Студопедия

КАТЕГОРИИ:


Архитектура-(3434)Астрономия-(809)Биология-(7483)Биотехнологии-(1457)Военное дело-(14632)Высокие технологии-(1363)География-(913)Геология-(1438)Государство-(451)Демография-(1065)Дом-(47672)Журналистика и СМИ-(912)Изобретательство-(14524)Иностранные языки-(4268)Информатика-(17799)Искусство-(1338)История-(13644)Компьютеры-(11121)Косметика-(55)Кулинария-(373)Культура-(8427)Лингвистика-(374)Литература-(1642)Маркетинг-(23702)Математика-(16968)Машиностроение-(1700)Медицина-(12668)Менеджмент-(24684)Механика-(15423)Науковедение-(506)Образование-(11852)Охрана труда-(3308)Педагогика-(5571)Полиграфия-(1312)Политика-(7869)Право-(5454)Приборостроение-(1369)Программирование-(2801)Производство-(97182)Промышленность-(8706)Психология-(18388)Религия-(3217)Связь-(10668)Сельское хозяйство-(299)Социология-(6455)Спорт-(42831)Строительство-(4793)Торговля-(5050)Транспорт-(2929)Туризм-(1568)Физика-(3942)Философия-(17015)Финансы-(26596)Химия-(22929)Экология-(12095)Экономика-(9961)Электроника-(8441)Электротехника-(4623)Энергетика-(12629)Юриспруденция-(1492)Ядерная техника-(1748)

Выбор маршрута прокладки кабеля кольцевой архитектуры




 

Используемые методы:

 

1) метод "иди в ближний узел":

- определяем множество узлов, через которое должен пройти кабель кольца;

- определяем расстояние между узлами, формируем матрицу расстояний;

- формируем очередь, элементы которой – расстояния между узлами. В начале очереди – лучи с минимальными расстояниями, а дальше по возрастающей;

- просматриваем всю очередь и формируем маршрут прокладки.

 

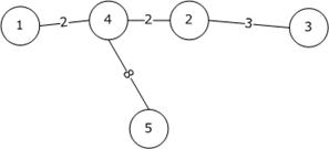
Узлы:

 

Матрица:

 

         
  *        
    *      
      *    
        *  
          *

 

Строим очередь: , , , , , , , , ,

 

Между любыми двумя узлами должна быть только одна дуга. Получилось:

 

 

Итого:, а длина

 

 


2) метод Прима-Эйлера:

- определяем множество узлов сети;

- определяем расстояния между узлами сети, формируем матрицу расстояний;

- с помощью алгоритма Прима строим остовое дерево;

- стоим мультиграф (каждой дуге в этом дереве сопоставляем идентичную дугу);

- выбираем в полученном мультиграфе маршрут Эйлера (при котором один узел принимаем за базовый, последовательно проходим по всем дугам и удаляем повторно встречающиеся узлы в мультиграфе).

 

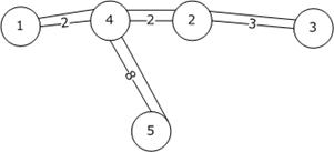
Первые два пункта такие же. Строим остовное дерево:

 

 

Мультиграф:

 

 

Получилось:

Удаляем повторные узлы:

Длина:

 

3) метод Литтла:

- найти минимальный элемент в каждой строке и вычесть его из каждого элемента;

- найти минимальный элемент в каждом столбце и вычесть его из каждого элемента;

- для каждого нулевого элемента вычесть сумму минимальных элементов по строке и столбцу;

- выбираем максимальный и исключаем из матрицы расстояний дугу, связывающую его узлы;

 

исходная:

         
  *        
    *      
      *    
        *  
          *

 

после строки:

         
  *        
    *      
      *    
        *  
          *

 

после столбца:

         
  *        
    *      
      *    
        *  
          *

 

после нулевых:

- максимальный, исключаем 4 строку и 5 столбец

 

       
  *      
    *    
      *  
        *

 

Элемент 54 = *.

 

И с этой матрицей теперь всё то же самое. В конце получится вот что:

 

       
  *      
    *    
      *  
        *

 

Опять для всех нулей находим и выбираем максимальный. Тут будет .

 

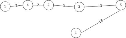
И так далее. В конце останутся дуги (4,5), (3,2), (1,4), (2,1) и (5,3).

Маршрут, например: и тогда


Задание в тетрадь: всеми тремя методами решить и сравнить результаты, рисунок ниже.

 

           
  *          
    *        
      *      
        *    
          *  
            *

 

Потом решить ещё методом "ветвей и границ" и генетическим алгоритмом. Но последние два – это для избранных.

Лекция №7 [20.03.12]

 

 




Поделиться с друзьями:


Дата добавления: 2014-01-14; Просмотров: 917; Нарушение авторских прав?; Мы поможем в написании вашей работы!


Нам важно ваше мнение! Был ли полезен опубликованный материал? Да | Нет



studopedia.su - Студопедия (2013 - 2026) год. Все материалы представленные на сайте исключительно с целью ознакомления читателями и не преследуют коммерческих целей или нарушение авторских прав! Последнее добавление




Генерация страницы за: 0.012 сек.