Студопедия

КАТЕГОРИИ:


Архитектура-(3434)Астрономия-(809)Биология-(7483)Биотехнологии-(1457)Военное дело-(14632)Высокие технологии-(1363)География-(913)Геология-(1438)Государство-(451)Демография-(1065)Дом-(47672)Журналистика и СМИ-(912)Изобретательство-(14524)Иностранные языки-(4268)Информатика-(17799)Искусство-(1338)История-(13644)Компьютеры-(11121)Косметика-(55)Кулинария-(373)Культура-(8427)Лингвистика-(374)Литература-(1642)Маркетинг-(23702)Математика-(16968)Машиностроение-(1700)Медицина-(12668)Менеджмент-(24684)Механика-(15423)Науковедение-(506)Образование-(11852)Охрана труда-(3308)Педагогика-(5571)Полиграфия-(1312)Политика-(7869)Право-(5454)Приборостроение-(1369)Программирование-(2801)Производство-(97182)Промышленность-(8706)Психология-(18388)Религия-(3217)Связь-(10668)Сельское хозяйство-(299)Социология-(6455)Спорт-(42831)Строительство-(4793)Торговля-(5050)Транспорт-(2929)Туризм-(1568)Физика-(3942)Философия-(17015)Финансы-(26596)Химия-(22929)Экология-(12095)Экономика-(9961)Электроника-(8441)Электротехника-(4623)Энергетика-(12629)Юриспруденция-(1492)Ядерная техника-(1748)

Лекции по дисциплине




Ориентационная поляризация.

Молекулярная поляризация.

Электронная поляризации.

Виды поляризации

Все материалы содержат ионы, окруженные электронным облаками е – малоинерционные системы, они очень быстро реагируют на изменение поля, могут реагировать на поле оптического диапазона частот.

Приложенное электрическое поле воздействует на ионные решетки и растягивает связи между атомами (решетки N2Cl).

Наложение электрического поля в этом случае приводит к маленьким изменениям ионной связи. При этом увеличивается дипольный момент решетки.

Наблюдается, когда молекулы, имеющие постоянный или индукционный момент, ориентируются в направлении электрического поля. В слабом электрическом поле не все молекулы выстраиваются сразу в одном направлении. Согласно статистике Больцмана при термодинамическом равновесии число молекул с данной энергией Е пропорциональна:

Exp[-E/KT]. Если бы все молекулы выстраивались в одном направлении в эл.поле, то энергия была бы min при V отличной от нуля температуре будут J и др направления ориентации.

Средний дополнительный момент будет обратно пропорционален абсолютной температуре.

 

 

«Логистика складирования»

 

 

для специальности 080506.65 Логистика и управление цепями поставок

7 семестр

 

Автор: асс.каф. ЛиУ

Зарайченко И.А.

СОДЕРЖАНИЕ


СОДЕРЖАНИЕ................................................................................................................ 2

Тема 1. Основные функции и задачи складского хозяйства в логистической системе (2 часа)......................................................................................................................................................... 3

Тема 2. Классификация складов в логистике (2 часа)............................................ 9

Тема 3. Системы складирования в логистике (3 часа)......................................... 15

Тема 4. Стратегические задачи логистики складирования (2 часа).................. 23

Тема 5. Формирование складской сети (6 часов).................................................. 32

Тема 6. Проектирование складского хозяйства (4 часа)..................................... 54

Тема 7. Логистический процесс на складе (4 часа).............................................. 71

Тема 8. Оценка эффективности работы склада (2 часа)....................................... 93

Тема 9. Современные тенденции в техническом оснащении склада (2 часа) 98

Тема 9. Основные документы в логистике складирования (3 часа)............... 107

 


Тема 1. Основные функции и задачи складского хозяйства в логистической системе (2 часа)

1. Роль и место склада в логистической системе. 2. Склад как элемент логистической системы. 3. Функции и задачи складов в логистике. 4. Основные причины использования складов. 5. Условия эффективного функционирования склада в логистической системе. 6. Оптимизация складского хозяйства.

1. Логистический подход в управлении складами как основной частью логистической инфраструктуры на микро- и макроуровне требует централизованного управления складским хозяйством. На производстве это означает объединение складов снабжения, производственных складов и складов готовой продукции под единым началом службы логистики.

Это делает возможным получение точной информации о состоянии и местонахождении товарных запасов в любой момент – от выхода у источника сырья до получения товара конечным потребителем – информации о запасах в производственном комплексе и обо всех запасах сети распределения.

Со склада начинаются и складом заканчиваются как все функциональные области логистики, так и товародвижение внутри каждого звена ЛС.

Современный крупный склад представляет собой сложное техническое сооружение, которое состоит из множества различных подсистем (комплекс зданий, совокупность перерабатываемых грузов, система информационного обеспечения и т.д.) и элементов, имеющих определенную структуру, объединенную для выполнения конкретных функций по преобразованию материальных потоков.

В каждой из функциональных областей (снабженческой, производственной, распределительной) деятельность склада связана с определенной специализацией и назначением, а также местом склада в ЛС. Эти особенности отражаются как на функциях, так и на задачах склада. При этом характер функциональной области системы логистики влияет на решение задач логистики складирования: выбор формы собственности склада, размещение сим сети, техническая оснащенность склада, система складирования, организация складского процесса.

 

Рисунок 1 – Склады в функциональных областях логистики

 

2. Цель создания и функционирования склада в ЛС состоит в том, чтобы принимать грузопоток с транспорта с одними параметрами, перерабатывать и выдавать его на другой транспорт, с другими параметрами, и выполнять это с минимальными затратами, обеспечивая требования клиентов.

Склад как элемент ЛС действует на основе тех же принципов, что и система в целом. При этом цели и задачи системы определяют цели и задачи склада. Современный интегрированный подход в логистике предполагает управление сквозными потоками ЛС, проходящими через все ее звенья. Однако это совсем не исключает возможность анализа и исследования составляющих ее элементов.

Склады, являясь составной частью интегрированной ЛС, одновременно являются материально-технической базой основных участников (звеньев ЛС) этой системы, через которые проходит материальный поток. В ЛС склад играет роль ее элемента, поскольку обеспечивая осуществление логистических операций, он не подлежит дальнейшей декомпозиции в рамках поставленных задач ЛС.

На всех складах, независимо от их места в ЛС, происходит преобразование исходящего материального потока (по размерам, составу и времени) в выходящую партию в соответствии с заказами потребителей. То есть склад можно рассматривать как основной преобразователь материального потока ЛС от поставщиков сырья и материалов до поставки готовой продукции конечному потребителю. При этом вся деятельность склада должна быть направлена на оптимизацию не только самого склада, но и всей ЛС.

3. В своих целях и задачах склад ориентируется на оптимизацию ЛС, элементом которой он является, и должен адаптироваться к любым изменениям этой системы, связанным с накоплением, грузопереработкой, распределением и обслуживанием клиентов.

Склады в рамках ЛС должны выполнять основные функции:

– Выравнивание интенсивности материальных потоков в соответствии со спросом потребителя.

– Преобразование ассортимента внутри материального потока в соответствии с заказом клиента.

– Обеспечение концентрации и хранения запасов.

– Сглаживание асинхронного производственного процессе

– Унитизация партии отгрузки.

– Предоставление услуг.

Современный склад выполняет огромный объем сервисных логистических операций, предоставляя клиенту возможность широкого выбора логистических решений по складированию, грузопереработке, упаковке, транспортировке, информационным услугам и т.п.

В рамках системы логистики склад решает весьма разнообразные задачи:

– своевременное предоставление товаров и услуг потребителям, обеспечивая максимальный уровень обслуживания клиентов;

– концентрация и пополнение запасов при оптимальных затратах на основе учета запасов в натуральном и стоимостном выражениях;

– защита производства и потребителей от непредвиденных обстоятельств (отсутствие товаров у поставщика, забастовка, катастрофы и т.п.);

– сбалансирование увеличения темпов производства и объемов производимой продукции при росте спроса потребителей.

Склад решает и чисто традиционные задачи, связанные с осуществлением технологического процесса переработки грузов:

– максимальное использование складских мощностей;

– рациональное ведение погрузочно-разгрузочных и складских работ;

– эффективное использование складского оборудования;

– устранение потерь товаров при их складской обработке и хранении;

– подготовка товара к продаже: маркировка, специальная упаковка и т.д.

4. Основными причинами использования складов в ЛС можно считать, следующие:

- координация и выравнивание спроса и предложения в снабжении и распределении;

- уменьшение логистических издержек при транспортировке (экономичные партии доставки);

- обеспечение максимального удовлетворения потребительского проса (максимальный уровень сервисного обслуживания);

- создание условий для поддержания активной стратегии сбыта;

- увеличение географического охвата рынка сбыта (увеличение территориального охвата рынка);

- бесперебойное снабжение конечных потребителей и возможность организации у них товарных запасов;

- обеспечение гибкой политики обслуживания, особенно в системах с независимым спросом.

5. Основными условиями эффективного функционирования склада как элемента ЛС, вытекающими из общих принципов ее проектирования, можно считать следующие.

- Склад должен рассматриваться не изолированно, а лишь как элемент ЛС. Эффективность склада должна отвечать интересам эффективного функционирования ЛС в целом.

- Необходимо учитывать взаимодействия и взаимоотношения склада как на уровне всей ЛС (внешней среды окружения), так и внутри субъекта ЛС, чьей материально-технической базой он является.

- Необходимо увязать технические и технологические возможности движения материального потока, проходящего через склад, с внешним транспортом, а также с непосредственными поставщиками и покупателями.

- Снижение затрат на складскую обработку грузов не должно повлечь за собой понижение уровня обслуживания клиентов.

- Комплекс логистических услуг, предоставляемых складами должен отвечать политике фирмы при обслуживании клиентов.

- Технические и технологические решения на складе должны исходить не из модных течений, а из логистической необходимости и экономической целесообразности.

- Современный уровень развития ЛС предполагает автоматизированную систему управления информационными потоками, независимо от уровня технической оснащенности самого склада.

- Для снижения трудозатрат, связанных с документооборотом, целесообразно предусмотреть единый подход к документации между всеми участниками ЛС.

- Для автоматизации информационных потоков в системе и на складе в частности, целесообразно внедрение штрихового кодирования грузов на предприятиях изготовителей.

На политику складирования и деятельность склада компании оказывают влияние:

- место склада в ЛС;

- особенности отрасли;

- цель и задачи бизнеса, реализуемые компанией;

- доступность капитала;

- характеристики и особенности товара, такие, как вес и размер товара и упаковки, условия хранения, разнообразие товарных позиций, возможность замены одного товара другим;

- сроки хранения товара;

- экономические условия функционирования компании;

- конкурентная среда бизнеса;

- сезонность спроса на товар;

- применяемые логистические технологии;

- использование электронной коммерции и т.д.

6. Оптимизация складского хозяйства требует индивидуального подхода. Причиной этого являются специфические условия внешней среды и особенности функционирования компании и, соответственно, самого склада. Различия могут быть связаны со следующими параметрами:

– местонахождение (региональное) склада;

– особенности подъездных путей (близость или отдаленность от центральных магистралей, ориентация на работу с различными транспортными средствами);

– конструкция (этажность, высота здания, шаг колон, наличие и размещение подсобных помещений склада);

– погрузочно-разгрузочный фронт (число ворот, высота рампы, размеры погрузочно-разгрузочной площадки перед складом и его оснащение — характеристики ворот, уравнительные площадки или доклевеллеры);

– размеры складского здания (по ширине, длине, размеры пролета);

– система складирования и объемно-планировочные решения (виды и характеристиками стеллажей и расстановка их в пространстве, наличие и размеры рабочих зон склада, применяемая информационная система, система комиссионирования и управления грузопереработкой);

– техническое оснащение (виды и характеристика подъемно-транспортной техники);

– складской персонал (распределение функциональных обязанностей, численность персонала распределение материальной ответственности);

– товарные потоки (ассортимент, интенсивность поступления на склад и выхода со склада, применяемые складские товароносители и транспортная тара и т.д.);

– клиентская база (география потребителей, величина и ассортимент партий поставок, частота и ритмичность поставок, время работы клиентов, требования к обслуживанию и т.д.);

– поставщики (география поставщиков, условия их поставки, включая ассортимент, транспортные возможности, минимальный и максимальный размер партии и т.д.).

Тема 2. Классификация складов в логистике (2 часа)

1. Критерии классификации складов в логистике. 2. Классификация складов по технической оснащенности. 3. Классификация складов по отношению к функциональным областям логистики. 4. Кросс-докинг. 5. Субъекты логистической системы, имеющие склады.

1. Для целей управления применяются различные классификации складов. Существуют классификации по следующим признакам:

– по виду продукции:

- склад сырья, материалов, комплектующих;

- склад полуфабрикатов;

- склад готовой продукции;

- по ассортименту:

- специализированные (единственный продукт);

- со смешанным ассортиментом;

- с универсальным ассортиментом;

– по форме собственности:

- собственный склад;

- съемный (арендованный) склад;

– по функциональному назначению:

- производственные - склады сырья, комплектующих, материалов, цеховые склады готовых изделий, заводские склады готовой продукции;

- транзитно-перевалочные — склады при железнодорожных станциях, портах, речных пристанях, аэропортах, автогрузовых терминалах служат для кратковременного хранения грузов в период перегрузки их с одного вида транспорта на другой;

- таможенные — склады для хранения товаров в ожидании таможенной очистки;

- досрочного завоза - склады в районах, доставка товаров в которые возможна лишь в определенные периоды года;

- сезонного хранения — склады для товаров сезонного характера;

- резервные — для хранения запасов на случай чрезвычайных обстоятельств;

- оптовые распределительные — склады, снабжающие товаропроводящие сети;

- коммерческие общего пользования — склады, обслуживающие любых владельцев товаров;

- розничные — склады торговых предприятий;

– по отношению к участникам логистической системы:

- склад поставщика;

- склад потребителя;

- склад посредника и т.п.;

– по товарной специализации (по видам хранимой продукции);

- по условиям хранения:

- общего назначения;

- резервуары;

- сейфы для опасных веществ;

- специализированные склады-хранилища (овощехранилища, склады-холодильники и др.)

- по характеру использования:

- индивидуального (хранится товар единственного предприятия);

- коллективного пользования (хранится товар различных предприятий);

– по наличию транспортных сетей:

- портовые (вблизи порта);

- прирельсовые (вблизи железнодорожных путей);

- глубинные (отдаленные от крупных транспортных развязок);

- по уровню автоматизации и механизации:

- немеханизированные (используется только ручной труд);

- механизированные (используется механическая тяга);

- автоматизированный (используется частичная автоматизация);

- автоматический (полное автоматическое управление операциями на складе);

- по уровням товаропроводящей сети:

- центральные или зональные склады изготовителей, обслуживающие региональные склады своей системы продвижения товаров в географических или административных регионах;

- региональные (дистрибьюторские) склады, обслуживающие своих дилеров в одном регионе;

- дилерские, обслуживающие мелкооптовых и\или розничных потребителей в районах потребления товаров;

– по технической оснащенности;

– по отношению к базисным функциональным областям;

2. Наиболее распространена в России классификация по технической оснащенности. Это обусловлено тем, что как правило данный вид классификации применяется при продаже, строительстве и сдаче в аренду складских площадей. Согласно этой классификации склады делятся на классы: А, В, С.

Складские помещения класса «А»:

– современное одноэтажное складское здание из легких металлоконструкций, предпочтительно прямоугольной формы, без колонн или с шагом колонн не менее 9 м и с расстоянием между пролетами не менее 24 м;

– ровный бетонный пол с антипылевым покрытием, с нагрузкой не менее 5 т/м2, на уровне 1,20 м от земли;

– потолки не менее 10 м;

– регулируемый температурный режим и система вентиляции;

– система пожарной сигнализации и автоматической системы пожаротушения;

– охранная сигнализация и система видеонаблюдения;

– достаточное число автоматических ворот докового типа с погрузочно-разгрузочными площадками регулируемой высоты;

– парковка для легковых и грузовых машин необходимого размера и маневровых площадок для большегрузов;

– наличие офисных и вспомогательных помещений;

– оптико-волоконные телекоммуникации;

– положение вблизи центральных магистралей;

– наличие системы учета и контроля доступа сотрудников.

– автономная электроподстанция и тепловой узел.

– железнодорожная ветка.

Складские помещения класса «В»

– одно-, двухэтажное складское здание, предпочтительно прямоугольной формы, вновь построенное или реконструированное;

– в случае двухэтажного строения - наличие грузовых лифтов;

– высота потолков — от 6 м;

– пол — асфальт или бетон без покрытия;

– система отопления и вентиляции;

– пожарная сигнализации и система пожаротушения;

– пандус для разгрузки автотранспорта;

– наличие площадок для отстоя и маневрирования грузовых автомобилей;

– телекоммуникации;

– система охранной сигнализаций и система видеонаблюдения;

– наличие вспомогательных и офисных помещений;

– наличие системы учета и контроля доступа сотрудников;

– автономная электроподстанция и тепловой узел;

– железнодорожная ветка.

Складские помещения класса «С»

– капитальное производственное помещение или утепленный ангар;

– высота потолков — от 4 м;

– пол — асфальт или бетонная плитка, бетон без покрытия;

– в случае многоэтажного строения — наличие подъемников;

– ворота на нулевой отметке (высота от земли = 0).

– наличие площадок для отстоя и маневрирования большегрузных автомобилей;

– система вентиляции и отопления;

– пожарная сигнализации и система пожаротушения;

– офисные помещения при складе;

– железнодорожная ветка;

– пандус для разгрузки автотранспорта;

– охрана по периметру территории;

– телекоммуникации.

3. По отношению к функциональным областям логистикивыделяют:

Склады логистики снабжения специализируются на хранении сырья, материалов, комплектующих и другой продукции производственного назначения и осуществляют снабжение прежде всего производственных потребителей и делятся на:

• склады сырья и материалов (груз в жидком или сыпучем состоянии). Для них характерна переработка однородных грузов, поступающих большими партиями, интенсивными грузопотоками, с ритмичным графиком поставки потребителю, с относительно постоянной оборачиваемостью, в связи с чем на них возможно обеспечение высокого уровня механизации и автоматизация;

• склады продукции производственного назначения (комплектующих, вспомогательных материалов) работают, как правило, с тарными и штучными грузами с высокой массой, относительно однородной номенклатуры, большими объемами переработки, поэтому здесь применим высокий уровень механизации и автоматизации.

Склады производственной логистики входят в состав организационной системы производства и предназначены для обеспечения производственного процесса. На этих складах хранятся запасы незавершенного производства, приборы и инструменты, запчасти, грузопереработка на них связана с относительно постоянной номенклатурой груза, поступающего со склада с определенной периодичностью и малым сроком хранения, что позволяет добиваться автоматизированной обработки груза или высокого уровня механизации производимых работ.

Склады распределительной логистики служат для поддержания непрерывности движения товаров из сферы производства в сферу потребления. Основное их назначение состоит в преобразовании производственного ассортимента в торговый и в бесперебойном обеспечении различных потребителей, включая розничную сеть. Среди них выделяют:

· склады готовой продукции и распределительные склады производителей в различных регионах сбыта (центральные и филиальные склады) занимаются складированием тарных и штучных грузов сравнительно однородной продукции (в пределах ассортиментного перечня одного изготовителя) с быстрой оборачиваемостью, реализуемых крупными партиями;

· склады оптовой торговли товарами народного потребления в основном снабжают потребителей-производителей, другие оптовые компании, розничную сеть и сферу услуг. В силу своего назначения такие склады концентрируют запасы с очень широкой номенклатурой груза и неравномерной оборачиваемостью (иногда сезонного спроса) товара, реализуемого различными партиями поставки;

· склады розничной торговли ведут снабжение розничной сети в рамках единой организационно-хозяйственной структуры. Хранятся товары большого ассортимента, реализация со склада осуществляется мелкими партиями частыми поставками;

· склады транспортных организаций предназначенные для временного складирования, связанного с экспедицией материальных ценностей. Сюда относятся склады железнодорожных станций, грузовые терминалы автотранспорта, морских и речных портов, терминалы воздушного транспорта. Срок хранения грузов сведен к минимум так как целью существования такого склада является эффективное и своевременное снабжение клиентов посредством перевалки с одного вида транспортного средства на другой;

· склады логстических посредников, которые предлагают складские услуги как производителям, так и предприятиям торговли и сферы услуг.

4. С позиции логистики склад представляет собой точку преобразования материального потока. В связи с чем возникло понятие «кросс-докинг». «Кросс-докинг» представляет собой склад, ориентированный на выполнение операций приемки и отгрузки, при этом зона и период хранения сведены к нулю или составляют порядка 1-4 дней.

Склады типа «кросс-докинг» делятся на:

- кросс-докинг распределительный (грузовые единицы не расформировываются, после разгрузки на складе формируется заказ в соответствии с требованиями потребителя и отгружается) (рисунок 2);

 

 

Рисунок 2 – Кросс-докинг распределительный

 

- кросс-докинг подсортировочные (после разгрузки транспортная единица расформировывается и собираются заказы для отгрузки потребителям) (рисунок 3).

 

 

Рисунок 3 – Кросс-докинг подсортировочный

 

Кроме этого по срокам хранения товара на складе такого типа различают склады:

- кросс-докинг (отсутствует хранение грузов);

- кросс-докинг плюс (допускается хранение грузов 1-4 дня).

5. Основные субъекты ЛС, имеющие склады, подразделяются:

• производственные предприятия — предприятия, добывающие сырье и материалы; производители комплектующих и другие производители инвестиционных товаров, а также производители готовой продукции товаров народного потребления;

- предприятия торговли (розничная торговая сеть) и сферы услуг, являющиеся конечной точкой в управлении логистической системы реализующие товары или услуги индивидуальным потребителям;

- посредники:

- оптовые предприятия — вся группа посредников, занимающихся торгово-посреднической деятельностью;

- логистические посредники: посредники, обеспечивающие продвижение материальных и информационных потоков между другими субъектами логистической системы;

- посредники, обеспечивающие функционирование логистической системы через проведение информационных и финансовых потоков: банки, биржи, страховые агентства и т.д.

Тема 3. Системы складирования в логистике (3 часа)

1. Разработка оптимальной системы складирования. 2. Элементы системы складирования. 3. Алгоритм выбора системы складирования. 4. Критерии выбора системы складирования.

 

1. Система складирования – это определенным образом организованная совокупность взаимосвязанных элементов, обеспечивающая оптимальное размещение материального потока на складе и рациональное управление им.

Цель разработки системы складирования: обеспечить оптимальное функционирование склада и использование складских мощностей при переработке принимаемых с транспортных средств материальных потоков, (с сопутствующими информационными потоками) и отгружаемых транспортных средств с характеристиками, заданными в заказах покупателей.

Цель создания и функционирования любого склада заключается в приеме грузопотока с транспорта с одними параметрами, хранении и отгрузке на другой транспорт с другими параметрами с минимальными издержками. Вместе с тем на выбор системы складирования влияет множество индивидуальных особенностей склада: интенсивность и характер материальных потоков, характер существующей складской сети, оборудования, зданий и сооружений, характер взаимодействия между службами компании, бизнес-стратегия и т.д.

При разработке системы складирования необходимо учитывать внешние (входящие на склад и выходящие со склада) и внутренние (внутрискладские) потоки и связанные с ними факторы (параметры склада, техническое оснащение, особенности груза и т.п.).

В связи с тесным взаимодействием транспорта и складского хозяйства ключевыми факторами внешнего грузопотока, оказывающими влияние на разработку системы складирования являются:

– вид транспортного средства (как на входящем, так и на выходящем материальном потоке);

– внешний товароноситель грузопотока (поддон, контейнер и т.п.);

– интенсивность грузопотока (скорость, частота, ритмичность, размер партии и т.п.);

– носитель и способ передачи информации.

Внешний товароноситель определяет технические требования к погрузочно-разгрузочному фронту, характер оборудования, осуществляющего погрузочно-разгрузочные работы и внутреннюю транспортировку.

Интенсивность грузопотоков влияет на объемы складских мощностей, потребность и вид обслуживающего оборудования.

Информационный поток определяет формы и носителей первичной информации и сопроводительной документации, обеспечивающей документооборот и способы передачи данных.

Особенности транспортных средств и место склада в ЛС также оказывают существенное влияние на техническую оснащенность склада.

При этом эффективность разрабатываемой системы складирования должна рассматриваться в контексте требований всей логистической системы, то есть обеспечивать беспрепятственное движения материального потока по цепи поставок.

2. Система складирования включает три основные взаимосвязанные подсистемы (рисунок 4):

• технико-технологическую;

• функциональную;

• поддерживающую.

 

 

Рисунок 4 – Подсистемы системы складирования и их составляющие

 

Рассмотрим некоторые блоки этой схемы:

Складируемая грузовая единица (поддон, контейнер, ящик и т.п.) призвана увязать внешние и внутренние материальные потоки, на их выбор влияет:

– вид и размер упаковки и транспортной тары;

– система комплектации заказа;

– оборачиваемость товаров;

– применяемое технологическое оборудование для складирования;

– особенности подъемно-транспортных машин и механизмов, обслуживающих склад.

«Здания» (сооружение) различаются по высоте, этажности, а также закрытости или открытости.

Вид складирования предполагает выбор технологического оборудования, на котором складируется груз, и форму размещения его в пространстве складского помещения.

Выделяются следующие основные виды складирования:

• складирование в штабеле блоками;

• складирование в полочных стеллажах до 6 м;

• складирование в полочных высотных стеллажах;

• складирование в проходных (въездных) стеллажах;

• складирование в передвижных стеллажах;

• складирование в элеваторных стеллажах и т. д.

В качестве преимуществ различных видов складирования рассматриваются:

• высокая степень используемой площади и объема;

• свободный доступ к товару;

• обеспечение контроля структурных изменений запасов;

• возможность высотного складирования;

• легкость обслуживания;

• возможность автоматизированного управления;

• выполнение принципа ФИФО (груз «первым пришел -первым ушел»);

• низкие капиталовложения и строительные затраты;

• низкие эксплуатационные расходы и затраты на техническое обслуживание.

Система комиссионирования – система комплектации заказа.

Существует несколько схем системы комиссионирования, которые включают различное сочетание следующих позиций:

• исходное положение груза по отношению к отборщику (статическое и динамическое) при подготовке материала;

• перемещение груза в пространстве при отборе (одномерное, двухмерное);

• выполнение отбора груза (с помощью и без помощи технических средств);

• степень комплектации заказа (централизованная – отбор груза одновременно для нескольких клиентов и децентрализованная — для одного клиента).

Управление грузопереработкой определяется возможностями технологического и обслуживающего оборудования:

• в автономном ручном режиме;

• в автоматическом местном режиме управления (из кабины) с помощью пульта управления;

• в автоматическом дистанционном режиме управления с помощью пульта, расположенного вне стеллажного прохода;

• с использованием режима оn-linе (автоматический режим управления от ЭВМ).

В зависимости от уровня организации программно-технических средств выделяют:

• обработку информации вручную;

• обработку информации в пакетном режиме (имеется в виду подготовка данных о поступающих и отгруженных грузах, которые периодически вводятся в ЭВМ, обрабатываются вручную или автоматически; в этом случае речь идет об использовании машинного времени, а вычислительная техника может не являться «собственностью» склада);

• обработку информации в режиме реального времени. В этом случае информация вводится в ЭВМ одновременно с движением грузов, или, точнее, в момент их перехода через контрольные пункты. Для ввода и обработки информации используются развитая терминальная сеть и определенная вычислительная мощность ЭВМ. В зависимости от конкретных условий это может быть отдельная машина, общая для нескольких складов, или машина, управляющая всем производством (системы управления информацией в пакетном режиме и в режиме реального времени не зависят от технических характеристик грузов и технологии их обработки на складе. Они могут применяться как на складах с ручным обслуживанием, так и на складах с высоким уровнем механизации);

• непосредственное управление от компьютера. На практике это предполагает интегрированное управление материальными и сопутствующими им информационными потоками в режиме реального времени.

3. В общем виде последовательность действий по разработке системы складирования показана на схеме (рисунок 5).

Выбора системы складирования начинается с определения цели ее создания, которая определяется функциональной деятельностью предприятия, его местом в ЛС и задачами в рамках этой системы.

После определения цели формирования системы складирования формулируется комплексная задача построения системы складирования, а именно:

- Строительство нового склада;

- Расширение и реконструкция действующего склада;

- Дооснащение и переоснащение действующего склада;

- Рационализация технологических решений на действующих складах.

Помимо рассмотренных факторов на техническую оснащенность склада существенное влияние оказывает конструктивные особенности склада. То есть, если разработка системы складирования может проводится для действующих складов, то параметры складских сооружения определяют характер технического оснащения склада.

Высокий уровень механизации и автоматизации оправдан лишь для больших складов, имеющих достаточно большую высоту потолка и площадь, на маленьких складах применение дорогостоящего оборудования, как правило, невыгодно.

Возможности технического оснащения упираются в финансовые возможности предприятия, поэтому следующий этап определяет соотношение указанных параметров, если соответствие не достигнуто необходимо пересмотреть подходы к технологическому оснащению склада до достижения компромисса.

После нахождения оптимального соотношения возможных затрат финансовых ресурсов и уровня технического оснащения склада необходимо определить возможные структуры элементов модулей подсистем складирования.

Множество возможных комбинаций представляют собой варианты системы складирования.

При формировании конкурентоспособных вариантов системы складирования применяется ряд ограничений:

– технические, связанные с характеристиками складского оборудования или техническими возможностями самого здания или сооружения;

– технологические, определяемые закладываемой технологией переработки груза;

– экономические, связанные с финансовыми возможностями фирмы.

Предварительный выбор ССК осуществляется также с учетом технических и технологических ограничений. Здесь вопрос стоит уже о совместимости элементов различных подсистем.

Альтернативный выбор оптимального варианта ССК осуществляется после технико-экономической оценки каждого.

 

Рисунок 5 – Алгоритм выбора системы складирования

 

4. В качестве критериев оценки системы складирования могут быть использованы:

• показатель эффективности использования складской площади и объема;

• показатель общих логистических затрат на тонну товара, связанных с оснащенностью склада по данному варианту.

Показатель эффективности использования складской площади и объема показывает, насколько эффективно используется складское пространство при установке конкретных видов оборудования, а показатель совокупных издержек дает возможность оценить затраты, связанные с их приобретением и эксплуатацией.

Коэффициент полезно используемой площади Кs равен отношению площади, занятой под складирование Sгр (под технологическое оборудование), к общей площади склада Sос:

(1)

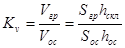
Аналогично определяют коэффициент полезно используемого объема Кv:

(2)

где Vос — общий складской объем, м3;

Vгр — складской объем, занимаемый оборудованием, на котором хранится груз, м3;

hос — высота складского помещения, м;

hскл — используемая высота складского помещения под хранение груза, м.

Экономическим критерием при оценке вариантов системы складирования может быть показатель общих логистических затрат 03 на тонну товара (условный поддон или единицу груза), рассчитанный как сумма единовременных и текущих затрат:

Оз = Э + рk (3)

где Э — текущие логистические издержки, руб./т,

k — единовременные инвестиции, руб./т,

р — норма прибыли на инвестированный капитал, %

Текущие затраты (издержки производства и обращения):

(4)

где А — затраты, связанные с амортизацией, эксплуатацией и ремонтом оборудования склада, руб.;

n — оборачиваемость запаса товаров, сутки:

(5)

 

где tз — средняя продолжительность срока хранения товара на складе (товарный запас), сутки;

Q — вес товара, размещенного на оборудовании склада, т.

Единовременные инвестиции:

(6)

где Ст — стоимость оборудования, размещенного на данном складе, руб.

При альтернативном выборе ССК на основе применяемого при этом оборудования оптимальным является вариант с максимальным значением показателя эффективности использования складского объема при минимальных затратах.

Тема 4. Стратегические задачи логистики складирования (2 часа)

1. Стратегические проблемы и задачи складирования. 2. Факторы и направления решения задач складирования. 3. Виды стратегий складирования. 4. Выбор стратегии складирования (форм собственности склада).

1. Складская система, как правило, состоит из множества элементов – складов, при этом ее структура и состав определяются исходя из стратегии развития компании. Проблема формирования или преобразовании складской сети возникает, как правило, только на этапе выхода на новые рынке, перехода к стратегии активного распределения и т.п. Поэтому задачи формирования и управления складской сети являются стратегическими, так как от эффективности ее работы зависит положение предприятия на рынке, удовлетворенность потребителей и т.п.

По уровням управления принято выделять три уровня решения проблем складирования:

1) Стратегический;

2) Тактический;

3) Операционный.

Соответственно, принятие решений осуществляется по соответствующим уровням управления. При этом содержание задач, решаемых на каждом уровне отличается:

 

 

Рисунок 6 – Основные проблемы логистики складирования

 

1. Формирование складской сети – на данном этапе предприятие решает задачу создания оптимальной логистической системы, при этом необходимо обеспечить минимальные затраты на движение материального потока при гарантированном обслуживании каждого клиента на необходимом уровне. В рамках этого этапа даются ответы на следующие вопросы:

– Какие склады (формы собственности) необходимо включить в сеть?

– Сколько складов должно быть включено в сеть для бесперебойного снабжения всего рынка сбыта?

– Где должны размещаться склады, чтобы охватить весь рынок сбыта?

– Как снабжать склады сети (централизованно или децентрализовано)?

Таким образом, можно сформулировать перечень задач, решаемых на данном этапе:

1) выбор стратегии складирования запасов на складе;

2) определение числа складов;

3) размещение складской сети;

4) выбор форм снабжения складов в складской сети.

2. Разработка складского хозяйства:

– Сколько нужно земли под склады?

– Какой вид складского здания наиболее подходит согласно специфике деятельности?

– Какая мощность склада должна быть обеспечена на сегодняшний момент и на перспективу?

– Что должно входить в складскую инфраструктуру и где это необходимо расположить?

– Как устроить внутреннюю складскую емкость для преобразования грузопотоков в соответствии с потребностями спроса?

Задачи этого этапа сводятся к:

1) разработка схемы генплана;

2) выбор вида склада (здания или сооружения);

3) расчет потребностей мощности склада;

4) оптимальный выбор системы складирования.

3. Управление логистическим процессом:

– От кого зависит оптимальное функционирование склада?

– Какими показателями и как оценить деятельность склада?

– Как обеспечить достижение критериев оптимизации склада?

– Как организовать процесс складской грзопереработки?

Задачи:

1) Обеспечение управления логистическим процессом на складе;

2) Достижение логистической координации со смежными подразделениями;

3) Организация грузопереработки на складе.

2. Разрабатывая новую складскую сеть, следует помнить, что ее структура зависит как от внешних, так и от внутренних факторов, к которым относятся:

• стратегия, принятая в компании (в первую очередь маркетинговая и логистическая);

• товарная специализации фирмы;

• число клиентов и разнообразие их заказов;

• разнообразие и величины партий отправки;

• территориальное расположение клиентской базы;

• спрос на товар;

• имеющаяся логистическая инфраструктура компании;

• конкуренция на рынке;

• предложение на рынке логистических услуг в регионах

• развитие логистической инфраструктуры в регионах сбыта.

При этом необходимость реконструкции действующей сети может быть обусловлена рядом факторов:

• изменение спроса на реализуемый товар на рынках сбыта;

• появление новых клиентов;

• изменение требований клиентов к уровню обслуживания;

• изменение товарной специализации, влияющей на складирования;

• изменение политики ценообразования за счет стремлении к снижению логистических затрат;

• выход на новые рынки сбыта или расширение рынков сбыта;

• изменение или создание собственной сбытовой сети;

• частичный переход на аутсорсинг;

• слияние компаний;

• финансовые изменения, затрагивающие функционирование складской сети;

• увеличение радиуса обслуживания с одного склада за счет изменения конкурентной среды или улучшения организации складской сети;

• низкая эффективность использования складских ресурсов.

Процедура формирования складской сети включает:

• прогнозирование спроса на реализацию товаров (и услуг);

• определение регионов сбыта и объемов продаж в каждом регионе;

• планирование потребностей в складских мощностях, обеспечивающих весь рынок сбыта;

• анализ потенциальных складских мощностей (собственных, предлагаемых в аренду, складских мощностей логистических поставщиков) в каждом регионе;

• выбор формы собственности склада (стратегии складирования запасов);

• разработка программы размещения складской сети (определение количества складов и их размещение в регионах).

При создании складского хозяйства требуется учитывать:

• перспективы развития компании, задачи, стоящие перед складом, и функциональное назначение склада в складской сети:

• особенности клиентской базы по партиям поставок и срокам подготовки заказов;

• прогнозный уровень грузопотоков, величины их интенсивности, максимальный и средний уровень складских запасов;

• виды транспортных средств, обеспечивающих поставки входящих и выходящих потоков;

• номенклатуру перерабатываемого на складе груза и специфические условия его хранения и подготовки к продаже.

На практике отделу логистики при анализе формировании новой складской системы необходимо решить следующие задачи:

• создать рабочую группу по разработке оптимальной системы распределения в связи со строительством нового складского комплекса;

• разработать оптимальную систему складской сети, количество и расположение региональных и подсортировочных складов и их формы собственности;

• определить регионы товароснабжения с закреплением отдельного региона за складом;

• закрепить клиентскую базу за складами для их снабжения с учетом минимизации времени выполнения заказа и затрат на доставку;

• выбрать оптимальные виды транспортных средств, определить схему укладки груза в транспортное средства учитывая максимальную грузовместимость и грузоподъемность, а также надежности поставки груза;

• выбрать посредника транспортных услуг;

• разработать схему оценки функционирования системы распределения и каждого складского хозяйства;

• наладить контроль и мониторинг показателей деятельности системы распределения и входящих в нее складов.

3. Стратегия складирования подразумевает выбор формы собственности складских площадей, используемых в основной деятельности предприятия.

До недавнего времени единственной формой стратегии складирования была аренда или выкуп площадей, доставшихся в наследство от советских времен. Как правило, инфраструктура такого рода не отличалась высоким качеством. С развитием рынка логистических услуг все больше внимание производителей обращается к стратегическому аутсорсингу складских услуг. При этом все больше примеров предприятий, владельцев мощностей, передают на аутсорсинг складские процессы и технологии на базе своей собственности, для более эффективной концентрации на основной деятельности.

Таким образом, на сегодняшний день существует 3 стратегии складирования:

1) Стратегия складирования на собственном складе;

2) Стратегия складирования на арендуемом складе;

3) Стратегия аутсорсинга услуг складирования.

1) Собственный склад для многих компаний является наиболее привлекательным решением, особенно если речь идет о снабжении розничной сети и сферы услуг на условиях обеспечения широкого ассортимента в рамках одного заказа и частых поставок.

Необходимость собственного склада во многом определяется следующими показателями:

• стабильно высокие товарооборот и объемы продаж;

• стабильный спрос в регионах сбыта;

• специфические условия хранения;

• высокая концентрация потребителей и растущие требования к обслуживанию клиентской базы;

• постоянная динамика развития компании;

• меняющаяся стратегия сбыта;

• значительное число товарных позиций в рамках одного заказа, особенно требующих штучной отборки;

• сильная конкурентная среда и т.д.

Собственный склад при рациональной организации складских процессов и эффективном управлении может стать залогом снижения логистических издержек. Вместе с тем собственный склад требует большого объема капитальных вложений и существенно ограничивает маневренность бизнеса.

2) В рамках стратегии складирования на основе аренды выделяют:

- аренду складских площадей;

- аренду складских площадей с оборудованием.

В стратегии складирования запасов аренда предполагает несколько вариантов:

– аренда склада на определенный период времени;

– аренда складских мощностей им территории склада на определенный период времени;

– аренда склада на длительный срок с правом дальнейшего выкупа его в собственность (лизинг).

Распространенным является последний вариант, который заключается в оформлении долгосрочной аренды с правом последующего выкупа в собственность. Такой вариант для многих предприятий является наиболее приемлемым, так как обеспечивает возможность получения в перспективе собственного склада.

Аренда является наиболее приемлемым вариантом для многих предприятий, так как не требует значительных капитальных вложений. Вместе с тем до недавнего времени предложение на рынке складской недвижимости не было способно удовлетворить растущий спрос, несмотря на нарастающую активность отечественных и зарубежных логистических операторов, в связи с чем арендаторам приходилось довольствоваться площадями низкого качества, доставшихся по наследству со времен плановой экономики. Выкуп такого рода площадей сопряжен с рядом трудностей по его реконструкции в соответствии с современными требованиями бизнеса. Кроме этого важным недостатком этой стратегии является зависимое положение арендатора от арендодателя, чем последний, как правило, часто пользуется с целью изменения в свою пользу условий договора.

Также непрофильный характер сферы складирования заставляет предприятия экономить на складских технологиях и заработной плате работников склада, что выливается в низкое качество обслуживания и увеличение совокупных затрат на складирование.

3) Стратегия аутсорсинга включает два варианта:

1) Аутсорсинг изолированных логистических функций (склад общего пользования);

2) Аутсорсинга комплекса (логистический оператор) логистических услуг.

Стратегию складирования запасов предлагают на рынке логистических услуг склады общего пользования (СОП), логистический операторы и провайдеры услуг всех уровней.

Склады общего пользования, не являясь собственником товара, реализуют лишь услуги, поэтому многие функции, выполняемые обычно складами, для СОП рассматриваются в качестве логистических услуг. В общем виде СОП осуществляет следующий комплекс услуг:

• грузопереработка и хранение;

• предоставление складского пространства в аренду потребителям;

• предоставление офисных помещений, услуг видеотерминалов, телефонного и компьютерного сервиса;

• физическое распределение продукции в пределах склада;

• упаковка и сортировка товаров;

• маркировка;

• почтовые услуги и экспресс-отправки;

• пакетирование груза;

• погрузка (разгрузка) на транспорт;

• подготовка и контроль;

• консолидация и разукрупнение партий грузов;

• подготовка специальных мест хранения;

• подготовка и доставка товаросопроводительных документов;

• транспортировка т.п.

Стратегия складирования запасов на складах логистических посредников становится выгодна компаниям:

• на начальных этапах развития фирмы;

• при выходе на новые рынки сбыта;

• при реализации сезонных товаров и ориентированных на определенный сегмент потребительского спроса;

• при низком объеме продаж и нестабильном спросе товаров с высокой стоимостью.

Рынок логистических услуг в России находится на недостаточном уровне развития, предложение складских площадей, даже, несмотря на спад 2008 г., не способен удовлетворить растущий спрос. Вместе с тем следует отметить растущие объемы строительства современных складских комплексов с обширным спектром предлагаемых логистических услуг.

Для зарубежных предприятий практика использования логистических посредников является общепризнанной и распространенной, в России же развивается не очень высокими темпами по ряду причин:

1. Завышенная стоимость услуг, которая в значительной степени определяется высоким спросом при малом объеме предложения;

2. Неудовлетворительное качество и спектр предлагаемых услуг, что является следствием этапа становления данного рынка.

3. Некоторые товары по-прежнему не обслуживаются логистическими операторами (металлопрокат, взрывоопасные товары и т.п.)

4. консерватизм многих руководителей, что обусловлено менталитетом отечественных компаний, их закрытостью, отсутствием фактически мышления SCM.

5. Неспособность многих руководителей оценивать деятельность собственной инфраструктуры и величину совокупных логистических затрат.

Учитывая тенденции развития данного рынка и мировой опыт можно перечислить следующие преимущества использования логистических посредников:

1. Гибкость ценообразования логистических операторов (это в незначительной степени свойственно российским представителям этой сферы, при этом применение тарифов в зависимости от объема грузопереработки является общепринятой практикой и в России).

2. СОП управляются опытными профессиональными командами, которые рассчитывают риски, сопутствующие складским операциям, и нацелены на максимальное использование рыночных возможностей не только для себя, но и для клиентов.

3. Переменные издержки на СОП часто бывают ниже, чем на сопоставимых собственных складах компании. Причиной этого, как правило, является более отлаженная организация процесса, высокая производительность труда и экономия за счет масштабов операций, а может быть — и меньшая заработная плата.

4. СОП дают своим клиентам возможность экономить на транспортных расходах, особенно при консолидации партий отправок в розничную сеть от разных поставщиков, чьи грузы обслуживаются на их складах.

4. От решения задачи выбора стратегии складирования зависят часто не просто выполнение процесса грузопереработки, уровень обслуживания клиентов и, в конечном счете, конкурентные преимущества, но само существование компании на рынке.

Очевидно, что для осуществления выбора необходимо провести сравнение возможных вариантов. Начинать сравнительный анализ целесообразно с оценки организационных, управленческих и логистических преимуществ той или иной стратегии.

Преимущества собственного складирования:

• обеспечение высокой степени контроля над процессом грузопереработки;

• быстрая адаптация к незапланированным изменениям спроса и обслуживанию клиентов;

• поддержание более высокого уровня интеграции логистической системы, включающей склад;

• обеспечение особых условий хранения и дополнительной подготовки товара к продаже;

• осуществление любого уровня комплектации заказа;

• снижение затрат на складскую грузопереработку при увеличении товарооборота и повышении оборачиваемости товара;

• оптимизация человеческих ресурсов с помощью лучшей организации процесса, ориентированной на специфику товарных групп;

• поддержание имиджа устойчивости компании перед клиентом.

Стратегия аутсорсинга складских услуг привлекательна в силу действия следующих факторов:

• перенос финансовых рисков складирования на посредника;

• мобильность (изменение величины) в потребностях складских мощностей;

• отсутствие инвестиций в развитие складских мощностей и технологий;

• расширение охвата рынка через складскую сегь логистических посредников;

• передача интегрированных логистических функций оператору;

• возможность снижения операционных затрат за счет масштабности грузопереработки;

• снятие проблем управления грузопереработкой и поиска складского персонала;

• возможность концентрации на основном бизнесе.

Окончательный выбор требует проведения сравнительного анализа затрат и оценки удовлетворения потребностей клиентской базы рассматриваемыми вариантами.

Для расчета затрат на строительство и эксплуатацию собственного склада необходимо учесть:

1, Инвестиции в строительство и техническое оснащение склада:

• затраты на строительство;

• затраты на приобретение участка застройки;

• затраты на техническое оснащение склада;

• ставки по кредиту и налоги;

• затраты на оснащение;

2. Эксплуатационные расходы:

а) затраты на содержание основных фондов:

• налог на землю;

• погашение банковского кредита;

• амортизация зданий, сооружений и транспортных коммуникаций;

• ремонт и содержание здания, сооружения и транспортных коммуникаций;

• расходы на электроэнергию, водоснабжение и т.п.;

б) затраты на содержание складского оборудования:

• погашение кредита;

• амортизация;

• ремонт и содержание;

• расход энергии;

в) затраты на обслуживание информационной системы;

г) затраты на заработную плату.

Оценка затрат на использование услуг логистического оператора складывается из:

1) затраты на хранение;

2) затраты на проведение операций по приемке-отгрузке;

3) затраты на подготовку товара к продаже;

4) затраты на комплектацию заказа.

При оценке удовлетворительности уровня обслуживания потребителей необходимо определить показатели, с помощью которых проводится анализ. Непременным условием является определение количественной оценки этих показателей. Например, время выполнения заказа; точность выполнения заказа по ассортименту или отсутствие претензий по ассортиментным позициям со стороны клиента и т.д.

Таким образом, решением задачи МОВ является выбор оптимальной стратегии на основе критерия минимальных совокупных затрат и прочих преимуществ.

Кроме этого, учитывая уникальные преимущества каждого вида стратегии, все больше предприятий отдают предпочтение комбинированным стратегиям. Комбинация вариантов форм собственности возможна по принципу:

• регионального деления (в одном регионе используется собственный склад, а в других — аренда или услуги логистического посредника);

• разделения потоков (на основе сезонности спроса на товар, оборачиваемости товара, уровня комплектации при подготовке заказа) и распределения их через склады различных форм собственности.

 

Тема 5. Формирование складской сети (6 часов)

1. Основные принципы и задачи формирования складской сети. 2. Алгоритм формирования складской сети. 3.Определение количества складов в складской сети. 4. Размещение складов складской сети. 5. Основные показатели склада и их определение. 6. Современные тенденции в развитии складского хозяйства, проектирования и строительства складских зданий и сооружений.

 

1. Складская сеть, как любая подсистема в рамках логистической системы предприятия должна работать с точки зрения оптимальности всей системы, поэтому ее проектирование должно основываться на следующих принципах:

- Принцип ориентации подразумевает ориентацию работы складской сети на оптимальность функционирования всей логистической системы;

- Принцип координации обуславливает тесное взаимодействие всех функций и операций как внутри подсистемы складирования так и с внешними контрагентами и структурными подразделениями;

- Принцип потребности заключается в постановке задач функционирования складской сети (формируется для удовлетворения каких-то потребностей);

- Принцип «точно в срок» требует поступления любых видов материальных ресурсов только тогда, когда они понадобятся и туда, где они понадобятся;

- Принцип стандартизации обусловливает упрощение всех логистических операций за счет внедрения стандартов (упаковки, грузовой единицы, информационных данных, документооборота и т.п.);

- Принцип грузового модуля в определенной степени противоречит принципу точно в срок, однако обеспечивает экономию транспортных и операционных расходов по грузопереработке;

- Принцип минимального перемещения предусматривает такую организацию систем, чтобы грузы перемещались по кратчайшим расстояниям;

- Принцип полного использования пространства подразумевает рациональное использование складского пространства.

- Принцип эргономичности требует выполнения требований по оборудованию рабочих мест в соответствии с требованиями человеческого организма, для сохранения здоровья работников.

- Энергетический принцип предусматривает экономию энергетических ресурсов, особенно актуален в условиях современной государственной политики энерго- и ресурсосбережения.

- Экологический принцип ориентирует на разработку и внедрение экологичных материалов и методов складского хранения и грузопереработки, все больше актуализируется в условиях современных крупных мегаполисов и нарастающих угроз окружающей среде.

- Принцип механизации предопределяет наращивание тенденции замены ручного труда машинным.

- Принцип автоматизации предусматривает создание программируемого и самоуправляемого оборудования. Сейчас уже существует аппаратура, которая может реагировать на радиосигналы или на команды голосом, а также полностью автоматизированные склады.

- Принцип тяготения рекомендует использовать для перемещения грузов силу тяжести там, где это возможно (гравитационные стеллажи).

- Принцип гибкости особенно актуален в современных экономических условиях растущих требований и изменяющихся предпочтений клиентов.

- Принцип упрощения предостерегает от применения излишне сложных систем.

- Принцип упорядочения потока предусматривает последовательное выполнения этапов обработки потока материальных ресурсов.

- Принцип безопасности отчасти перекликается с принципом эргономичности и ориентирует на выполнение условий охраны труда и здоровья граждан, избежание несчастных случаев и опасного оборудования и методов работы.

- Принцип компьютеризации определяет необходимость использования компьютеров для управления как процессами и механизмами, так и крупными цепями поставок, что способствует повышению качества и скорости переработки информационных потоков.

- Принцип проектирования требует предварительной проработки всех вопросов и этапов в процессе создания складской сети.

- Принцип минимальных расходов предусматривает необходимость минимизации затрат в системе, в том числе и период начальных инвестиций.

- Принцип поддержки предусматривает выбор способа поддержки системы и его реализацию (информационно-компьютерная, организационная, финансовая и т.п.).

- Принцип обновления рекомендует избавляться от морально и физически устаревшего оборудования с учетом налогов, амортизации и полезности данного оборудования с целью повышения и удержания конкурентных позиций предприятия.

- Принцип командной работы означает, что сфера обработки материальных потоков настолько сложна, что для создания оптимальной системы очень часто необходимы усилия многих людей, объединенных в команды.

Задачи формирования складской сети рассматривались в предыдущей лекции:

1) Определение числа складов;

2) Размещение складов в сети;

3) Форма собственности каждого склада;

4) Система товароснабжения складов.

2. При формировании складской сети следует учитывать:

v Место в логистической системе;

v Цели, задачи и функции предприятия;

v Вид и характеристика материального потока;

v Территориальное расположение складской сети;

v Взаимосвязи с внешней средой поставщиков и потребителей;

v Характеристики используемых транспортных средств;

v Состояние инфраструктуры сети;

v Материально-техническую базу предприятия;

v Наличие информационной связи внутри складской сети.

Складская сеть создается или реорганизуется, в соответствии с маркетинговами или логистическими стратегиями компании: задача маркетинга заключается в анализе рынка конкурентоспособности товара с учетом логистических зат




Поделиться с друзьями:


Дата добавления: 2014-01-11; Просмотров: 7649; Нарушение авторских прав?; Мы поможем в написании вашей работы!


Нам важно ваше мнение! Был ли полезен опубликованный материал? Да | Нет



studopedia.su - Студопедия (2013 - 2026) год. Все материалы представленные на сайте исключительно с целью ознакомления читателями и не преследуют коммерческих целей или нарушение авторских прав! Последнее добавление




Генерация страницы за: 0.013 сек.