Студопедия

КАТЕГОРИИ:


Архитектура-(3434)Астрономия-(809)Биология-(7483)Биотехнологии-(1457)Военное дело-(14632)Высокие технологии-(1363)География-(913)Геология-(1438)Государство-(451)Демография-(1065)Дом-(47672)Журналистика и СМИ-(912)Изобретательство-(14524)Иностранные языки-(4268)Информатика-(17799)Искусство-(1338)История-(13644)Компьютеры-(11121)Косметика-(55)Кулинария-(373)Культура-(8427)Лингвистика-(374)Литература-(1642)Маркетинг-(23702)Математика-(16968)Машиностроение-(1700)Медицина-(12668)Менеджмент-(24684)Механика-(15423)Науковедение-(506)Образование-(11852)Охрана труда-(3308)Педагогика-(5571)Полиграфия-(1312)Политика-(7869)Право-(5454)Приборостроение-(1369)Программирование-(2801)Производство-(97182)Промышленность-(8706)Психология-(18388)Религия-(3217)Связь-(10668)Сельское хозяйство-(299)Социология-(6455)Спорт-(42831)Строительство-(4793)Торговля-(5050)Транспорт-(2929)Туризм-(1568)Физика-(3942)Философия-(17015)Финансы-(26596)Химия-(22929)Экология-(12095)Экономика-(9961)Электроника-(8441)Электротехника-(4623)Энергетика-(12629)Юриспруденция-(1492)Ядерная техника-(1748)

Основні типи еукаріотичних клітин




 

Структури і органоїди Клітини рослин Клітини тварин Клітини грибів
Клітинна стінка З целюлози Відсутня В основному з хітину
Центральна вакуоль Присутня Відсутня Присутня
Пластиди Присутні Відсутні Відсутні
Типовий резервний вуглевод Крохмаль Глікоген Глікоген
Центріоль Буває зрідка Присутня Буває зрідка

 

3.1.3 Неклітинні форми життя

Віруси являють собою неклітинні утворення - дуже дрібні частки (віріони), що складаються з нуклеїнової кислоти (ДНК або РНК, одно- або дволанцюгової, що служить генетичним матеріалом) і білкової оболонки, яка іноді містить ліпіди. Віруси відоспецифічні й розмножуються тільки в живих клітинах-хазяїнах. Існують бактеріальні віруси (фаги), віруси рослин і віруси тварин. Поза клітиною-хазяїном віріони не здійснюють обміну речовин і не проявляють ніяких інших ознак життя. У хазяїна проникає віріон або тільки його нуклеїнова кислота. Там ця нуклеїнова кислота, використовуючи систему реплікації й білок синтезуючий апарат клітини-хазяїна, розмножується (репликується) і забезпечує синтез вірусного білка. Віруси є збудниками цілого ряду захворювань: сказу, поліомієліту, грипу, гепатиту й ін.

Віроїди на відміну від вірусів, не мають білкової оболонки й складаються тільки з інфекційної молекули РНК (одноланцюгової кільцевої), яка містить 300-400 нуклеотидів. Віроіди - самі дрібні здатні до розмноження одиниці. Вони є збудниками ряду нервових захворювань у тварин. А також викликають хвороби картоплі, цитрусових, огірків, хризантем, хмелю й інших рослин.

Пріони являють собою групу низькомолекулярних білків з молекулярною масою (27-30) 103, які не містять нуклеїнових кислот. Вони являються збудниками повільних летальних інфекцій, що характеризуються поразкою ЦНС людини й тварини (хвороба Альцгеймера, губкоподібна енцефалопатія корів - коров'ячий сказ й ін.).

 

3.2 Цитоплазма

Цитоплазмою називають живий вміст клітини без пластів або еквівалента ядра. Цитоплазма являє собою в'язко-пружний тиксотропний гель. В'язко-пружні властивості й тиксотропність можливі тільки тоді, коли молекули утворять суцільну мережу. Руйнування молекулярної мережі приводить до прояву рідинних властивостей, а її відновлення - до властивостей, характерних для твердих тіл. У цитоплазмі елементами, здатними сплітатися в мережу, служать довгі нитковидні мікрофіламенти з білка актину. При відщіпленні (наприклад, при нагріванні) молекул цього білка мережа розпадається (стан золя), при приєднанні (охолодження) - мережа відновлюється (стан гелю).

 

3.3 Рибосоми

Рибосоми здійснюють біосинтез білка й, таким чином, реалізують генетичну інформацію. Кожна клітина має десятки тисяч або мільйони рибонуклеопротеїдних часток розміром 20-30 нм. Рибосома складається із двох неоднакових субчасток (рис. 3.3). Вони утворюються окремо й поєднуються на m РНК. При цьому кілька рибосом можуть бути зв'язані нитковидною молекулою m РНК у полісому (полірибосому). Більш крупні 80 S -рибосоми (S – константа седиментації в одиницях Сведберга) перебувають у цитоплазмі еукаріотичних клітин. Вони можуть бути - разом з m РНК - пов'язані з ендоплазматичним ретикулумом. Їх субчастки синтезуються в клітинному ядрі.

 

 

Рис. 3.3. 70 S -рибосома

 

Прокаріотичні клітини мають більш дрібні 70 S -pибосоми. Їм гомологічні 70 S -рибосоми в пластидах і мітохондріях еукаріотичних клітин. Рибосоми 70 S й 80 S розрізняються за складом РНК і білка й за величиною субчасток.

3.4 Мембрани

Протоплазма обмежена зовнішньою мембраною – плазмалемою і містить систему внутрішніх мембран (ендомембран). Мітохондрії й пластиди, що теж мають внутрішні мембрани, і клітинне ядро оточені двома мембранами. Товщина мембрани найчастіше 6-12 нм. Мембрани обмежують замкнуті об’єми різної величини й форми, створюючи перешкоду для дифузії, вони утворюють окремі реакційні об’єми (компартменти). Мембрани здатні вибірково пропускати деякі речовини й активно накачувати інші, що пов'язане із витратою енергії.

Кожна мембрана відокремлює протоплазматичний простір від неплазматичного: плазмалема – від оточуючого клітину середовища, мембрани пухирців – від неплазматичного вмісту цих пухирців, обидві мембрани ядерної оболонки – від неплазматичного простору, що перебуває між ними.

Мембрани (за винятком мембран мітохондрій і пластид) використовуються в процесах онтогенезу й можуть перетворюватися одна водну (плин мембран).

 

3.4.1 Молекулярна структура мембран

Мембрани являють собою двовимірні рідиннокристалічні розчини глобулярних білків у ліпідах. Структурну основу мембран складають ліпіди. Білки в мембранах виконують певні функції: вони є, наприклад, ферментами або транспортними білками.

Основна структура всіх мембран являє собою два паралельних шари ліпідів (бімолекулярний шар) (рис. 3.4). Мембранні ліпіди - мають гідрофобну частину (залишки жирних кислот) і гідрофільну частину (фосфат, холін, цукор і т.п.).

 

А Б В
Г

 

Рис. 3.4. Мембрани. А. Мономолекулярний ліпідний шар на поверхні води.

Б. Бімолекулярний шар ліпіду в кристалоподібному стані. В. Те ж у рідиннокристалічному стані. Г Модель Сингера. Білки заштриховані; утворення із двома "хвостами" і кулястою голівкою - молекули ліпідів з гідрофільною частиною

Такі молекули утворять на водній поверхні мономолекулярний шар. У водному оточенні й у клітині утворюються бімолекулярні шари: гідрофобні частини різних молекул повернені далі від водного оточення, тобто одна до одної, і втримуються разом сильними гідрофобними взаємодіями й слабкими силами Лондона-ван-дер-Ваальса. При низьких температурах вуглеводні залишки утворюють подобу кристалічних ґрат і мембрани переходять у стан геля. При фізіологічних температурах мембрани перебувають у рідиннокристалічному стані.

Внутрішні мембрани мітохондрій надзвичайно багаті ферментами, а мембрани пластид - забарвленими речовинами (пігментами). Завдяки гідрофобним взаємодіям мембрани здатні розтягуватися (рости) при включенні нових молекул, а у випадку розриву краї, що утворилися, можуть знову замикатися.

Мембрани напівпроникні; вони повинні мати дрібні пори, через які дифундують вода й інші невеликі гідрофільні молекули. Для цього використаються внутрішні гідрофільні області інтегральних мембранних білків або отвори між дотичними інтегральними білками (тунельні білки).

 

3.5 Клітинне ядро

Клітинні ядра утворюються тільки з ядер. Головні функції клітинного ядра:

1) зберігання спадкоємної інформації;

2) передача спадкоємної інформації в цитоплазму за допомогою транскрипції, тобто синтезу m РНК, що переносить інформацію, і передача інформації дочірнім клітинам при реплікації - розділі клітин й ядер.

Ядро найчастіше розташоване в центрі клітини, і тільки в клітинах рослин із центральної вакуолю - у протоплазмі біля стінки. Воно може бути сферичним, яйцеподібним, сочевице подібним, витягнутим у довжину або веретеноподібним, але звичайно повторює форму клітини. Діаметр ядра варіює в межах від 0,5 мкм (у грибів) до 500 мкм (у деяких яйцеклітинах), у більшості випадків він менше 5 мкм.

Ядро складається з нуклеоплазми, хромосом (хроматину), ядерець й ядерної оболонки (яка являє собою частину ендоплазматичного ретикулуму).

 

3.5.1 Нуклеоплазма

Основна маса клітинного ядра - нуклеоплазма - містить рідку частину, ядерний матрикс (щось на кшталт опорної мережі) і різні включення. Рідка частина подібна по складу з відповідним компонентом цитоплазми - тут теж містяться ферменти й проміжні продукти метаболізму, зокрема гліколізу.

3.5.2 Хромосоми

Хромосоми - це витягнуті в довжину нуклеопротеїдні структури. Вони подвоюються в результаті ідентичної репродукції перед кожним клітинним поділом, а потім розподіляються нарівно між дочірніми клітинами. Тому кожна окрема хромосома зустрічається у всіх клітинах даного індивідуума в одній і тій же формі й несе ідентичну інформацію. Протягом клітинного циклу відбувається лише зміна двох фізіологічних форм:

1) транспортної (під час поділу ядер; хромосоми компактні, паличковидні, ясно помітні);

2) функціональної (у проміжках між поділами; хромосоми розпушені, нитковидні, довгі).

Хромосоми складаються із хроматину, що містить близько 40% ДНК, 40% гістонів, майже 20% негістонових хромосомних білків і небагато РНК. Він специфічно забарвлюється (звідси й назви хромосома, хроматин) реактивами, що виявляють ДНК у червоно-фіолетовий колір. Гістони - це хромосомні білки (5 видів) основного характеру. Негістонові хромосомні білки - головним чином кислі білки.

Хромосоми під час розподілу ядер мають довжину 0,2-20 мкм і спочатку складаються із двох лежачих поруч ідентичних хроматид, які потім відділяються одна від одної, причому кожна стає однієї з дочірніх хромосом. Головний елемент кожної хроматиди - нуклеопротеїдна структура, яка крім білків містить єдину, дуже довгу подвійну спіраль ДНК. Ця структура має вигляд закрученої товстої (15-25 нм) нитки - хромонеми, на якій розташовані численні округлі (внаслідок щільного впакування ДНК) здатні до сильного забарвлювання й добре видимі хромоміри (рис. 3.5). У місці первинної перетяжки хромосоми - центромірі - обидві хроматиди міцно зв'язані й у певних фазах ядерного розподілу зігнуті.

 

А Б

 

Рис. 3.5. Клітинне ядро й хромосоми. А. Ядро під час інтерфази. ГХ - гетерохроматин; Риб - рибосоми; РНП - рибонуклеопротеїдні частки; ЕР - ендоплазматичний ретикулум; ЕХ - еухроматин; Я- ядерце; ЯО - ядерна оболонка; ЯП- ядерні пори; ЯТ- ядерні тільця. Б. SAT -хромосома під час поділу ядра. С - сателіт; Хм - хромоміри; Хн - хромонема; Хт - хроматиди; Ц - центроміра; ЯПЕР - ядерцева перетяжка

 

Під час поділу ядра центроміра стає місцем прикріплення ниток веретена, що приводить хроматиди в рух. У деяких хромосом є ще перетяжка ядерця (SAT -зона). У цьому місці хромосома має товщину всього лише 7 нм і мало закручена, тому SAT -зони не забарвлюються (SAT означає sіne acіdo thymonucleіnіco, тобто "без ДНК"). Відокремлену такою зоною коротку ділянку хромосоми називають сателітом, а всю хромосому - SAT -хромосомою. Тісно примикаючи до ядерцевої перетяжки, часто напроти сателіта, перебуває організатор ядерця; це та частина нуклеопротеїдної структури, що утворить ядерце після поділу ядра (рис. 3.5).

Між поділами ядер - в інтерфазі - найчастіше не можна розрізнити окремих хромосом. Розпушений хроматин розподілений по всьому об’ємі ядра.

Розпушення структури хромосом - необхідна умова для транскрипції, тобто передачі інформації, що міститься в ДНК, шляхом утворення mРНК. Ущільнений хроматин відносно транскрипції неактивний, тоді як розпушений може бути неактивним або активним залежно від процесів регуляції. Ділянки хроматину що сильно забарвлюються, називають гетерохроматином на відміну від еухроматина, що після розподілу ядра розпушується. Гетерохроматин відносно транскрипції неактивний і відносно реплікації ДНК поводиться інакше, чим еухроматин.

Факультативний гетерохроматин буває гетерохроматичним тільки деколи. Конститутивний гетерохроматин завжди гетеро хроматичний.

По всій довжині кожної хромосоми (або, після реплікації кожної хроматиди) проходить безперервна подвійна спіраль ДНК, що у вищих організмів складається більш ніж з 108 пар основ. Гени лінійно розподілені уздовж цієї подвійної спіралі й становлять разом до 25% ДНК. Ген - це функціональна одиниця ДНК, що містить інформацію для синтезу поліпептиду або РНК (r РНК, t PHK). Середня довжина гена близько 1000 пар основ, що становить 340 нм витягнутої подвійної спіралі ДНК.

Між генами перебувають спейсери - неінформативні відрізки ДНК різної довжини (іноді більше 20 000 пара основ), які, очевидно, мають значення для регулювання транскрипції сусіднього гена. Можливо, що функціональна одиниця "спейсер + ген" відповідає цитологічній одиниці "відрізок хромонеми + 1 хромомір".

Повторювані послідовності - це послідовності нуклеотидів, багаторазово представлені в ДНК. До них відносяться надлишкові гени, а також більшість спейсерів. Високоповторювані послідовності з 105-106 повтореннями утворюють конститутивний гетерохроматин), вони завжди неінформативні. Близько 75% усього хроматину не бере участь у транскрипції: це високо-повторювані послідовності й нетранскрибуємі спейсери.

Весь фонд генетичної інформації кожного клітинного ядра - геном-розподілено між деяким постійним числом хромосом. Це число, n, специфічно для даного виду (або підвиду). Хромосоми одного набору розрізняються по величині, картині хромомір, положенню перетяжок і вмісту інформації.

Гаплоїдні клітини містять один набір хромосом (n), а диплоідні - два (2 n, так що вся інформація представлена двічі). У поліплоїдних клітинах кілька наборів хромосом (4 n, 8 n, 16 n і т.д.). Статеві клітини гаплоїдні. У вищих рослин і тварин соматичні клітини диплоїдні й містять один батьківський й один материнський набір хромосом. Гаплоїдні клітини утворюються з диплоїдних у результаті мейозу, а диплоїдні - з гаплоїдних у результаті запліднення.

Хромосоми диплоїдного ядра можуть бути згруповані попарно, по дві гомологічні хромосоми. Більшість із них (так називані аутосоми) попарно ідентичні. Тільки дві статеві хромосоми (гетерохромосоми), що визначають стать особини, у самців неоднакові: це хромосоми X й Y; у самок - дві Х -хромосоми.

 

3.5.3 Ядерце

Ядерця - це округлі, особливо ущільнені ділянки клітинного ядра діаметром звичайно менше 1 мкм. Ядра диплоїдних клітин містять 1-7, у середньому 2 ядерця, а іноді (наприклад, ядра в дріжджів, у сперматоцитах, мікронуклеуси інфузорій) не мають їх зовсім.

Ядерця здійснюють синтез рибосомальної РНК. Ядерця містять більше 80% білка й близько 15% РНК. Під час поділу ядра синтез r РНК припиняється, наприкінці профази ядерця зникають. Після поділу ядра утворяться компоненти нового ядерця.

 

3.5.4 Ядерна оболонка

Ядерна оболонка складається із двох мембран (кожна товщиною 6-8 нм), між якими перебуває перинуклеарний простір (шириною 10-40 нм). Ядерна оболонка пов'язана з ендоплазматичним ретикулумом й утворюється після поділу ядра із цистерн ретикулуму (використовуються також обривки старої ядерної оболонки, зруйнованої під час розподілу).

На відміну від інших мембран ядерна оболонка має видимі в електронний мікроскоп пори (30-100 нм у діаметрі), які займають близько 5% поверхні ядра. Кожна пора із зовнішньої й внутрішньої сторони оточена кільцевим валиком з 8 сферичних рибонуклеопротеїдних часток.

 

3.5.5 Еквівалент ядра в прокаріотичних клітинах

Прокаріоти (бактерії, синьо-зелені водорості) мають центрально розташований, округлий нуклеоїд - еквівалент клітинного ядра. Він не має власної мембрани, не різко відмежований від іншої цитоплазми й пов'язаний із плазматичною мембраною. Він містить усього лише одну замкнуту в кільце й закручену в клубок подвійну спіраль ДНК (загальна довжина в Escherichia colі 1,2 мм), у ньому немає гістонів й інших хромосомних білків, а замість них є невеликі основні молекули.

Як й в еукаріот, ДНК містить гени, розташовані в лінійному порядку, і піддається ідентичному відтворенню (реплікації). Функціонально вона відповідає геному еуокаріотичної клітини, і тому її називають також геномом або хромосомою. Реплікація ДНК у прокаріот відбувається безупинно, і зміни форм, як в еукаріот (конденсація - розпушування) не спостерігається.

 

3.6 Плазміди

Плазміди - дуже короткі подвійні спіралі ДНК, замкнуті в кільце (довжиною від декількох тисяч приблизно до 100 000 пар основ), з одним або декількома генами, а іноді й зовсім без генів. Вони реплікуються в більшості випадків незалежно від іншого генетичного матеріалу й часто переходять із однієї клітини в іншу. Вони виявлені в бактерій і дріжджів, а також у мітохондріях еукаріотичних клітин. Плазміди бактерій містять гени, що обумовлюють ряд специфічних властивостей, які можуть створювати селективну перевагу (стійкість до антибіотиків, використання важкоокислюваних субстратів й ін.).

3.7 Мітохондрії й пластиди

Мітохондрії й пластиди являють собою органоїди еукаріотичних клітин, подібні за своїми функціями, морфології й, імовірно, походженню. Вони мають сильно розвинуту систему внутрішніх мембран, що утворюється з їхньої оболонки й служать для інтенсивного перетворення енергії.

 

3.7.1 Мітохондрії

Мітохондрії постачають в клітину енергією, що вони накопичують у формі АТР в результаті окислювання органічних речовин (дихання) - окислення жирних кислот й амінокислот, циклу лимонної кислоти, реакцій ланцюга дихання й окисного фосфорилювання. До побічних функцій мітохондрій відносяться біосинтетичні процеси, а також активне накопичення іонів. У клітині налічується 150-1500 мітохондрій. Вони відсутні у паразитичних найпростіших, і в деяких спеціалізованих клітинах (у зрілих еритроцитах).

Форма мітохондрій - у більшості випадків від округлої до паличковидної (рис. 3.6). Розміри їх від 0,5x0,5x1,0 до 1,0x1,0x5,0мкм. Оболонка мітохондрій складається із двох мембран товщиною найчастіше 7-10 нм. Між ними перебуває перимітохондріальний простір, а усередині мітохондрії - матрикс. Внутрішня мембрана утворює численні опуклості; у більшості випадків це листоподібні кристи, у багатьох найпростіших й у деяких клітках ссавців - трубочки (тубули), а в рослин - часто кишенеподібні мішечки.

Зовнішня мембрана (як й інші мембрани еукаріотичних клітин), на відміну від внутрішньої мембрани, містить значні кількості холістерола, але не містить кардіоліпіна. Зовнішня мембрана проникна для неорганічних іонів і для відносно великих молекул - амінокислот, АТР, сахарози й ін.

Внутрішня мембрана із кристами за своїм складом подібна бактеріальній мембрані: дуже багата білком (25% ліпідів, 75% білків). Вона містить

 

Рис. 3.6. Мітохондрія. А. Три різних типи внутрішньої структури мітохондрій: ліворуч - тубулярний, у середині - із кристами, праворуч - сакулярний простір

 

дуже мало холістерола; великі кількості лецитину й кардіоліпіну. Кардіоліпін зустрічається тільки в прокаріот, у мітохондріях й у пластидах. Проникність внутрішньої мембрани дуже мала, і через неї можуть дифундувати тільки невеликі молекули. Периферичні мембранні білки - різні дегідрогенази - окислюють субстрати дихання, що перебувають у матриксі, і передають віднятий водень у дихальний ланцюг.

Матрикс містить проміжні продукти обміну, деякі ферменти циклу лимонної кислоти й окислювання жирних кислот.

Мітохондрії містять у своєму матриксі ДНК, РНК (t PHK, r PHK, m PHK) і рибосоми (70 S) і здатні до реплікації ДНК, транскрипції й біосинтезу білка. ДНК, як у прокаріот, вільна від гістонів і являє собою дволанцюгову кільцеву молекулу. Мітохондріальні гени, як і хромосомні, містять інтрони. У кожній мітохондрії є 2-6 ідентичних копій молекули. У мітохондріальній ДНК закодовані мітохондріальні r РНК й t PHK (з іншою первинною структурою, ніж у цитоплазматичних РНК) і деякі білки внутрішньої мембрани. Більшість мітохондріальних білків кодується в хромосомах і синтезується на цитоплазматичних рибосомах.

Мітохондрії живуть тільки кілька днів, розмножуються поперечним поділом, але можуть також розвиватися із промітохондрій. Мітохондріальна інформація повністю зберігається й при статевому розмноженні.

 

3.7.2 Пластиди

Залежно від типу тканини безбарвні пропластиди ембріональних клітин розвиваються в зелені хлоропласти або в похідні від них форми пластид - у жовті або червоні хромопласти або в безбарвні лейкопласти.

Функція хлоропластів - фотосинтез, тобто перетворення енергії світла в хімічну енергію органічних речовин, насамперед вуглеводів, які ці пластиди синтезують із бідних енергією речовин - СО2 і Н2О. Хлоропласти є в клітинах, що перебувають на світлі, у вищих рослин - у листях, біля поверхні стебла й у молодих плодах.

Пігменти хлоропластів поглинають світло для фотосинтезу. Це в основному хлорофіли; 70% їх становить хлорофіл а (синьо-зелений), а 30%-хлорофіл b (жовто-зелений) у вищих рослин і зелених водоростей і хлорофіл с, d або е в інших груп водоростей. Крім того, всі хлоропласти містять каротиноїди: померанчево-червоні каротини (вуглеводні) і жовті, рідше червоні ксантофіли (окислені каротини). У червоних і синьо-зелених водоростей зустрічаються також фікобіліпротеїди: голубий фікоціанін і червоний фікоеритрин.

У клітинах вищих рослин, як й у деяких водоростей, налічується близько 10-200 сочевицеподібних хлоропластів величиною 3-10 мкм. Оболонка хлоропласта, що складається із двох мембран, оточує безбарвну строму, що пронизана безліччю плоских замкнутих мембранних кишень (цистерн) - тілакоїдів, забарвлених у зелений колір (рис. 3.7). Прокаріоти не мають хлоропластів, але в них є численні тілакоїди, обмежені плазматичною мембраною.

В еукаріотичних рослинних клітинах тілакоїди утворюються зі складок внутрішньої мембрани хлоропласта. Хлоропласти від краю до краю пронизані довгими тілакоїдами строми (рис. 3.7), навколо яких у дрібних сочевицеоподібних хлоропластах (і тільки в них!) групуються щільно впаковані, короткі тілакоїди гран (рис. 3.7, А). Стопки таких тілакоїдів гран видні у світловому мікроскопі як зелені грани величиною 0,3-0,5 мкм.

 

А Б В

 

Рис. 3.7. Хлоропласти. А. Розташування тілакоїдів у вищих рослин. Б. Хлоропласт у розрізі. В. Модель взаємин між тілакоїдами

 

У мембранах тілакоїдів здійснюється та частина реакцій фотосинтезу, з якою пов'язане перетворення енергії, - "світлові реакції".

У стромі здійснюються біохімічні синтези - темнові реакції фотосинтезу, у результаті яких відкладаються зерна крохмалю (продукт фотосинтезу). У стромі є ДНК, m PHK, t PHK, r PHK й рибосоми. Як й у мітохондріях, молекула ДНК замкнута в кільце, несе гени з інтронами й вільна від гістонів і негістонових хромосомних білків. Є від 3 до 30 ідентичних копій ДНК на кожен хлоропласт. Молекули довші, ніж у мітохондріях (40-45, іноді до 160 мкм) і містять більше інформації: ДНК кодує r РНК й t PHK, ДНК- і РНК-полімерази, деякі білки рибосом, а також цитохроми й більшість ферментів темнового процесу фотосинтезу. Однак більша частина білків пластид кодується в хромосомах.

Лейкопласти - це безбарвні пластиди округлої, яйцеподібної або веретеноподібної форми в підземних частинах рослин, насінні, епідермісі, серцевині стебла. Вони містять ДНК, зерна крохмалю, одиничні тілакоїди й пластидний центр. Утворення тілакоїдів і хлорофілу найчастіше або генетично подавлене (корінь, епідерміс), або гальмується відсутністю світла.

Хромопласти є причиною жовтого, жовтогарячого й червоного забарвлення багатьох квіток, плодів і деякого коріння. Вони бувають округлими, багатогранними, сочевицеподібними, веретеновидними або кристалоподібними, містять пластоглобули (часто у великій кількості), крохмальні зерна й білкові кристалоїди, не мають пластидного центра. Тілакоїдів у них мало або зовсім немає. Пігменти - понад 50 видів каротиноїдів (наприклад, віолаксантин в анютиних глазках, каротин у моркві) - локалізуються в трубчастій або нитковидній білковій структурі, або утворюють кристали. Вторинна роль хромопластів - створення зорової принади для тварин і тим самим сприяння запиленню квіток і розповсюдженню плодів і насіння.

 

3.7.3 Філогенез мітохондрій і пластид

Мітохондрії й пластиди займають в еукаріотичній клітині зовсім особливе положення. Вони мають власну генетичну систему, розмножуються відносно незалежно від поділу всієї клітини і ядра й відокремлені від іншої протоплазми подвійною мембраною.

Відповідно до гіпотези ендосимбіозу, вони є нащадками прокаріот, подібних з бактеріями або синьо-зеленими водоростями, які (імовірно, у результаті фагоцитозу) проникнули в гетеротрофні анаеробні клітини й стали в них жити, як симбіонти. Моделлю може служити явище ендоцитозу в деяких грибів, джгутикових, амеб, синьо-зелених водоростей. На користь цієї гіпотези говорять, зокрема наступні, загальні особливості мітохондрій, хлоропластів, бактерій і синьо-зелених водоростей:

1. Мембрана (внутрішня) містить кардіоліпін;

2. ДНК не пов'язана з гістонами й має кільцеподібну форму;

3. Є 70 S -рибосоми (а не 80 S), які не містять 5,8 S -PHK;

4. Синтез білка починається з N -формилметіоніну. РНК хлоропластів і синьо-зелених водоростей утворюють одну групу по спорідненню послідовностей, а РНК мітохондрій і бактерій - іншу. Обидві групи філогенетично далекі від РНК, що кодується у клітинному ядрі.

Аргументами проти гіпотези ендосимбіозу могли б служити наступні факти:

1. Більшість білків мітохондрій і пластид кодується в клітинному ядрі.

2. Гени мітохондрій і пластид містять інтрони, так само як і гени клітинного ядра.

 

3.8 Система ендомембран

У цитоплазмі сильно розвинена внутрішня система мембран, що відмежовує замкнуті реакційні простори. Ці простори можуть бути вузькими або пухирцевидно розширеними (у дрібних пухирців або великих вакуоль).

3.8.1 Ендоплазматичний ретикулум (ЕР)

Трубчасті або сплощені цистерни ЕР (рис. 3.2) пронизують всю цитоплазму й оточують клітинне ядро, утворюючи ядерну оболонку. Цистерни зв'язані між собою й з ядерною оболонкою, а їхній внутрішній простір сполучується з перинуклеарним простором. Мембрани цистерн мають товщину близько 6 нм. Ліпіди, що їх складають - головним чином гліцерофосфатиди (90-95%), зокрема лецитин (55%). Гранулярний (шорсткуватий) ЕР густо засіяний полісомами, а гладкий (агранулярний) ЕР, що складається в основному із трубчастих елементів, не пов'язаний з ними.

У гранулярному ЕР відбувається синтез певних білків: секреторних (у залізистих клітинах), резервних (у рослин), багатьох мембранних білків. Рибосоми, прикріплені своїми більшими субчастками до мембрани, проштовхують синтезовані поліпептидні ланцюги в цистерни, звідки білки виводяться із клітини, найчастіше за допомогою трубчастих цистерн гладкого ЕР.

У гладкому ЕР протікають різні етапи обміну вуглеводів, жирних кислот, жирів й інших речовин. Насамперед, це центр синтезу ліпідів і мембранних стероїдів (холестерола) і тим самим початковий пункт плину мембран, тобто утворення й регенерації всієї системи ендомембран і плазматичної мембрани.

Цистерни ЕР можуть "розмножуватися", синтезуючи власні структурні компоненти. Вони утворяться, і з інших мембран (наприклад, цистерн Гольджі) або в результаті злиття пухирців, що відшнуровуються від інших частин ЕР.

 

3.8.2 Система Гольджі

Система Гольджі використовується в клітині для утворення, росту й регенерації плазматичної мембрани й для утворення екскретів (насамперед вуглеводів і білків).

Диктіосоми - це стопки з 3-12 дископодібних замкнутих цистерн Гольджі (діаметром у більшості випадків 0,2-0,5 мкм), від країв яких відшнуровуються пухирці Гольджі (діаметр близько 20 нм) (рис. 3.8).

 

А Б

 

Рис. 3.8. Система Гольджі. А. Модель диктіосом рослинної клітки.

Б. Диктіосома з сторонами, що формується (1) і секреторною (2)

 

 

Як правило, їх буває від декількох сотень до тисяч на клітину. Апарат Гольджі в зрілих клітинах хребетних являє собою результат злиття всіх диктіосом. У результаті розширення цистерн утворяться пухирці й великі вакуолі Гольджі.

Система Гольджі - похідне ендоплазматичного ретикулуму. Пухирці Гольджі підходять до плазматичної мембрани, зливаються з нею, виливають свій уміст назовні (екзоцитоз), а їхня мембрана включається в плазматичну мембрану. Аналогічним чином вони можуть спорожнятися й у внутрішні компартменти, наприклад, у секреторні вакуолі в рослин.

У тварин система Гольджі синтезує глікопротеїди й гліколіпіди глікокалікса. Гольджі. Апарат Гольджі бере участь також в утворенні білків молока в молочних залозах, жовчі в печінці, речовин кришталика, зубної емалі й т.п.

 

3.8.3 Пухирці

Це округлі або овальні утворення з одиночною мембраною. Ендоцитоз - це утворення пухирців шляхом вп’ячення плазматичної мембрани при поглинанні твердих часток (фагоцитоз) або розчинених речовин (піноцитоз) (рис. 3.9). Виникаючі при цьому гладкі або облямовані ендоцитозні пухирці називають також фагосомами або піносомами. Шляхом ендоцитозу здійснюються: харчування, захисні й імунні реакції, транспорт. Матеріали, що попадають у клітину шляхом ендоцитозу, розщеплюються ("перетравлюються"), накопичуються (наприклад, жовткові білки) або знову виводяться із протилежної сторони клітини шляхом екзоцитозу.

 

А

 

Б

 

Рис. 3.9. Ендо- і екзоцитоз. А. Схема. Б. Участь лізосом у процесах піно- і фагоцитозу

 

Екзоцитоз - процес, протилежний ендоцитозу (рис. 3.9): різні пухирці, наприклад, з ендоплазматичного ретикулуму, апарата Гольджі, ендоцитозні пухирці, зливаються із плазматичною мембраною, звільняючи, свій вміст назовні. При цьому мембрана пухирця може або вбудовуватися в плазматичну мембрану, або у формі пухирця повертатися в цитоплазму.

Лізосоми здійснюють внутрішньоклітинне переварювання. Це пухирці величиною до 2 мкм, що або безструктурні, або містять напівперетравлений матеріал. У них є понад 30 ферментів, що здійснюють гідролітичне розщеплення білків, нуклеїнових кислот, вуглеводів і ліпідів.

 

3.8.4 Вакуолі

Вакуолями називають великі пухирці з переважно водним вмістом. Вони утворюються з пухирцевовидних розширень ЕР або з пухирців Гольджі.

Скорочувальні (пульсуючі) вакуолі (рис. 3.10, А) служать для осмотичної регуляції, насамперед у прісноводних найпростіших. Центральна вакуоль рослинних клітин (рис. 3.10, Б) займає більшу частину об’єму клітини й може бути пронизана тяжами протоплазми. Вміст вакуолі - клітинний сік. Центральна вакуоль використовується для різних цілей:

1) як накопичувальний простір - для відокремлення розчинних проміжних продуктів обміну;

2) як місце для екскретів - для відокремлення кінцевих продуктів обміну, наприклад деяких пігментів й інших вторинних речовин;

3) як осмотичний простір вакуоль відіграє головну роль у поглинанні води рослинними клітинами й у створенні тургорного тиску;

4) як лізосомний простір для аутофагії, в яке надходять лізосомні ферменти з пухирців Гольджі.

 

А Б

 

Рис. 3.10. Вакуолі. А. Інфузорія-туфелька (Paramecіum) з пульсуючою вакуолею (ПВ). Б. Утворення центральної вакуолі в рослинній клітині.

 

У запасних тканинах рослин замість однієї центральної вакуолі часто буває декілька накопичувальних вакуоль (рис. 3.10, В), наприклад жирові вакуолі з жировою емульсією або білкові вакуолі з колоїдними або кристалоїдними білками.

 

3.9 Мікрофіламенти й внутрішньоклітинні рухи

Мікрофіламенти являють собою дуже тонкі, довгі, нитковидні білкові структури, що зустрічаються у всій цитоплазмі. Вони обумовлюють в'язко-еластичну, тиксотропну консистенцію цитоплазми й внутрішньоклітинні рухи, включаючи високоспеціалізований рух (скорочення) фібрил у м'язових волокнах.

Внутрішньоклітинний рух виникає при взаємодії мікрофіламентів з актину (актинових ниток) з міозином. В м'язових клітинах актинові й міозинові нитки утворюють скоротний актоміозиновий комплекс. Якщо міозин приєднується до кінців актинових ниток, філаменти зміщаються відносно один одного, поєднуються в пучки, і це приводить до скорочення.

Плин протоплазми спостерігається майже у всіх еуокаріотичних клітинах (швидкість 1-6 см/год). Цей процес лежить в основі амебоїдного руху.

 

3.10 Трубчасті (тубулярні) структури

 

3.10.1 Мікротрубочки (мікротубули)

Мікротрубочки складаються з тубуліна, що займає по кількості друге (після актину) місце серед білків еуокаріотичних клітин. Кожна мікротрубочка (діаметр 24 нм, довжина кілька мікрометрів) побудована з 13 протофіламентів і з невеликого числа молекул низькомолекулярних і високомолекулярних білків.

У клітинні мікротрубочки можуть утворювати мережу. Тверді трубочки можуть утворювати свого роду цитокістяк, завдяки якому при відсутності клітинної стінки клітина може зберігати певну форму.

 

3.10.2 Центріолі й базальні тільця

У більшості тваринних клітин й у деяких клітинах рослин біля ядра перебуває центріоль. Це утворення схоже на порожній циліндр (діаметр близько 150 нм, довжина 300-500 нм) зі стінкою з 27 мікротрубочок, розташованих у вигляді 9 триплетів. Базальні тільця (кінетосоми) у основи джгутиків виглядають як центріолі. Їх функція - утворення джгутиків. Центріолі - це центри збагачення для організаторів мікротрубочок, які продукують центріолі й базальні тільця, а під час поділу ядра - нитки веретена поділу.

 

3.10.3 Джгутики й війки

Джгутики й війки являють собою рухливі цитоплазматичні відростки, які служать або для пересування всього організму (у бактерій, водоростей, грибів, війчастих хробаків й ін.) або репродуктивних клітин (ізогамет, сперміїв, зооспор), або для транспорту часток і рідин (наприклад, війки в миготливих клітинах слизуватої носа й трахеї, яйцепроводів і т.д.).

Джгутики еуокаріотичних клітин мають товщину до 200 нм і довжину до 100 мкм і більше. Більш короткі (звичайно 10-20 мкм) джгутики, яких буває багато на одній клітині, називаються війками. По всій довжині джгутика або війки проходять 20 мікротрубочок: 9 периферичних дублетів +2 центральні одиночні (рис. 3.11). Дублет складається з 23 протофіламентів - по 10 на кожну мікротрубочку - три загальних в області їхнього приторкання. Дублети мають парні відростки з подовжених молекул білка динеїна. Ці відростки, схожі на руки (товщина 2-5 нм, довжина 10-40 нм), підходять до сусідніх дублетів.

 

 

Рис. 3.11. Поперечний розріз джгутика еуокаріотичної клітини

 

Джгутики прокаріот (бактеріальні джгутики) не гомологічні джгутикам еуокаріотичних клітин. Вони менші (діаметр 10-20 нм, довжина близько 12 мкм) і не мають трубчастих структур.

 

3.10.4 Веретено поділу

При поділі ядра між двома протилежними полюсами клітини утворюється так називане веретено. Воно складається з ниток (волокон), які являють собою пучки з великого числа (іноді більше 100) мікротрубочок. Хромосомні нитки коротшають і тягнуть центромери убік полюсів; крім того, у тварин центральні нитки звичайно подовжуються й відсувають полюси один від одного.

3.11 Параплазматичні включення

Це загальна назва для різнорідних протоплазматичних включень із приграничною мембраною або без неї, що складаються із запасних речовин, екскретів або кінцевих продуктів метаболізму (рис. 3.12).

3.11.1 Параплазматичні включення еуокаріотичних клітин

Ліпідні гранули або крапельки (рис. 3.12, Б, В, Г) містять різні суміші ліпідів. При посиленому відкладенні нейтральних жирів (тригліцеридів) вони можуть збільшуватися до розмірів жирових гранул, які в жирових клітинах тварин можуть зливатися в одну більшу центральну краплю.

 

А Б В
Г Д Е

 

Рис. 3.12. Параплазматичні включення. А. Зерна крохмалю. Б. Ліпідні гранули в кінчику корінця гороху. В. Жирова клітина людини. М. Жирові гранули в ендоспермі кокосового горіха. Д. Пучок рафід у рослинній клітині. Е. Друза в клітині ревеню

 

Гранули глікогену (без мембрани) служать місцем нагромадження вуглеводів у тварин. Зерна крохмалю (рис. 3.12, А) служать для нагромадження вуглеводів у рослин. Вони утворюються в лейкопластах шляхом відкладення шарів навколо одного або декількох первісних пунктів, складаються з амілози (близько 20%) і амілопектину (близько 80%) (рис. 3.12) і оточені зростаючою разом із зерном мембраною лейкопласта.

Секреторні гранули містять готовий до виділення секрет, що утворився в клітині.

Кристали - це досить звичайні в рослин не функціонуючі відкладення, що найчастіше складаються з оксалату кальцію, рідше - з карбонату. Зустрічаються окремі кристали, друзи й пучки голчастих кристалів (рафід) (рис. 3.12, Д, Е).

3.11.2 Гранули прокаріотичних клітин

Ці гранули не мають мембран. Для нагромадження резервних речовин служать поліфосфатні гранули ("волютинові зерна"), гранули полі-b-оксимасляної кислоти, ліпідні й глікогенові гранули й (тільки в синьо-зелених водоростей) гранули цианофіцина. Полісульфідні гранули (головним чином у сірчаних бактерій) містять продукти обміну сірки.

 

3.12 Клітинна стінка

 

3.12.1 Стінка (оболонка) рослинних клітин

Структурні компоненти клітинної стінки - це стійкі еластичні мікрофібрили (із целюлози) і пластичний матрикс (в основному із протопектину й геміцелюлоз). Стінка гідрофільна, тому проникна для води й розчинених речовин. Завдяки тургорному тиску центральної вакуолі вона пружно натягнута й надає клітці твердість. Найважливішим елементом клітинної стінки є полісахарид целюлоза. У більшості грибів його заміняє азотовмісний полісахарид хітин.

 

3.12.2 Стінка прокаріотичних клітин

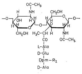
Ця шарувата стінка товщиною 10-40 нм має різну будову в грампозитивних і грамнегативних бактерій і синьо-зелених водоростей, незважаючи на присутність характерного для всіх прокаріот муреїну. Муреїн (рис. 3.13) - це пептидоглікан, побудований із залишків аміноцукру і декількох D - і L -амінокислот. У грамнегативних бактерій усередині лежить одношаровий муреїновий мішок. Грампозитивні бактерії мають товстий, багатошаровий муреїновий мішок.

Рис. 3.13. Муреїн

 

Запитання для самоперевірки

1. Хто є автором клітинної теорії і які положення вона включає?

2. Чим відрізняється будова прокаріотичної та еукаріотичної клітин?

3. Чим відрізняється будова клітинної стінки у клітин тварин, рослин та грибів?

4. Яку будову має цитоплазматична мембрана?

5. Яка будова і функції рибосом в прокаріотичній та еукаріотичній клітині?

6. Що являють собою мітохондрії?

7. В чому полягає спільність функцій та походження мітохондрій і пластид?

8. Які органоїди здійснюють рух клітини і яка їх будова?

9. Яку будову та функції має ядро клітини?

10. Який хімічний склад має хроматин?

11. Який гетерохроматин завжди гетерохроматичний?

12. Які функції виконує ядерце?

13. Які одномембранні структури існують в клітині?

14. Які цитоплазматичні включення виконують запасну функцію?





Поделиться с друзьями:


Дата добавления: 2014-01-11; Просмотров: 2425; Нарушение авторских прав?; Мы поможем в написании вашей работы!


Нам важно ваше мнение! Был ли полезен опубликованный материал? Да | Нет



studopedia.su - Студопедия (2013 - 2026) год. Все материалы представленные на сайте исключительно с целью ознакомления читателями и не преследуют коммерческих целей или нарушение авторских прав! Последнее добавление




Генерация страницы за: 0.014 сек.