Студопедия

КАТЕГОРИИ:


Архитектура-(3434)Астрономия-(809)Биология-(7483)Биотехнологии-(1457)Военное дело-(14632)Высокие технологии-(1363)География-(913)Геология-(1438)Государство-(451)Демография-(1065)Дом-(47672)Журналистика и СМИ-(912)Изобретательство-(14524)Иностранные языки-(4268)Информатика-(17799)Искусство-(1338)История-(13644)Компьютеры-(11121)Косметика-(55)Кулинария-(373)Культура-(8427)Лингвистика-(374)Литература-(1642)Маркетинг-(23702)Математика-(16968)Машиностроение-(1700)Медицина-(12668)Менеджмент-(24684)Механика-(15423)Науковедение-(506)Образование-(11852)Охрана труда-(3308)Педагогика-(5571)Полиграфия-(1312)Политика-(7869)Право-(5454)Приборостроение-(1369)Программирование-(2801)Производство-(97182)Промышленность-(8706)Психология-(18388)Религия-(3217)Связь-(10668)Сельское хозяйство-(299)Социология-(6455)Спорт-(42831)Строительство-(4793)Торговля-(5050)Транспорт-(2929)Туризм-(1568)Физика-(3942)Философия-(17015)Финансы-(26596)Химия-(22929)Экология-(12095)Экономика-(9961)Электроника-(8441)Электротехника-(4623)Энергетика-(12629)Юриспруденция-(1492)Ядерная техника-(1748)

Интегральный метод

В реальной действительности все факторы взаимодействуют друг с другом, поэтому использование методов элиминирования может давать неточный результат влияния каждого фактора на изменение результата. Особенно если системный эффект значителен. В интегральном и логарифмических способах распределение системного эффекта происходит по-другому.

В интегральной: системный эффект распределяется поровну между числом факторов. Однако, данный метод можно использовать только для мультипликативных, кратных, смешанных кратно-аддитивных моделей.

При этом у этого метода имеется еще 1 очень существ. «-», который сдерживает его практическое использование – для каждого вида факторной модели и даже 1 типа, но с разным кол-вом факторов приходится использовать разные формулы, поэтому они обычно приводятся в книгах по теории экономического анализа.

Дополнение:

Элиминирование как способ детерминированного факторного анализа имеет существенный недостаток. При его использовании исходят из того, что факторы изменяются независимо друг от друга. На самом же деле они изменяются совместно, взаимосвязано и от этого взаимодействия получается дополнительный прирост результативного показателя, который при применении способов элиминирования присоединяется к одному из факторов, как правило к последнему. В связи с этим величина влияния факторов на изменение результативного показателя меняется в зависимости от места, на которое поставлен тот или иной фактор в детерминированной модели.

Когда мы подсчитаем условный объем валовой продукции, исходя из фактического количества рабочих и планового уровня производительности труда, то весь дополнительный прирост от взаимодействия двух факторов относится к качественному фактору — изменению производительности труда:

Если же при расчете условного объема валовой продукции взять запланированное количество рабочих и фактический уровень производительности труда, то весь дополнительный прирост валовой продукции относится к количественному фактору, который мы изменяем во вторую очередь:

Чтобы избавиться от этого недостатка, в детерминированном факторном анализе используется интегральный метод, который применяется для измерения влияния факторов в мультипликативных, кратных и смешанных моделях кратно-аддитивного вида

Использование этого способа позволяет получать более точные результаты расчета влияния факторов по сравнению со способами цепной подстановки, абсолютных и относительных разниц и избежать неоднозначной оценки влияния факторов потому, что в данном случае результаты не зависят от местоположения факторов в модели, а дополнительный прирост результативного показателя, который образовался от взаимодействия факторов, раскладывается между ними поровну.

На первый взгляд может показаться, что для распределения дополнительного прироста достаточно взять его половину или часть, соответствующую количеству факторов. Но это сделать чаще всего сложно, так как факторы могут действовать в разных направлениях. Поэтому в интегральном методе пользуются определенными формулами. Приведем основные из них для разных моделей.

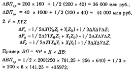
В нашем примере (см. табл. 6.1) расчет проводится следующим образом:

Для расчета влияния факторов в кратных и смешанных моделях используются следующие рабочие формулы.

 

 

 

Таким образом, использование интегрального метода не требует знания всего процесса интегрирования. Достаточно в готовые рабочие формулы подставить необходимые числовые данные и сделать не очень сложные расчеты с помощью калькулятора или другой вычислительной техники. При этом достигается более высокая точность расчетов.

 

 

<== предыдущая лекция | следующая лекция ==>
Индексный метод | Логарифмический метод
Поделиться с друзьями:


Дата добавления: 2014-01-11; Просмотров: 1166; Нарушение авторских прав?; Мы поможем в написании вашей работы!


Нам важно ваше мнение! Был ли полезен опубликованный материал? Да | Нет



studopedia.su - Студопедия (2013 - 2026) год. Все материалы представленные на сайте исключительно с целью ознакомления читателями и не преследуют коммерческих целей или нарушение авторских прав! Последнее добавление




Генерация страницы за: 0.011 сек.