Студопедия

КАТЕГОРИИ:


Архитектура-(3434)Астрономия-(809)Биология-(7483)Биотехнологии-(1457)Военное дело-(14632)Высокие технологии-(1363)География-(913)Геология-(1438)Государство-(451)Демография-(1065)Дом-(47672)Журналистика и СМИ-(912)Изобретательство-(14524)Иностранные языки-(4268)Информатика-(17799)Искусство-(1338)История-(13644)Компьютеры-(11121)Косметика-(55)Кулинария-(373)Культура-(8427)Лингвистика-(374)Литература-(1642)Маркетинг-(23702)Математика-(16968)Машиностроение-(1700)Медицина-(12668)Менеджмент-(24684)Механика-(15423)Науковедение-(506)Образование-(11852)Охрана труда-(3308)Педагогика-(5571)Полиграфия-(1312)Политика-(7869)Право-(5454)Приборостроение-(1369)Программирование-(2801)Производство-(97182)Промышленность-(8706)Психология-(18388)Религия-(3217)Связь-(10668)Сельское хозяйство-(299)Социология-(6455)Спорт-(42831)Строительство-(4793)Торговля-(5050)Транспорт-(2929)Туризм-(1568)Физика-(3942)Философия-(17015)Финансы-(26596)Химия-(22929)Экология-(12095)Экономика-(9961)Электроника-(8441)Электротехника-(4623)Энергетика-(12629)Юриспруденция-(1492)Ядерная техника-(1748)

Полей. Поле диполя




Принцип суперпозиции электростатических

 

Рассмотрим метод определения модуля и направления вектора напряженности Е в каждой точке электростатического поля, создаваемого системой неподвижных зарядов Q1, Q2,…, Qn.

Опыт показывает, что к кулоновским силам применим рассмотренный в механике принцип независимости действия сил (см. § 6), т. е. результирующая сила F, действующая со стороны поля на пробный заряд Q0 равна векторной сумме сил Fi, приложенных к нему со стороны каждого из зарядов Q ;.

(80.1)

Согласно (79.1), F = Q0E и F1 = Q0E1, где Е — напряженность результирующего поля, а Е1 — напряженность поля, создаваемого зарядом Q1. Подставляя последние выражения в (80.1), получаем

(80.2)

Формула (80.2) выражает принцип суперпозиции (наложения) электростатических полей, согласно которому напряженность Е результирующего поля, создаваемого системой зарядов, равна геометрической сумме напряженностей полей, создаваемых в данной точке каждым из зарядов в отдельности.

Принцип суперпозиции позволяет рассчитать электростатические поля любой системы неподвижных зарядов, поскольку если заряды не точечные, то их можно всегда свести к совокупности точечных зарядов.

Принцип суперпозиции применим для расчета электростатического поля электрического диполя. Электрический диполь — система двух равных по модулю разноименных точечных зарядов (+Q, - Q), расстояние l между которыми значительно меньше расстояния до рассматриваемых точек поля. Вектор, направленный по оси диполя (прямой, проходящей через оба заряда) от отрицательного заряда к положи тельному и равный расстоянию между ними, называется плечом диполя l. Вектор

(80.3)

совпадающий по направлению с плечом диполя и равный произведению заряда |Q|на плечо 1, называется электрическим моментом диполя или дипольным моментом (рис. 122).

Рис. 122

 

Согласно принципу суперпозиции (80.2), напряженность Е поля диполя в произвольной точке

где Е+ и Е_ — напряженности полей, создаваемых соответственно положительным и отрицательным зарядами. Воспользовавшись этой формулой, рассчитаем напряженность поля в произвольной точке на продолжении оси диполя и на перпендикуляре к середине его оси.

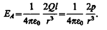
1. Напряженность поля на продолжении оси диполя в точке А (рис. 123).

Рис. 123

 

Как видно из рисунка, напряженность поля диполя в точке А направлена по оси диполя и по модулю равна

Обозначив расстояние от точки А до середины оси диполя через г, на основании формулы (79.2) для вакуума можно записать

Согласно определению диполя, l /2 ≪ г, поэтому

 

2. Напряженность поля на перпендикуляре, восставленном к осям из его середины, в точке В (рис. 123). Точка В равноудалена от зарядов, поэтому

(80.4)

где г' — расстояние от точки В до середины плеча диполя. Из подобия равнобедренных треугольников, опирающихся на плечо диполя и вектор Ев, получим

(80.5)

Подставив в выражение (80.S) значение (80.4), получим

Вектор Egимеет направление, противоположное вектору электрического момента диполя (вектор р направлен от отрицательного заряда к положительному).

 




Поделиться с друзьями:


Дата добавления: 2014-11-07; Просмотров: 410; Нарушение авторских прав?; Мы поможем в написании вашей работы!


Нам важно ваше мнение! Был ли полезен опубликованный материал? Да | Нет



studopedia.su - Студопедия (2013 - 2026) год. Все материалы представленные на сайте исключительно с целью ознакомления читателями и не преследуют коммерческих целей или нарушение авторских прав! Последнее добавление




Генерация страницы за: 0.009 сек.