Студопедия

КАТЕГОРИИ:


Архитектура-(3434)Астрономия-(809)Биология-(7483)Биотехнологии-(1457)Военное дело-(14632)Высокие технологии-(1363)География-(913)Геология-(1438)Государство-(451)Демография-(1065)Дом-(47672)Журналистика и СМИ-(912)Изобретательство-(14524)Иностранные языки-(4268)Информатика-(17799)Искусство-(1338)История-(13644)Компьютеры-(11121)Косметика-(55)Кулинария-(373)Культура-(8427)Лингвистика-(374)Литература-(1642)Маркетинг-(23702)Математика-(16968)Машиностроение-(1700)Медицина-(12668)Менеджмент-(24684)Механика-(15423)Науковедение-(506)Образование-(11852)Охрана труда-(3308)Педагогика-(5571)Полиграфия-(1312)Политика-(7869)Право-(5454)Приборостроение-(1369)Программирование-(2801)Производство-(97182)Промышленность-(8706)Психология-(18388)Религия-(3217)Связь-(10668)Сельское хозяйство-(299)Социология-(6455)Спорт-(42831)Строительство-(4793)Торговля-(5050)Транспорт-(2929)Туризм-(1568)Физика-(3942)Философия-(17015)Финансы-(26596)Химия-(22929)Экология-(12095)Экономика-(9961)Электроника-(8441)Электротехника-(4623)Энергетика-(12629)Юриспруденция-(1492)Ядерная техника-(1748)

Нисходящее программирование




Методы программирования

Алгоритмические языки программирования

Алгоритмический язык программирования – формальный язык, используемый для записи, реализации и изучения алгоритмов. Всякий язык программирования является алгоритмическим языком, но не всякий алгоритмический язык пригоден для использования в качестве языка программирования.

Алгоритмический язык образуют три его составляющие: алфавит, синтаксис и семантика.

Алфавит – фиксированный для данного языка набор символов (букв, цифр, специальных знаков и т.д.), которые могут быть использованы при написании программы.

Синтаксис – правила построения из символов алфавита специальных конструкций, с помощью которых составляется алгоритм.

Семантика – система правил толкования конструкций языка.

Таким образом, программа составляется с помощью соединения символов алфавита в соответствии с синтаксическими правилами и с учетом правил семантики.

 

Существуют 3 основных принципа проектирования программных алгоритмов:

· нисходящее программирование;

· модульное программирование;

· структурное программирование

Метод нисходящего программирования предполагает последовательное разложение общей функции обработки данных на простые функциональные элементы («сверху-вниз»).

В результате строится иерархическая схема, отражающая состав и взаимоподчиненность отдельных функций, которая носит название функциональная структура алгоритма (ФСА) приложения.

Последовательность действий по разработке функциональной структуры алгоритма приложения:

· определяются цели автоматизации предметной области и их иерархия (цель-подцель);

· устанавливается состав приложений (задач обработки), обеспечивающих реализацию поставленных целей;

· уточняется характер взаимосвязи приложений и их основные характеристики (информация для решения задач, время и периодичность решения, условия выполнения и др.);

· определяются необходимые для решения задач функции обработки данных;

· выполняется декомпозиция функций обработки до необходимой структурной сложности, реализуемой предполагаемым инструментарием.

Подобная структура приложения отражает наиболее важное – состав и взаимосвязь функций обработки информации для реализации приложений, хотя и не раскрывает логику выполнения каждой отдельной функции, условия или периодичность их вызовов.

Разложение должно носить строго функциональный характер, т.е. отдельный элемент ФСА описывает законченную содержательную функцию обработки информации, которая предполагает определенный способ реализации на программном уровне.

Функции ввода-вывода информации рекомендуется отделять от функций вычислительной или логической обработки данных.

По частоте использования функции делятся на:

· однократно выполняемые;

· повторяющиеся.

Степень детализации функций может быть различной, но иерархическая схема должна давать представление о составе и структуре взаимосвязанных функций и общем алгоритме обработки данных. Широко используемые функции приобретают ранг стандартных (встроенных) функций при проектировании внутренней структуры программного продукта.

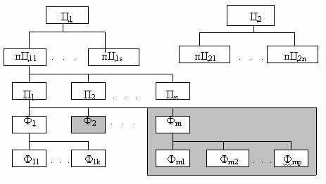
Пример. Некоторые функции, например Ф2, далее неразложимы на составляющие: они предполагают непосредственную программную реализацию.

Другие функции, например Ф1, Фm, могут быть представлены в виде структурного объединения более простых функций, например Ф11, Ф12 и т.д. Для всех функций-компонентов осуществляется самостоятельная программная реализация; составные функции (типа Ф1, Фm) реализуются как программные модули, управляющие функциями-компонентами, например, в виде программ-меню.

Функциональная структура приложения

Ц - цель; пЦ - подцель; П - приложение; Ф – функция

 




Поделиться с друзьями:


Дата добавления: 2014-01-20; Просмотров: 1162; Нарушение авторских прав?; Мы поможем в написании вашей работы!


Нам важно ваше мнение! Был ли полезен опубликованный материал? Да | Нет



studopedia.su - Студопедия (2013 - 2026) год. Все материалы представленные на сайте исключительно с целью ознакомления читателями и не преследуют коммерческих целей или нарушение авторских прав! Последнее добавление




Генерация страницы за: 0.008 сек.