Студопедия

КАТЕГОРИИ:


Архитектура-(3434)Астрономия-(809)Биология-(7483)Биотехнологии-(1457)Военное дело-(14632)Высокие технологии-(1363)География-(913)Геология-(1438)Государство-(451)Демография-(1065)Дом-(47672)Журналистика и СМИ-(912)Изобретательство-(14524)Иностранные языки-(4268)Информатика-(17799)Искусство-(1338)История-(13644)Компьютеры-(11121)Косметика-(55)Кулинария-(373)Культура-(8427)Лингвистика-(374)Литература-(1642)Маркетинг-(23702)Математика-(16968)Машиностроение-(1700)Медицина-(12668)Менеджмент-(24684)Механика-(15423)Науковедение-(506)Образование-(11852)Охрана труда-(3308)Педагогика-(5571)Полиграфия-(1312)Политика-(7869)Право-(5454)Приборостроение-(1369)Программирование-(2801)Производство-(97182)Промышленность-(8706)Психология-(18388)Религия-(3217)Связь-(10668)Сельское хозяйство-(299)Социология-(6455)Спорт-(42831)Строительство-(4793)Торговля-(5050)Транспорт-(2929)Туризм-(1568)Физика-(3942)Философия-(17015)Финансы-(26596)Химия-(22929)Экология-(12095)Экономика-(9961)Электроника-(8441)Электротехника-(4623)Энергетика-(12629)Юриспруденция-(1492)Ядерная техника-(1748)

Фитостероиды




 

Сравнительно недавно из растений были выделены новые классы природных биологически активных соединений стероидной природы.

1. Фитоэкдистероиды были открыты японским ученым Койи Наканиси в 1966 г. при исследовании извлечений из подокарпуса Накаи (Podocarpus nakai).

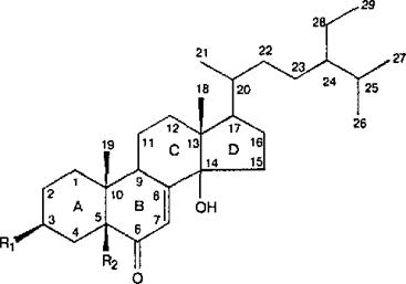
Фитоэкдистероиды (фитоэкдизоны) - природные полигидроксилированные стерины, производные циклопентанпергидрофенантрена, обладающие активностью гормонов линьки насекомых и метаморфоза членистоногих и подобные по структуре экдистероидам. Общая структура фито- и экдистероидов показана ниже.

 

 

Общая структура экдистероидов

R1 –OH, =O; R2 –OH

 

По мнению специалистов, можно ожидать существование более 1000 различных структур этого класса соединений, но пока выделено и подтверждено строение лишь небольшой их части.

Общее число углеродных атомов у фитоэкдистероидов может составлять 27, 28, 29 или 30 у соединений с полной боковой цепью или 24, 21 и 19 - у соединений, имеющих разрыв боковой цепи.

В основе строения экдизонов лежит циклопентанпергидрофенантрен, где наиболее часто в положении 17 присоединяется алифатическая цепочка из 8 углеродных атомов. Структурными особенностями, общими для всех гормонов линьки, являются дельта 7-6-кетогруппа и 14 альфа -гидроксильная группа. Число и положение других гидроксильных групп различны.

 

альфа -Экдизон бета -Экдизон (экдистерон)

 

Фитоэкдистероиды найдены у некоторых представителей царств протоктист (красные водоросли), грибов и растений. Среди растений они довольно обычны у папоротников и голосеменных. Скрининговый анализ покрытосеменных на наличие фитоэкдистероидов подтвердил их присутствие примерно в 400 видах растений, но, очевидно, количество их больше. Фитоэкдистероиды найдены как у двудольных, так и у однодольных. Они довольно обычны среди сложноцветных, гвоздичных, губоцветных и ряда других семейств.

В большинстве растений фитоэкдистероиды накапливаются в ничтожных количествах, в десятых и сотых долях процента. Лишь в некоторых видах, например серпухе сухоцветной (Serratula xeranthemoides Bieb.) количество экдистероидов достигает почти 2 %, а в цветках кукушкина цвета (Coccyganthe flos-cuculi (L.) Fourr.) - около 3 %.

Фитоэкдистероиды - твердые кристаллические вещества, хорошо растворимые в этаноле, метаноле, ацетоне, этилацетате, плохо - в хлороформе, нерастворимы в петролейном эфире. Оптически активны.

Для обнаружения экдистероидов ранее использовались биотесты, основанные на окукливании специальным образом препарированных личинок различных насекомых при введении им экстрактов, содержащих гормонально активные соединения. Ныне экспресс-анализ растительных образцов осуществляется благодаря биотесту, основанному на линии культуры клеток В-II Drosophila melanogaster. Для количественного обнаружения фитоэкдистероидов используются методы радиоиммунного анализа.

Помимо анализа интактных растений в последние десятилетия довольно широко изучаются культуры растительных клеток. В частности, в суспензионной культуре серпухи корончатой (Serratula coronata L.) на 30-35-е сутки культивирования суммарное содержание фитоэкдистероидов в клетках достигало 0,074 % от массы сухого вещества.

Роль фитоэкдистероидов в процессах роста и развития растений не вполне ясна, но активно обсуждается их функция экорегуляторов во взаимоотношениях между растениями и насекомыми.

Фитоэкдистероиды и содержащие их извлечения из растительного сырья оказывают адаптогенное и психостимулирующее действие. Кроме того, фитоэкдистероиды усиливают процессы белкового синтеза в организме и могут быть использованы как анаболические средства. Отмечена также антимикробная активность препаратов, содержащих фитоэкдистероиды. В этой связи предполагается и ранозаживляющее действие. В России среди официально зарегистрированных лекарственных средств значатся жидкий экстракт левзеи сафлоровидной (Rhaponticum carthamoides (Willd.) Iljin) и препарат «Экдистен», разработанный в 80-х годах XX века в Институте химии растительных веществ АН Узбекистана (тогда УзССР), который содержит 20-гидроксиэкдизон из подземных органов этого же растения. Возможно будут предложены и иные препараты из растений семейств сложноцветных и гвоздичных.

2. Витанолиды - другая группа фитостероидов, получившая свое название от витании снотворной (Withania somnifera (L.) Dunal.) - растения из семейства пасленовых, естественно произрастающего в Индии и на Ближнем Востоке.

В 1968 г. израильскими учеными из Withania somnifera был выделен первый фитостероид - витаферин А. Ныне, главным образом из представителей семейства пасленовых, выделено несколько десятков витанолидов. Все они - полиоксистероиды (С28), в основе которых лежит циклопентанпергидрофенантрен. В положении С20 находится шестичленное лактонное кольцо. Для всех выделенных витанолидов характерна кетогруппа в кольце А (С1). В некоторых соединениях обнаружены 4- бета -гидрокси-, 5- бета -, 6 бета -эпоксигруппировки.

Витаферин А

 

Витанолиды обладают довольно высокой биологической активностью. Разные витанолиды и первый выделенный витанолид - витаферин А в опытах на мышах в ничтожно малых дозах оказывают ингибирующее действие на рост раковых клеток. Полное исчезновение раковых клеток наблюдалось у 80 % мышей. Помимо противоопухолевого эффекта, витаферин А обладает также бактериостатическим действием.

Витанолиды с уникальной химической структурой, подобной структуре кардиотонических гликозидов, выделенные из другого вида витании - витании свертывающей (Withania coagulans (Stocks) Dunal.), проявляют кардиотонический эффект.

3. Аюгаэкдистероиды - стероиды, близкие по структуре витанолидам. Они обнаружены в различных видах рода живучка (Ajuga decumbens Tenore, A. procumbens Tenore и др.), относящегося к семейству губоцветных. Наиболее известное соединение - аюгалактон. В противоположность большинству фитоэкдистероидов, по биологической активности сходных с экдизоном, аюгастероиды, по-видимому, напротив, ингибируют развитие насекомых (по крайней мере, их метаморфоз). Известны попытки создания на основе аюгастероидов препаратов, эффективных против кровососущих насекомых.

 

 

Аюгалактон

 

4. Брассиностероиды - фитогормоны стероидной природы, влияющие на эффект растяжения клеток растений, т.е. стимулирующие формирование растений нормальных размеров.

Брассиностероиды были обнаружены в 1979 г. Первый брассиностероид, названный брассинолидом, выделили из пыльцы рапса (Brassica napus L.). В настоящее время известно более 60 соединений с брассиностероидной активностью.

Пока неизвестны случаи активного применения брассиностероидов в медицине, но следует ожидать соответствующих исследований в этой области, тем более что в эксперименте синтетические их аналоги показали in vitro и in vivo антигерпетическую активность.

 

Брассинолид

 

 




Поделиться с друзьями:


Дата добавления: 2014-01-11; Просмотров: 2933; Нарушение авторских прав?; Мы поможем в написании вашей работы!


Нам важно ваше мнение! Был ли полезен опубликованный материал? Да | Нет



studopedia.su - Студопедия (2013 - 2026) год. Все материалы представленные на сайте исключительно с целью ознакомления читателями и не преследуют коммерческих целей или нарушение авторских прав! Последнее добавление




Генерация страницы за: 0.01 сек.