Студопедия

КАТЕГОРИИ:


Архитектура-(3434)Астрономия-(809)Биология-(7483)Биотехнологии-(1457)Военное дело-(14632)Высокие технологии-(1363)География-(913)Геология-(1438)Государство-(451)Демография-(1065)Дом-(47672)Журналистика и СМИ-(912)Изобретательство-(14524)Иностранные языки-(4268)Информатика-(17799)Искусство-(1338)История-(13644)Компьютеры-(11121)Косметика-(55)Кулинария-(373)Культура-(8427)Лингвистика-(374)Литература-(1642)Маркетинг-(23702)Математика-(16968)Машиностроение-(1700)Медицина-(12668)Менеджмент-(24684)Механика-(15423)Науковедение-(506)Образование-(11852)Охрана труда-(3308)Педагогика-(5571)Полиграфия-(1312)Политика-(7869)Право-(5454)Приборостроение-(1369)Программирование-(2801)Производство-(97182)Промышленность-(8706)Психология-(18388)Религия-(3217)Связь-(10668)Сельское хозяйство-(299)Социология-(6455)Спорт-(42831)Строительство-(4793)Торговля-(5050)Транспорт-(2929)Туризм-(1568)Физика-(3942)Философия-(17015)Финансы-(26596)Химия-(22929)Экология-(12095)Экономика-(9961)Электроника-(8441)Электротехника-(4623)Энергетика-(12629)Юриспруденция-(1492)Ядерная техника-(1748)

Периферийные и псевдопериферийные узлы графа. Понятие корневой структуры уровней

Эффективность алгоритма RCM критическим образом зависит от выбора начального узла. Значительный практический опыт свидетельствует, что в качестве начальных в алгоритме Катхилла-Макки имеет смысл использовать узлы, удаленные друг от друга на максимальное или достаточно большое расстояние.

Вспомним некоторые понятия теоии графов. Расстояние между двумя узлами графа - это длина кратчайшего пути, соединяющего узлы. Эксцентриситет узла - это величина, определяемая в соответствии с формулой:

 

.

Диаметр графа – это

.

 

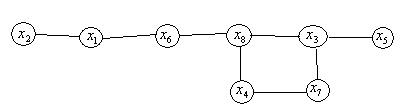
Узел называется периферийным, если его эксцентриситет равен диаметру графа. На рис.5 приведен пример графа с 8-ю узлами, диаметр которого равен 5. Пр этом узлы - периферийные.

 

Рис.5.

 

Целью является нахождение эффективного (эвристического) алгоритма для определения узлов с большим эксцентриситетом. Эвристический алгоритм не дает гарантии, что будет найден периферийный узел или хотя бы узел, близкий к периферийному. Тем не менее, получаемые узлы, как правило, имеют большой эксцентриситет и являются хорошими начальными значениями для использующих их алгоритмов. Кроме того, отыскание периферийных узлов, представляет собой «дорогостоящий» по вычислительной сложности процесс: наилучший известный алгоритм для этой задачи имеет в качестве оценки временной сложности величину .

Основной конструкцией, необходимой далее, является корневая структура уровней графа. При заданном узле корневой структурой уровней графа с корнем в узле называется такое разбиение множества

 

,

что

,

 

где — эксцентриситет узла ; — множество узлов графа, не принадлежащих , но смежных хотя бы с одним узлом из .

Эксцентриситет узла по отношению к структуре уровней называется длиной , а ширина структуры определяется как

 

.

 

На рис.6 показана корневая структура уровней для графа, приведенного на рис.5. Корень находится в узле . При этом , а .

 

Рис.6.

 

<== предыдущая лекция | следующая лекция ==>
Обратный алгоритм Катхилла-Макки упорядочения вершин графа | Упорядочение Кинга
Поделиться с друзьями:


Дата добавления: 2014-01-11; Просмотров: 526; Нарушение авторских прав?; Мы поможем в написании вашей работы!


Нам важно ваше мнение! Был ли полезен опубликованный материал? Да | Нет



studopedia.su - Студопедия (2013 - 2026) год. Все материалы представленные на сайте исключительно с целью ознакомления читателями и не преследуют коммерческих целей или нарушение авторских прав! Последнее добавление




Генерация страницы за: 0.011 сек.