Студопедия

КАТЕГОРИИ:


Архитектура-(3434)Астрономия-(809)Биология-(7483)Биотехнологии-(1457)Военное дело-(14632)Высокие технологии-(1363)География-(913)Геология-(1438)Государство-(451)Демография-(1065)Дом-(47672)Журналистика и СМИ-(912)Изобретательство-(14524)Иностранные языки-(4268)Информатика-(17799)Искусство-(1338)История-(13644)Компьютеры-(11121)Косметика-(55)Кулинария-(373)Культура-(8427)Лингвистика-(374)Литература-(1642)Маркетинг-(23702)Математика-(16968)Машиностроение-(1700)Медицина-(12668)Менеджмент-(24684)Механика-(15423)Науковедение-(506)Образование-(11852)Охрана труда-(3308)Педагогика-(5571)Полиграфия-(1312)Политика-(7869)Право-(5454)Приборостроение-(1369)Программирование-(2801)Производство-(97182)Промышленность-(8706)Психология-(18388)Религия-(3217)Связь-(10668)Сельское хозяйство-(299)Социология-(6455)Спорт-(42831)Строительство-(4793)Торговля-(5050)Транспорт-(2929)Туризм-(1568)Физика-(3942)Философия-(17015)Финансы-(26596)Химия-(22929)Экология-(12095)Экономика-(9961)Электроника-(8441)Электротехника-(4623)Энергетика-(12629)Юриспруденция-(1492)Ядерная техника-(1748)

Характеристика центробежного насоса

Основное уравнение центробежного насоса может быть исполь­зовано для получения его характеристики. Характеристикой насо­са принято называть графическую зависимость его действительно­го напора от подачи H=f(Q), построенную при постоянной час­тоте вращения п рабочего колеса. Она во многом определяет эксп­луатационные свойства насоса и является важнейшим показате­лем его работы.

(6.1)

Скорость v2R нормальна к цилиндрической поверхности S6 = nDb22, которая является сечением потока, выходящего из рабочего колеса, и поэтому связана с подачей насоса из­вестной зависимостью:

(6.2)

Тогда:

Подставив это выражение для v2R в формулу (6.1)

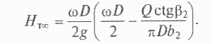
а с учетом известного соотношения для окружной скорости U2 = w (D/2 окончательно получим для теоретического напора насоса с бесконечным числом лопаток:

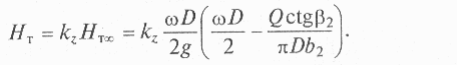
Прежде всего необходимо учесть, что рабочее колесо имеет конечное число лопаток и каждая лопатка обладает определенной толщиной (см. первое допущение). Наиболее просто это сделать, введя безразмерный коэффициент влияния числа лопаток kz. Тогда значение теоретического напора Hт учитывающее влияние лопа­ток, определится по формуле

(6.3)

Величина Нт представляет собой напор, который создавался бы при отсутствии потерь напора внутри насоса. Коэффициент kz можно считать постоянным для данного насоса, так как он зависит от числа лопаток, соотношения радиусов R1/R2 и угла наклона лопа­ток на выходе р2.

Необходимо иметь в виду, что при р2 = 90" тригонометрическая функция ctg меняет знак, а при р2 > 90" можно получить значительно большие напоры. Однако у современных насосов р2 находятся м диапазоне 15...40°, так как при больших углах возрастают абсо­лютные скорости движения жидкости, резко увеличиваются гид­равлические потери и падает коэффициент полезного действии насоса.

Далее необходимо учесть снижение напора из-за гидравлических потерь энергии в проточной части насоса. Действительный напор насоса H меньше теоретическо­го Нт на суммарную потерю напора Σhпот:

H=Hт-Σhпот (6.4)

 

Представленная зависимость имеет минимальное зна­чение при Q = Q0. Этот режим явля­ется расчетным, и векторы скорос­тей жидкости в насосе направлены по касательным (или близким к ним траекториям) к обтекаемым повер­хностям (лопаткам колеса, спираль­ному отводу и др.). При отклонении Q от Qo условия обтекания ухудшаются, возникают дополнитель­ные вихреобразования и растут потери энергии.

Имея зависимость Σhпот =f(Q) и пользуясь формулой (6.4), получим действительную характеристику насоса. Такой вид имеют характеристики всех лопастных насосов (центробежных, осевых и диагональных). Не­обходимо указать, что соотношение действительного Н и теорети­ческого Нт напоров учитывает гидравлические потери в проточной части насоса и представляет собой его гидравлический КПД:

 

(6.5)

<== предыдущая лекция | следующая лекция ==>
Центробежные насосы | Коэффициенты полезного действия центробежного насоса
Поделиться с друзьями:


Дата добавления: 2014-01-13; Просмотров: 358; Нарушение авторских прав?; Мы поможем в написании вашей работы!


Нам важно ваше мнение! Был ли полезен опубликованный материал? Да | Нет



studopedia.su - Студопедия (2013 - 2026) год. Все материалы представленные на сайте исключительно с целью ознакомления читателями и не преследуют коммерческих целей или нарушение авторских прав! Последнее добавление




Генерация страницы за: 0.009 сек.