Студопедия

КАТЕГОРИИ:


Архитектура-(3434)Астрономия-(809)Биология-(7483)Биотехнологии-(1457)Военное дело-(14632)Высокие технологии-(1363)География-(913)Геология-(1438)Государство-(451)Демография-(1065)Дом-(47672)Журналистика и СМИ-(912)Изобретательство-(14524)Иностранные языки-(4268)Информатика-(17799)Искусство-(1338)История-(13644)Компьютеры-(11121)Косметика-(55)Кулинария-(373)Культура-(8427)Лингвистика-(374)Литература-(1642)Маркетинг-(23702)Математика-(16968)Машиностроение-(1700)Медицина-(12668)Менеджмент-(24684)Механика-(15423)Науковедение-(506)Образование-(11852)Охрана труда-(3308)Педагогика-(5571)Полиграфия-(1312)Политика-(7869)Право-(5454)Приборостроение-(1369)Программирование-(2801)Производство-(97182)Промышленность-(8706)Психология-(18388)Религия-(3217)Связь-(10668)Сельское хозяйство-(299)Социология-(6455)Спорт-(42831)Строительство-(4793)Торговля-(5050)Транспорт-(2929)Туризм-(1568)Физика-(3942)Философия-(17015)Финансы-(26596)Химия-(22929)Экология-(12095)Экономика-(9961)Электроника-(8441)Электротехника-(4623)Энергетика-(12629)Юриспруденция-(1492)Ядерная техника-(1748)

Фенольные соединения




Фенольные соединения

  • 7.1. Общая характеристика фенольных соединений
  • 7.2. Характеристика простых фенольных соединений
  • 7.3. Листья толокнянки
  • 7.4. Листья брусники
  • 7.5. Корневища и корни родиолы розовой
  • 7.6. Трава пиона уклоняющегося. Корневища и корни пиона уклоняющегося
  • 7.7. Трава эхинацеи пурпурной. Корневища с корнями эхинацеи пурпурной
  • 7.8. Общая характеристика лигнанов
  • 7.9. Плоды лимонника. Семена лимонника
  • 7.10. Корневища и корни элеутерококка колючего
  • 7.11. Корневища с корнями подофилла
  • 7.12. Плоды расторопши пятнистой
  • 7.13. Общая характеристика кумаринов и хромонов
  • 7.14. Трава донника
  • 7.15. Плоды амми большой
  • 7.16. Плоды псоралеи костянковой
  • 7.17. Плоды пастернака посевного
  • 7.18. Листья смоковницы обыкновенной
  • 7.19. Корневища и корни вздутоплодника сибирского
  • 7.20. Плоды виснаги морковевидной. Смесь плодов амми зубной с половой

Природные фенольные соединения -вещества растительного происхождения, содержащие одно или несколько ароматических колец с одной или несколькими свободными или связанными гидроксильными группами.

Фенольные соединения имеют универсальное распространение в растительном мире. Они свойственны каждому растению и даже каждой растительной клетке. В настоящее время известно свыше двух тысяч природных фенольных соединений. На долю веществ этой группы приходится до 2-3 % массы органического вещества растений, а в некоторых случаях - до 10 % и более. Фенольные соединения обнаружены также в грибах, лишайниках, водорослях. Животные потребляют фенольные соединения в готовом виде и могут их только преобразовывать.

В растениях фенольные соединения играют очень важную роль. Они являются обязательными участниками всех метаболических процессов: дыхания, фотосинтеза, гликолиза, фосфорилирования.

1. Исследованиями русского ученого-биохимика В.И. Палладина (1912 г., Санкт-Петербург) установлено и подтверждено современными исследованиями, что фенольные соединения участвуют в процессе клеточного дыхания. Фенольные соединения выступают в качестве акцепторов (переносчиков) водорода на конечных этапах процесса дыхания, а затем вновь окисляются специфическими ферментами оксидазами.

2. Фенольные соединения являются регуляторами роста, развития и репродукции растений. При этом оказывают как стимулирующее, так и ингибирующее (замедляющее) действие.

3. Фенольные соединения используются растениями как энергетический материал, выполняют структурную, опорную и защитную функции (повышают устойчивость растений к грибковым заболеваниям, обладают антибиотическим и противовирусным действием).

 

Классификация фенольных соединений

 

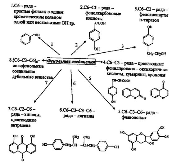
В основу классификации природных фенольных соединений положен биогенетический принцип. В соответствии с современными представлениями о биосинтезе и, исходя из структурных особенностей углеродного скелета, можно выделить следующие классы растительных фенолов.

Классификация природных фенольных соединений также представлена в таблице.

 





Поделиться с друзьями:


Дата добавления: 2014-01-11; Просмотров: 2258; Нарушение авторских прав?; Мы поможем в написании вашей работы!


Нам важно ваше мнение! Был ли полезен опубликованный материал? Да | Нет



studopedia.su - Студопедия (2013 - 2026) год. Все материалы представленные на сайте исключительно с целью ознакомления читателями и не преследуют коммерческих целей или нарушение авторских прав! Последнее добавление




Генерация страницы за: 0.01 сек.