Студопедия

КАТЕГОРИИ:


Архитектура-(3434)Астрономия-(809)Биология-(7483)Биотехнологии-(1457)Военное дело-(14632)Высокие технологии-(1363)География-(913)Геология-(1438)Государство-(451)Демография-(1065)Дом-(47672)Журналистика и СМИ-(912)Изобретательство-(14524)Иностранные языки-(4268)Информатика-(17799)Искусство-(1338)История-(13644)Компьютеры-(11121)Косметика-(55)Кулинария-(373)Культура-(8427)Лингвистика-(374)Литература-(1642)Маркетинг-(23702)Математика-(16968)Машиностроение-(1700)Медицина-(12668)Менеджмент-(24684)Механика-(15423)Науковедение-(506)Образование-(11852)Охрана труда-(3308)Педагогика-(5571)Полиграфия-(1312)Политика-(7869)Право-(5454)Приборостроение-(1369)Программирование-(2801)Производство-(97182)Промышленность-(8706)Психология-(18388)Религия-(3217)Связь-(10668)Сельское хозяйство-(299)Социология-(6455)Спорт-(42831)Строительство-(4793)Торговля-(5050)Транспорт-(2929)Туризм-(1568)Физика-(3942)Философия-(17015)Финансы-(26596)Химия-(22929)Экология-(12095)Экономика-(9961)Электроника-(8441)Электротехника-(4623)Энергетика-(12629)Юриспруденция-(1492)Ядерная техника-(1748)

Интеграл Дюамеля

Расчет цепи при воздействии э.д.с. произвольной формы.

Анализ переходных процессов показал, что ток на входе цепи i(t) пропорционален входному напряжению, вызвавшему этот ток:

т.к. – переходная проводимость цепи.

Таким образом, цепь в общем случае может рассматриваться как пассивный двухполюсник с переходной проводимостью Y(t).

 

Идея метода

 

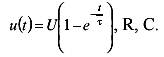
Заменим действительную кривую u(t) приближенно ступенчатой с интервалами по оси t, равными Dx. Тогда ток в любой момент времени t можно рассматривать как результат воздействия серии скачкообразных постоянных напряжений, следующих друг за другом через промежутки Dx в интервале от 0 до t.

Скачки напряжения

Составляющая тока, вызванная отдельным скачком напряжения, действующим в момент x равна

где Y(t-x-Dx) – переходная проводимость от момента (x+Dx) возникновения данного скачка напряжения до момента t отсчета значения тока.

Весь ток i(t) является суммой составляющих тока, вызванных отдельными скачками напряжений.

или - интеграл Дюамеля

где

Интеграл Дюамеля позволяет решить задачу о включении цепи под действием напряжения u(t) произвольной формы, причем Y(t) определяется в итоге решения более простой задачи – включения той же цепи под действием постоянного напряжения.

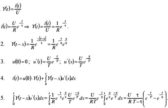
Пример:

 

 

Дано:

Найти:

i(t) –?

Решение:

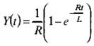
1. Определяем Y(t) при включении цепи на постоянном напряжении. Тогда

<== предыдущая лекция | следующая лекция ==>
Метод переменных состояния. Разряд конденсатора на RL-цепь | Общие сведения о программе
Поделиться с друзьями:


Дата добавления: 2014-01-13; Просмотров: 1271; Нарушение авторских прав?; Мы поможем в написании вашей работы!


Нам важно ваше мнение! Был ли полезен опубликованный материал? Да | Нет



studopedia.su - Студопедия (2013 - 2026) год. Все материалы представленные на сайте исключительно с целью ознакомления читателями и не преследуют коммерческих целей или нарушение авторских прав! Последнее добавление




Генерация страницы за: 0.009 сек.