Студопедия

КАТЕГОРИИ:


Архитектура-(3434)Астрономия-(809)Биология-(7483)Биотехнологии-(1457)Военное дело-(14632)Высокие технологии-(1363)География-(913)Геология-(1438)Государство-(451)Демография-(1065)Дом-(47672)Журналистика и СМИ-(912)Изобретательство-(14524)Иностранные языки-(4268)Информатика-(17799)Искусство-(1338)История-(13644)Компьютеры-(11121)Косметика-(55)Кулинария-(373)Культура-(8427)Лингвистика-(374)Литература-(1642)Маркетинг-(23702)Математика-(16968)Машиностроение-(1700)Медицина-(12668)Менеджмент-(24684)Механика-(15423)Науковедение-(506)Образование-(11852)Охрана труда-(3308)Педагогика-(5571)Полиграфия-(1312)Политика-(7869)Право-(5454)Приборостроение-(1369)Программирование-(2801)Производство-(97182)Промышленность-(8706)Психология-(18388)Религия-(3217)Связь-(10668)Сельское хозяйство-(299)Социология-(6455)Спорт-(42831)Строительство-(4793)Торговля-(5050)Транспорт-(2929)Туризм-(1568)Физика-(3942)Философия-(17015)Финансы-(26596)Химия-(22929)Экология-(12095)Экономика-(9961)Электроника-(8441)Электротехника-(4623)Энергетика-(12629)Юриспруденция-(1492)Ядерная техника-(1748)

Вопросы для повторения. 1.Как Вы понимаете роль общения в жизни менеджера?




1.Как Вы понимаете роль общения в жизни менеджера?

2. Опишите и поясните модель процесса общения.

3. Как влияет уровень общительности менеджера на эффектив­
ность работы предприятия?

4. Дайте характеристику компонентов (слагаемых) общения.

5. Назовите и дайте характеристику форм общения.

6. Охарактеризуйте коммуникации, возникающие между партне­
рами в процессе общения.

7. Назовите виды информации, проходящей по каналам общения,
и определите степень их значимости.

8. Опишите составные элементы организации (технологии) общения.

9. В чем суть и назначение этапа подготовки к общению?

 

10. Охарактеризуйте основные этапы процесса непосредственно­
го общения.

11.Сформулируйте основные задачи начальной стадии общения.

12. В чем суть проблемы, связанной с умением слушать партнера
по общению?

Литература

1. Богомолова И.Н. Массовая коммуникация и общение. М., 1988.

2. Ваядовска Э.М. Компетентность в общении. М., 1989.

3. Даринг П. Хотите стать коммерсантом. М., 1994.


4.ДебольскийМ.А Психология делового общения. М., 1992.

5. КарнегиД. Как приобретать друзей и оказывать влияние на людей.
Мн., 1990.

6. Короленок Г.А. Деловые переговоры. Мн., 1994.

7. Митиг П Как проводить деловые беседы. М., 1987.

 

8. Омаров A.M. Управление: искусство общения. М., 1983.

9. Романов А.А. Грамматика деловых бесед. Тверь, 1995.

10. Фишер Р., Юри У. Путь к согласию, или Переговоры без по­
ражения. М., 1990.

10. Эрнст О. Слово предоставлено вам: Практ.рук-во по ведению
бесед и переговоров. М., 1989.

11. Шейное В.П. Как управлять другими. Мн., 1996.

12. Шмидт Р. Искусство общения. М., 1992.

13. Юри У. Преодолевая "нет", или Переговоры с трудными людь­
ми. М., 1993.


ГЛАВА 13

ОРГАНИЗАЦИЯ ПРОВЕДЕНИЯ ДЕЛОВЫХ СОВЕЩАНИЙ И ПЕРЕГОВОРОВ

Деловое совещание Деловые переговоры

13.1. Деловое совещание

Задачи деловых совещаний. Деловые встречи - сове­щания - одна из важнейших форм управленческой деятель­ности. Во время совещания происходит обмен информаци­ей между подчиненными и руководителем, принимаются управленческие решения.

Как свидетельствует опыт, деловые совещания далеко не всегда приносят должный эффект из-за того, что многие руководители неясно представляют себе технологию их организации и прове­дения. В результате деловые совещания созываются слишком часто и готовятся плохо. К их проведению привлекают слишком много лиц, причем непременно "первых" руководителей. Необос­нованная продолжительность совещаний снижает их результатив­ность. Наконец, решения, которые принимаются на деловых со­вещаниях, часто неудовлетворительно оформляются, а в процессе выполнения плохо контролируются, что существенно снижает их эффективность. Поэтому и возникает необходимость в повтор­ном совещании по тем же вопросам.

Деловое совещание - способ привлечения коллективного разума к выработке оптимальных решений по актуальным и наиболее сложным вопросам, возникающим в организации. Процесс уп­равления в этом смысле сводится к трем основным стадиям:

сбор и переработка информации;

координация деятельности служб фирмы и сотрудников;

принятие решения.


Кроме своего прямого назначения каждое рационально организованное совещание решает и важную учебно-воспи­тательную задачу. На совещании сотрудники учатся работать в коллективе, комплексно подходить к решению общих за­дач достигать компромиссов и т.п. Для некоторых сотруд­ников пребывание на деловом совещании - единственная воз­можность видеть и слышать руководителей высших уровней управления. Кроме того, на деловом совещании руководите­лю предоставляется возможность показать себя и раскрыть свой талант менеджера в области руководства коллективом.

Таким образом, управленческие действия менеджера дополняются коллективными заседаниями (совещаниями), на которых решаются повседневные деловые события и проблемы. На деловых совещаниях решаются такие воп­росы, как:

развитие и укрепление политики предприятия и проведение

ее в жизнь;

интеграция мероприятий всех отделов и служб с учетом общих целей организации;

выявление и расчет коллективных результатов;

коллективное решение проблем с учетом обучающего

эффекта.

Классификация деловых совещаний. Они представля­ют собой особый вид организации, которая создается на чрез­вычайно короткий срок и имеет определенную целенаправ­ленность.

Совещания классифицируют по следующим основным

признакам:

по назначению:

вырабатывающие и принимающие решения;

разъясняющие и уточняющие задачи по реализации ра­нее принятых решений;

подводящие итоги выполнения решений и дающие оценку его результатов;

оперативные;

по периодичности (частоте) проведения:

разовые; 312


регулярные;

периодические;

по количеству участников:

узкий состав (до 5 чел.);

расширенные (до 20 чел.);

представительные (свыше 20 чел.);

по степени стабильности состава участников совещания:

с фиксированным составом;

с приглашаемыми по списку, составленному для каждого совещания;

комбинированные;

по принадлежности:

партийные (и других общественных организаций);

административные;

научные и научно-технические;

объединенные.


Рис. 13.1. Технология организации и проведения деловых совещаний

Организация проведения деловых совещаний. Чтобы достичь целей совещания, необходимо должным образом под­готовить и организовать его проведение. Имеется совокупность обязательных элементов, без которых эффект совещания не будет достигнут (рис. 13.1).


Подготовка совещания начинается с определения не­обходимости и целесообразности проведения делового со­вещания. Когда решается вопрос о необходимости совеща­ния, менеджер должен подумать о задачах, которые нужно решить на совещании (совещание по этому вопросу отно­сительно более полезно, чем другие формы работы). Сове­щание имеет смысл, если есть необходимость в обмене информацией; выявлении мнений и альтернатив; анализе сложных (нестандартных) ситуаций; принятии решения по комплексным вопросам.

На этом этапе, кроме того, менеджер должен проанализи­ровать все альтернативы проведению совещания: решение вышестоящего руководства; возможность решения вопроса по телефону; селекторное совещание; возможность объеди­нения с другими (плановыми) совещаниями. И, если после этого менеджер убедится в полезности совещания, его мож­но проводить. В противном случае от совещания необходи­мо отказаться.

После того как принято решение о необходимости прове­дения совещания, определяют повестку дня и состав его уча­стников.

При подготовке повестки дня необходимо определить:

содержание обсуждаемых проблем и главную тему соот­ветствующего совещания;

условия, которым должен отвечать конечный резуль­тат совещания. Это определяет цели совещания;

кто и какую подготовительную работу должен вести. Порой целесообразно создать рабочую группу, которая готовит повестку дня, проводит предварительные краткие совеща­ния в подразделениях, совещания двух лиц и т.д.

Основные ошибки, допускаемые при формировании по­вестки дня:

отсутствие главной темы совещания (несколько тем не позволяют обеспечить их точное разграничение и соответствующее аналитическое обеспечение);

участникам предварительно не разъяснена суть обсужда­емой проблемы;


включение в повестку дня вопросов, разных по объему и содержанию, в результате чего совещание превращается в обсуждение, а часто и в перебранку между отдельными его участниками или группами. Вследствие этого увеличивает­ся число участников, поставленных в позицию пассивных слушателей;

отступление от повестки дня и рассмотрение стихийно возникших побочных тем или какой-либо вечной проблемы (например, вопросы снабжения и т.п.).

При решении вопроса о составе участников нужно особо внимательно подойти к формированию списка как по количе­ственному, так и по качественному составу. Например, совсем не обязательно на каждое совещание приглашать руководите­лей подразделений. К участию в совещании необходимо при­влечь тех должностных лиц, которые наиболее компетентны в обсуждаемой проблеме, а ими, как показывает практика, не всегда являются руководители подразделений.

Что касается количества участников совещаний, то не следует приглашать столько лиц, сколько стульев в зале заседаний (при­глашение для массовости). Оптимальный вариант - совпаде­ние количества участников совещания с количеством активно участвующих в обсуждении вопроса. Основной критерий отбо­ра участников будущего делового совещания - это компетен­тность именно в вопросах повестки дня.

Определив состав участников совещания, надо назначить день и время его проведения. Как правило, для совещания отводится один определенный день в неделю. Это позволяет участникам совещания правильно спланировать свое рабо­чее время и надлежащим образом подготовиться к совеща­нию. Наилучший день для совещания - среда или четверг, так как недельная кривая работоспособности имеет замет­ный спад в понедельник и пятницу.

По времени совещания лучше проводить во второй полови­не дня. Из теории биоритмов известно, что у человека в тече­ние рабочего дня наблюдаются два пика повышенной работос­пособности: первый - с 11 до 12 ч и второй - между 16 и 18 ч. Целесообразнее совещание приурочить ко второму пику, что


послужит дополнительным стимулом, побуждающим участни­ков совещания работать быстро и эффективно, дабы не заси­живаться допоздна. Поскольку любое совещание нарушает ритм трудовой деятельности, проводить его в первой половине рабо­чего дня (первый пик) нецелесообразно.

Основные ошибки, допускаемые при определении продол­жительности совещания:

не регламентируется продолжительность совещания;

не соблюдается установленная продолжительность совещания;

совещания планируются слишком продолжительными;

не делаются перерывы;

не ограничивается время на доклады и выступления;

неумение кратко и ясно излагать свои мысли.

Как правило, местом проведения значительной части (бо­лее 70 %) деловых совещаний является кабинет руководителя организации. Однако заседания лучше созывать в специально оборудованных для этой цели помещениях.

В основном приглашенные на совещание рассаживаются за стол, имеющий прямоугольную форму. Это крайне неудобно и руководителю и участникам совещания. Известна другая, бо­лее удобная - трапециевидная форма стола (рис. 13.2).

Рис. 13.2. Схема размещения участников совещания

За таким столом никто никому не мешает, каждый участ­ник хорошо видит всех остальных, а председателю и секрета­рю-стенографистке хорошо виден каждый участник делового совещания.


Помещение должно иметь хорошую звукоизоляцию, нормаль­ную температуру и относительную влажность воздуха, удоб­ную для работы мебель, вентиляцию и т.п.

Основные ошибки, допускаемые при определении места проведения совещания:

слишком много совещаний проводится в кабинете на­чальника;

в ходе совещания ведутся телефонные переговоры и даже принимаются посетители;

помещение для совещания не оборудовано соответству­ющим образом и плохо освещено.

Подготовка участников совещания - это последний этап подготовительной работы в процедуре организации деловых совещаний. Суть всей работы в этом направлении сводится к заблаговременному ознакомлению всех участников с пове­сткой дня и необходимыми материалами. Каждый должен знать заранее тематику и задачи совещания. Это будет спо­собствовать в последующем эффективному проведению со­вещания, поскольку его участники будут к нему надлежа­щим образом подготовлены заранее.

Проведение совещания. Оптимальная продолжительность совместной умственной деятельности большого числа лю­дей составляет всего 40 - 45 мин. Поэтому спустя 40 - 60 мин у участников совещания ослабляется внимание: возни­кают шум, лишние движения, разговоры. Если и дальше продолжать совещание без перерыва, то у большинства уча­стников наступает утомление. После 30-40-минутного пере­рыва у присутствующих улучшается самочувствие, восста­навливается их нормальное состояние и обсуждение проблем можно продолжить.

После 90 минут работы внимание и интерес к обсужда­емым проблемам пропадают. Данный этап совещания спе­циалисты называют периодом отрицательной активности (рис. 13.3). В этот момент человек становится неуправляе­мым, ко всему относится нервозно и недоверчиво. Реше­ния, принимаемые в такое время, обычно отличаются экстре­мизмом.


Рис. 13.3. Зависимость состояния участников совещания от его продолжительности

Если же совещание продолжается без перерыва 2 ч, то более 90 % его участников согласны на любое решение, лишь бы оно поскорее закончилось. Таким образом, оптимальная продолжитель­ность совещания - не более 1 ч. Если обстоятельства дела требу­ют более длительной работы, то после 40 мин заседания необхо­димо объявлять 10-15-минутный перерыв.

Все знают, что такое регламент, но не все его соблюдают. Если до начала совещания его регламент не установлен, то создаются предпосылки для неделовой обстановки проведения совещания.

Особая роль в соблюдении регламента отводится предсе­дателю собрания. Однако проявлять уважение к регламенту должен каждый участник совещания независимо от занимаемой долж­ности.

Протокол совещания - это первичный официальный доку­мент, на основании которого руководство вправе требовать от сотрудников выполнения порученных им заданий. Секретарь собрания фиксирует в протоколе по поручению собрания наи­более важные моменты:

достижение цели совещания;

решение;

исполнители и сроки.



Модель ведения протокола представлена на схеме 13.4.

Рис. 13.4. Модель ведения протокола совещания

Подведение итогов и принятие решения. Завершающий этап организации проведения совещания - это принятие реше­ния и проведение его в жизнь. Следует иметь в виду, что ре­шение на совещании принимается всеми вместе и каждым в отдельности. От того, насколько участнику совещания удалось включить свои идеи и соображения в общее решение, зависит его эффективность.

По сути на этом этапе речь идет о том, чтобы пояснить, кем и в какие сроки должен быть выполнен определенный объем работ. Определяется, в какой форме будут подведены итоги (рассылка протокола или его части (выписка из протокола)), при­нимается решение о широте информирования (весь коллектив или его часть).

Решения могут вырабатываться двумя путями:

1) специально избранная комиссия по подготовке решения
заранее составляет его проект. Проект зачитывается. Участ­
ники совещания вносят свои коррективы и принимают его по
результатам голосования;

2) председатель собрания подводит итоги обсуждения и
формулирует решение.

После принятия решения определяется лицо (группа лиц), осуществляющих его исполнение и контроль за исполнением.


Эффективность деловых совещаний. Искусство управ­ления и талант менеджера определяются умением максималь­но эффективно проводить деловые совещания. В этой связи каждый менеджер должен уметь рассчитать цену совещания.

Для расчета необходимо знать количество участников со­вещания, его продолжительность и часовую тарифную ставку каждого участника.

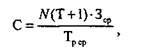
Формула расчета цены совещания имеет следующий вид:

где С - стоимость совещания, руб.; N - число участников; Т - длительность совещания, ч; Зср - среднемесячная зарпла­та участников, руб.; Т_ ср - среднее число рабочих часов в месяц; 1 - коэффициент скрытых потерь, связанных с участи­ем в совещании.

Чтобы получить минимальное значение С, менеджер дол­жен знать слагаемые эффективности проведения деловых со­вещаний. Их великое множество. Они носят как субъективный, так и объективный характер. Нами предлагаются наиболее значимые слагаемые, которые применительно к управленчес­кой ситуации можно детализировать и конкретизировать.

1. Создание благоприятных условий для коллективной ра­
боты и коллективного принятия решения. Если на совещании
рассматриваются сложные проблемы, то необходимо обеспе­
чить коллективный умственный труд присутствующих, т.е. груп­
повую работу. О групповой работе по существу можно гово­
рить в том случае, если результат работы группы:

выше результата индивидуального труда лучшего члена группы;

лучше суммы индивидуальных результатов всех членов группы.

Групповая работа требует специальной подготовки. При физическом труде выражение этих закономерностей является само собой разумеющимся (коллективный труд всегда произ­водительнее), но при умственном достигнуть соответствующе­го результата значительно сложнее.

2. Начало деловых совещаний в точно назначенное время
и сжатые графики работы.


3. Формирование атмосферы непринужденности и делови­
тости. Атмосфера на совещании прямо зависит от руководи­
теля. Сотрудничеству не способствуют чрезмерная критика,
сетования и т.п. Для создания атмосферы непринужденности
и деловитости необходимо, чтобы его участники чувствовали
себя равными и ощущали значимость рассматриваемых про­
блем. Руководитель совещания должен следить, чтобы непри­
нужденность не подавляла деловитость и наоборот. Рассмот­
рение проблемы неприятного содержания надо оставить на конец
совещания (часть людей к тому времени можно отпустить) и
сделать это по возможности коротко. Большинство таких проблем
надо решать в индивидуальном порядке.

Предпочтительнее, если в начале совещания своими мысля­ми поделятся менеджеры и специалисты низших уровней управ­ления. Менеджер совещания обязан создавать деловую и в то же время раскрепощенную обстановку, в которой каждый чув­ствует себя раскованно. Гнет, атмосфера страха и недоброже­лательность не способствуют эффективной коллективной рабо­те. Задача совещания - решить проблему, а не найти виноватого. Поэтому свободное и откровенное изложение своих мыслей, а также непринужденность сократят потери на совещании.

4. Эффективная техника ведения записей. Хорошо органи­
зованные записи помогают внимательно следить за ходом
совещания, делать обобщения, вносить конкретные предложе­
ния и накапливать полезную информацию. Форма записи зави­
сит от характера обсуждаемого вопроса. Если вырабатывает­
ся план конкретных действий, то целесообразнее страничку своего
делового дневника разделить на три колонки. В первой отме­
чается фамилия выступающего, во второй - кратко излагается
суть предложения, в третьей - записываются фамилии тех, кто
поддержал предложение. В итоге у Вас накапливается пере­
чень предложений, из которых можно формировать план, а сама
страничка остается резервом идей, которые в данный момент
не реализуются, но могут оказаться актуальными в будущем.

5. Обеспечение активности всех участников совещания.
Председательствующий должен учитывать так называемый
"психологический феномен" и организовать порядок выступле­
ний, при котором очередность будет обратной авторитету и


положению выступающего. Это связано с тем, что более моло­дые сотрудники весьма неохотно высказывают свою точку зре­ния, особенно тогда, когда она не совпадает с уже высказанным мнением руководителя более высокого ранга. Поэтому иногда неожиданные и нестандартные решения проблем, исходящие от более молодых сотрудников, просто даже не обсуждаются.

Другой способ повысить активность - это требование выступления каждого участника совещания.

6. Обсуждение особых мнений. Как уже отмечалось, од­ной из гарантий успеха совещания является результат, получа­емый путем учета мнений всех его участников. Часть мнений и предложений и даже выдвигаемые в ходе совещания пробле­мы могут оказаться ошибочными. В этом случае руководитель совещания должен кратко объяснить причины ошибочного мнения (никто не должен покидать совещание с чувством, будто его точка зрения правильная, а решение совещания ошибочное).

Вторую, часто большую часть особых мнений составля­ют такие, которые стремятся расширить или, наоборот, су­зить выдвинутое предложение или проблему. Это и есть те особые мнения, которые требуют обсуждения и которые, как правило, являются ценными. Именно они позволяют достиг­нуть положительных результатов. На совещании нельзя ис­пользовать такую форму, как голосование, в противном слу­чае это будет не совещание, а собрание. При обсуждении особых мнений при необходимости можно критиковать точ­ки зрения, подходы к решению проблем, но не людей.

Рекомендации участнику совещания:

1.Уверены ли Вы, что Ваше участие в данном совещании
в целом или в частности крайне необходимо?

2. В чем состоит Ваш вклад в успешность проведения
совещания?

3. Совещающиеся должны создать единую рабочую группу,
основной частью которой является анализ таких проблем
работы организации, осуществление которых не входит в ком­
петенцию каждого участника в отдельности. Групповая работа
должна обеспечить выявление предложений, достижение кото­
рых в индивидуальном порядке невозможно.


4. Умение слушать и анализировать на совещании - это
важнейшие и необходимые качества, требующие постоянного
совершенствования.

5. На совещании должен говорить один человек, высказы­
вая свою точку зрения по возможности четко и кратко. Преры­
вать выступающего нельзя. Слово для дополнения высказан­
ной мысли дается в порядке очередности.

6. Участникам совещания целесообразно делать в ходе
обсуждения заметки.

7. Участники совещания должны вовлечь в процесс разра­
ботки решения и менее активных членов, чтобы дать всем
присутствующим возможность для самовыражения. Это одна
из предпосылок хорошего и результативного сотрудничества.

8. От положительного решения какой-либо рабочей проблемы
зависит удовлетворение запросов и потребностей каждого от­
дельного работника. Постарайтесь найти и понять эти связи.

9. При выработке решения и в ходе анализа проблем ни
один участник совещания не должен пытаться навязать дру­
гим мнение, опирающееся на официальную позицию начальства.
Подавление мысли других ведет к потере ценной информации.

 

10.В каждом выступлении должна быть по меньшей мере
одна ведущая идея (или предложение).

11.Каждый доклад должен завершаться кратким заключе­
нием, которое обращает внимание на главное.

12.Знайте, что эффективность каждого совещания зависит
от действенности подготовки и уровня проведения совещания.

Таким образом, совещание при соответствующем уровне подготовки и проведения является эффективным методом уп­равленческой деятельности, так как в основе принимаемых ре­шений по различным проблемам и вопросам лежат их коллек­тивные обсуждения и рекомендации.

13.2. Деловые переговоры




Поделиться с друзьями:


Дата добавления: 2014-10-15; Просмотров: 2061; Нарушение авторских прав?; Мы поможем в написании вашей работы!


Нам важно ваше мнение! Был ли полезен опубликованный материал? Да | Нет



studopedia.su - Студопедия (2013 - 2026) год. Все материалы представленные на сайте исключительно с целью ознакомления читателями и не преследуют коммерческих целей или нарушение авторских прав! Последнее добавление




Генерация страницы за: 0.008 сек.