить на три группы:

• факторы, формирующие тенденцию ряда;

• факторы, формирующие циклические колебания ряда;

• случайные факторы.

Очевидно, что реальные данные не следуют целиком и полно­стью из каких-либо описанных выше моделей. Чаще всего они содержат все три компоненты. Каждый их уровень формируется под воздействием тенденции, сезонных колебаний и случайной компоненты.

В большинстве случаев фактический уровень временного ря­да можно представить как сумму или произведение трендовой, циклической и случайной компонент. Модель, в которой вре­менной ряд представлен как сумма перечисленных компонент, называется аддитивной моделью временного ряда. Модель, в ко­торой временной ряд представлен как произведение перечислен­ных компонент, называется мультипликативной моделью времен­ного ряда. Основная задача эконометрического исследования от дельного временного ряда — выявление и придание количествен­ного выражения каждой из перечисленных выше компонент с тем, чтобы использовать полученную информацию для прогно­зирования будущих значений ряда или при построении моделей взаимосвязи двух или более временных рядов.

Корреляционную зависимость между последова­тельными уровнями временного ряда называют автокорреляцией уровней ряда.

Количественно ее можно измерить с помощью линейного ко­эффициента корреляции между уровнями исходного временного ряда и уровнями этого ряда, сдвинутыми на несколько шагов во времени.

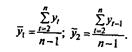
Одна из рабочих формул для расчета коэффициента корреля­ции имеет вид:

В качестве переменной xмы рассмотрим ряд у2, у3 ,..., y8; в ка­честве переменной у - ряд у1 у2..., у7. Тогда приведенная выше формула примет вид

 

где

Эту величину называют коэффициентом автокорреляции уровней ряда первого порядка, так как он измеряет зависимость между соседними уровнями ряда t и t - 1, т. е. при лаге 1.

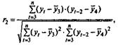
Аналогично можно определить коэффициенты автокорреля­ции второго и более высоких порядков. Так, коэффициент авто­корреляции второго порядка характеризует тесноту связи между уровнями у t и yt-1 и определяется по формуле

где

Число периодов, по которым рассчитывается коэффициент автокорреляции, называют лагом. С увеличением лага число пар значений, по которым рассчитывается коэффициент автокорре­ляции, уменьшается. Некоторые авторы считают целесообраз­ным для обеспечения статистической достоверности коэффици­ентов автокорреляции использовать правило — максимальный лаг должен быть не больше (n/4).

Отметим два важных свойства коэффициента автокорреляции. Во-первых, он строится по аналогии с линейным коэффициентом корреляции и таким образом характеризует тесноту только линейной связи текущего и предыдущего уровней ряда. Поэтому по ко­эффициенту автокорреляции можно судить о наличии линейной (или близкой к линейной) тенденции. Для некоторых временных рядов, имеющих сильную нелинейную тенденцию (например, па­раболу второго порядка или экспоненту), коэффициент автокор­реляции уровней исходного ряда может приближаться к нулю.

Во-вторых, по знаку коэффициента автокорреляции нельзя делать вывод о возрастающей или убывающей тенденции в уров­нях ряда. Большинство временных рядов экономических данных содержит положительную автокорреляцию уровней, однако при этом могут иметь убывающую тенденцию.

Последовательность коэффициентов автокорреляции уров­ней первого, второго и т. д. порядков называют автокорреляцион­ной функцией временного ряда. График зависимости ее значений от величины лага (порядка коэффициента автокорреляции) на­зывается коррелограммой.

Анализ автокорреляционной функции и коррелограммы поз­воляет определить лаг, при котором автокорреляция наиболее высокая, а следовательно, и лаг, при котором связь между теку­щим и предыдущими уровнями ряда наиболее тесная, т. е. при помощи анализа автокорреляционной функции и коррелограм­мы можно выявить структуру ряда.

Если наиболее высоким оказался коэффициент автокорреля­ции первого порядка, исследуемый ряд содержит только тенден­цию. Если наиболее высоким оказался коэффициент автокорре­ляции порядка τ, ряд содержит циклические колебания с перио­дичностью в τ моментов времени. Если ни один из коэффициен­тов автокорреляции не является значимым, можно сделать одно из двух предположений относительно структуры этого ряда: либо ряд не содержит тенденции и циклических колебаний и имеет структуру, сходную со структурой ряда, изображенного на рис. 5.1 в), либо ряд содержит сильную нелинейную тенденцию, для выявления которой нужно провести дополнительный анализ. Поэтому коэффициент автокорреляции уровней и автокорреля­ционную функцию целесообразно использовать для выявления во временном ряде наличия или отсутствия трендовой компонен­ты (T) и циклической (сезонной) компоненты (S).

Одним из наиболее распространенных способов моделирова­ния тенденции временного ряда является построение аналитиче­ской функции, характеризующей зависимость уровней ряда от времени, или тренда. Этот способ называют аналитическим вы­равниванием временного ряда.

Поскольку зависимость от времени может принимать разные формы, для ее формализации можно использовать различные ви­ды функций. Для построения трендов чаще всего применяются следующие функции:

• линейный тоекд:

• гипербола: = a + b/t;,

• экспоненциальный тренд:= еа + bt1;

• тренд в форме степенной функции

• парабола второго и более высоких порядков

Параметры каждого из перечисленных выше трендов можно определить обычным МНК, используя в качестве независимой переменной время t=1,2,..., n, а в качестве зависимой перемен­ной - фактические уровни временного ряда yt. Для нелинейных трендов предварительно проводят стандартную процедуру их ли­неаризации.

<== предыдущая лекция | следующая лекция ==>
Структурная и приведенная формы модели | Моделирование сезонных и циклических колебаний
Поделиться с друзьями:


Дата добавления: 2014-01-20; Просмотров: 1171; Нарушение авторских прав?; Мы поможем в написании вашей работы!


Нам важно ваше мнение! Был ли полезен опубликованный материал? Да | Нет



studopedia.su - Студопедия (2013 - 2026) год. Все материалы представленные на сайте исключительно с целью ознакомления читателями и не преследуют коммерческих целей или нарушение авторских прав! Последнее добавление




Генерация страницы за: 0.011 сек.