Студопедия

КАТЕГОРИИ:


Архитектура-(3434)Астрономия-(809)Биология-(7483)Биотехнологии-(1457)Военное дело-(14632)Высокие технологии-(1363)География-(913)Геология-(1438)Государство-(451)Демография-(1065)Дом-(47672)Журналистика и СМИ-(912)Изобретательство-(14524)Иностранные языки-(4268)Информатика-(17799)Искусство-(1338)История-(13644)Компьютеры-(11121)Косметика-(55)Кулинария-(373)Культура-(8427)Лингвистика-(374)Литература-(1642)Маркетинг-(23702)Математика-(16968)Машиностроение-(1700)Медицина-(12668)Менеджмент-(24684)Механика-(15423)Науковедение-(506)Образование-(11852)Охрана труда-(3308)Педагогика-(5571)Полиграфия-(1312)Политика-(7869)Право-(5454)Приборостроение-(1369)Программирование-(2801)Производство-(97182)Промышленность-(8706)Психология-(18388)Религия-(3217)Связь-(10668)Сельское хозяйство-(299)Социология-(6455)Спорт-(42831)Строительство-(4793)Торговля-(5050)Транспорт-(2929)Туризм-(1568)Физика-(3942)Философия-(17015)Финансы-(26596)Химия-(22929)Экология-(12095)Экономика-(9961)Электроника-(8441)Электротехника-(4623)Энергетика-(12629)Юриспруденция-(1492)Ядерная техника-(1748)

Соединение резисторов




Проводники могут соединяться в батареи параллельно, последовательно или комбинированно.

При последовательном соединении проводников (рис. 3.2.5.):

- сила тока во всех проводниках одинакова: I1 = I2 = I;

- общее напряжение U на обоих проводниках равно сумме напряжений U1 и U2: U = U1 + U2 = I(R1 + R2) = IR,

- общее сопротивление R проводников R 1 и R 2 равно сумме их сопротивлений: R = R 1 + R 2.

Рисунок 3.2.5 - Последовательное соединение проводников.

При параллельном соединении (рис. 3.2.6):

- напряжения U1 и U2 на обоих проводниках одинаковы:

U1 = U2 = U,

- общий ток I, протекающий по обоим проводникам, равна сумме токов в отдельных ветвях цепи:

I = I1 + I2 ,

- общее сопротивление R параллельно соединенных проводников рассчитывается по формуле:

.

Рисунок 3.2.6 - Параллельное соединение проводников.

 

ЗАДАЧА 3.9

 

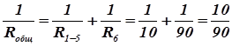
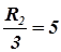
Найти общее сопротивление участка цепи, изображенного на рисунке, если R1=2 Ом, R2= R3 =R4 =15 Ом, R5 =3 Oм, R6 =90 Ом.

Дано: Решение
R1= 2 Ом R2=R3=R4=15 Ом R5=3 Ом R6=90 Ом Резисторы 2, 3 и 4 одинаковы по величине и соединены параллельно, поэтому R2-4= (Ом), R1-5=R1+R2-4+R5=2+5+3=10(Ом) => Rобщ = = 9 (Ом).
Rобщ =?
Ответ: общее сопротивление 9 Ом.



Поделиться с друзьями:


Дата добавления: 2014-11-07; Просмотров: 811; Нарушение авторских прав?; Мы поможем в написании вашей работы!


Нам важно ваше мнение! Был ли полезен опубликованный материал? Да | Нет



studopedia.su - Студопедия (2013 - 2026) год. Все материалы представленные на сайте исключительно с целью ознакомления читателями и не преследуют коммерческих целей или нарушение авторских прав! Последнее добавление




Генерация страницы за: 0.011 сек.