Студопедия

КАТЕГОРИИ:


Архитектура-(3434)Астрономия-(809)Биология-(7483)Биотехнологии-(1457)Военное дело-(14632)Высокие технологии-(1363)География-(913)Геология-(1438)Государство-(451)Демография-(1065)Дом-(47672)Журналистика и СМИ-(912)Изобретательство-(14524)Иностранные языки-(4268)Информатика-(17799)Искусство-(1338)История-(13644)Компьютеры-(11121)Косметика-(55)Кулинария-(373)Культура-(8427)Лингвистика-(374)Литература-(1642)Маркетинг-(23702)Математика-(16968)Машиностроение-(1700)Медицина-(12668)Менеджмент-(24684)Механика-(15423)Науковедение-(506)Образование-(11852)Охрана труда-(3308)Педагогика-(5571)Полиграфия-(1312)Политика-(7869)Право-(5454)Приборостроение-(1369)Программирование-(2801)Производство-(97182)Промышленность-(8706)Психология-(18388)Религия-(3217)Связь-(10668)Сельское хозяйство-(299)Социология-(6455)Спорт-(42831)Строительство-(4793)Торговля-(5050)Транспорт-(2929)Туризм-(1568)Физика-(3942)Философия-(17015)Финансы-(26596)Химия-(22929)Экология-(12095)Экономика-(9961)Электроника-(8441)Электротехника-(4623)Энергетика-(12629)Юриспруденция-(1492)Ядерная техника-(1748)

Обнаружение оптических сигналов




Прием оптических сигналов подразумевает:

1) Обнаружение

2) Оценка параметров

На выходе ФЭД имеется случайная реализация.

 

 

Две гипотезы:

Hi - в реализации (сигнал + шум) имеется сигнал

Н0 - в реализации имеется только шум.

D - вероятность правильного обнаружения

F - вероятность ложкой тревоги (в Н­0 присутствует сигнал)

D = 1 – РП

Для оптимизации процедуры обнаружения сигнала требуется критерий оптимальности (критерий Неймана-Пирсона):

Требуется чтобы D = max, при заданной вероятности F.

D = max

F = задано

 

 

Отношение правдоподобия:

Рс+ш - многомерная плотность вероятности сигнал + шум

Рш - многомерная плотность вероятности только шум

Для конкретизации по критерию производится дискретизация реализации.

совокупность выборок:

Тогда отношение правдоподобия будет иметь вид:

и → многомерные

Реализация Отношение   Пороговое
Правдоподобия λ устройство
        λ0

Н1- λ > λ0

 

Н0 - λ ≤ λ0

 

 

У нас имеется энергочувствительный приемник, работающий в счетном режиме. На выходе ФЭДа имеются одиночные фотоэлектронные импульсы.

В каждом подинтервале Δ ti на выходе ФЭДа соответствует пi фотоэлектрону.

 

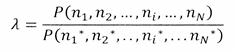
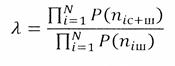
Для данного случая отношение правдоподобия:

 

Где P(n1,n2,…,ni,…,nN) - сигнал + шум;

P(n1с+ш,n2с+ш,…,niс+ш,…,nNс+ш) мгновенная условная плотность вероятности (МУПВ) фотоэлектронов на выходе ФЭДа, когда действует сигнал + шум;

P(n1*,n2*,…,ni*,…,nN*) - шум;

P(n,n,…,niш,…,nNш) - мгновенная условная плотность вероятности (МУПВ)

фотоэлектронов на выходе ФЭДа, когда действует шум.

 

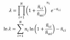
Момент возникновения фотоэлектронов на выходе ФЭД является независимой величиной, то (МУПВ) можно представить в виде произведений одномерных плотностей вероятности:

, где - среднее количество фотоэлектронов на интервале наблюдения. Учитывая Пуассоновский закон распределения, получим:

 

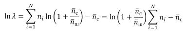
Производится подсчет фотоэлектронов для ¡-го подинтервала. При этом пс1- - среднее количество сигнальных фотоэлектронов на подинтервале ДТ; пШ[ - среднее количество фотоэлектронов выбитых из ФЭД за счет только шума. При обнаружении оптических сигналов используют логарифм отношения правдоподобия:

 

Оптимальный обнаружитель будет иметь вид:

 

 

 

 

Поскольку неизвестно количество фотоэлектронов в каждом подинтервале ni, переходят оптимального к квазиоптимальному. От многоканального переходят к одноканальному. Оценка реализации производится на всем интервале 0 ÷ Т.

 

Квазиоптимальная функция правдоподобия:

 

 

где с - среднее количество сигнальных фотоэлектронов за τи;

ш - среднее количество шумовых фотоэлектронов за τи.

 

 

Может быть получено путем рассмотрения одномерного закона распределения:

 

[n0] - целочисленное значение порога.

Квазиоптимальный алгоритм обнаружения:

 

 

Часто вместо счетчика на выход ставится интегрирующая RС-цепь.

 

Когда FП = 1... 10 Гц производится подсчет импульсов в пачке.

 

 

Когда неизвестно время прихода лазерного импульса, структура квазиоптимальных обнаруженных оптических сигналов имеет многоканальную структуру. Количество каналов N:

 

 

где δR - разрешающая способность по дальности.

 

 

Оптимальный и квазиоптимальный алгоритмы обнаружения соответствуют случаю распределения фотоэлектронов, соответствующих закону Пуассона. Структура квазиоптимальных обнаружителей остается такой же, меняется только n 0.

 




Поделиться с друзьями:


Дата добавления: 2014-01-11; Просмотров: 669; Нарушение авторских прав?; Мы поможем в написании вашей работы!


Нам важно ваше мнение! Был ли полезен опубликованный материал? Да | Нет



studopedia.su - Студопедия (2013 - 2026) год. Все материалы представленные на сайте исключительно с целью ознакомления читателями и не преследуют коммерческих целей или нарушение авторских прав! Последнее добавление




Генерация страницы за: 0.01 сек.