Студопедия

КАТЕГОРИИ:


Архитектура-(3434)Астрономия-(809)Биология-(7483)Биотехнологии-(1457)Военное дело-(14632)Высокие технологии-(1363)География-(913)Геология-(1438)Государство-(451)Демография-(1065)Дом-(47672)Журналистика и СМИ-(912)Изобретательство-(14524)Иностранные языки-(4268)Информатика-(17799)Искусство-(1338)История-(13644)Компьютеры-(11121)Косметика-(55)Кулинария-(373)Культура-(8427)Лингвистика-(374)Литература-(1642)Маркетинг-(23702)Математика-(16968)Машиностроение-(1700)Медицина-(12668)Менеджмент-(24684)Механика-(15423)Науковедение-(506)Образование-(11852)Охрана труда-(3308)Педагогика-(5571)Полиграфия-(1312)Политика-(7869)Право-(5454)Приборостроение-(1369)Программирование-(2801)Производство-(97182)Промышленность-(8706)Психология-(18388)Религия-(3217)Связь-(10668)Сельское хозяйство-(299)Социология-(6455)Спорт-(42831)Строительство-(4793)Торговля-(5050)Транспорт-(2929)Туризм-(1568)Физика-(3942)Философия-(17015)Финансы-(26596)Химия-(22929)Экология-(12095)Экономика-(9961)Электроника-(8441)Электротехника-(4623)Энергетика-(12629)Юриспруденция-(1492)Ядерная техника-(1748)

Автоматизация измерений. Информационно-измерительные системы и измерительно - вычислительные комплексы». 3 страница




11.02.2008 12:12

Дисциплина: "Метрология, стандартизация и сертификация"

Дидактическая единица: "01Автоматизация измерений. Информационно-измерительные системы и измерительно-вычислительные комплексы_(у;мт,мв,мэ,д;;)"

№ Вопроса Вопрос
Вариант ответа Эталон ответа
  Уровень: 1 Задание: выбрать верные Аббревиатура блока упрощённой структурной схемы ЦИП, преобразующего аналоговый сигнал в код...
  ЦОУ -
  АЦП -
  ВУ -
  ЦАП +

 

  Уровень: 2 Задание: ввести значение с клавиатуры Блок ЦИП, преобразующий аналоговый сигнал в код, - это...
  Правильный ответ: АЦП

 

  Уровень: 2 Задание: ввести значение с клавиатуры Генератор тактовых импульсов - это сочетание мультивибратора и...
  Правильный ответ: триггера

 

  Уровень: 1 Задание: выбрать верные Двоичная форма записи числа 13...
    -
    -
    -
    +

 

  Уровень: 1 Задание: выбрать верные Двоично-десятичная форма записи числа 13...
  0101 1111 -
  1001 1000 -
  0100 0100 -
  0001 0011 +

 

  Уровень: 1 Задание: выбрать верные Двоично-десятичная форма записи числа 55...
    -
    -
    -
    -
    +

 

  Уровень: 2 Задание: ввести значение с клавиатуры Измерительная система на основе персонального компьютера и системы виртуальных приборов - это (записать аббревиатуру)...
  Правильный ответ: КИС

 

  Уровень: 2 Задание: ввести значение с клавиатуры Информационно-измерительная система для выявления принадлежности объекта к тому или иному классу общей совокупности объектов - это система...
  Правильный ответ: идентификации

 

  Уровень: 2 Задание: ввести значение с клавиатуры Информационно-измерительная система для выявления элементов с неправильным функционированием - это система технической...
  Правильный ответ: диагностики

 

  Уровень: 2 Задание: ввести значение с клавиатуры Информационно-измерительная система для получения законов распределения вероятностей, корреляционных функций - это система...
  Правильный ответ: статистическая

 

  Уровень: 2 Задание: ввести значение с клавиатуры Информационно-измерительная система для получения измерительной информации с удалённых объектов - это система...
  Правильный ответ: телеизмерительная

 

  Уровень: 2 Задание: ввести значение с клавиатуры Информационно-измерительная система для сопоставления контролируемых параметров с нормой - это система (записать аббревиатуру)...
  Правильный ответ: САК

 

  Уровень: 1 Задание: выбрать верные Коды для управления десятичным отсчётным устройством ЦИП:
  Единичный -
  Двоичный -
  Шестнадцатеричный -
  Двоично-десятичный +
  Тетрадно-десятичный +

 

  Уровень: 1 Задание: выбрать верные Количество блоков в упрощённой структурной схеме цифрового измерительного прибора...
    -
    -
    -
    +

 

  Уровень: 1 Задание: выбрать верные Количество триггеров в пересчётной декаде цифрового прибора...
    -
    -
    -
    +

 

  Уровень: 2 Задание: ввести значение с клавиатуры Материальный носитель информации это...
  Правильный ответ: сигнал

 

  Уровень: 2 Задание: ввести значение с клавиатуры Меньшая единичная мера, используемая в цифровых приборах - это...
  Правильный ответ: квант

 

  Уровень: 1 Задание: выбрать верные Назначение интерфейса КАМАК...
  Небольшие локальные ИС -
  Система автоматического контроля -
  Телеизмерительные системы -
  Мощные наращиваемые измерительные системы (ИС) +

 

  Уровень: 1 Задание: выбрать верные Назначение интерфейса МЭК 625.1...
  Создание телеизмерительных систем -
  Создание систем автоматического контроля -
  Создание систем технической диагностики -
  Создание небольших локальных, гибких измерительных систем +

 

  Уровень: 1 Задание: выбрать верные Нормированные величины наиболее просто кодируемые в ЦИП:
  Переменное напряжения -
  Напряжение формы «меандр» -
  Импульсное напряжение -
  Постоянное напряжение +
  Частота следования импульсов +
  Интервал времени +

 

  Уровень: 1 Задание: выбрать верные Обозначение класса точности цифрового прибора...
  1,5 -
  -
  -
  0,03/0,01 +

 

  Уровень: 2 Задание: ввести значение с клавиатуры Пересчётное устройство из четырёх триггеров с дополнительными связями - это пересчётная...
  Правильный ответ: декада

 

  Уровень: 2 Задание: ввести значение с клавиатуры Преобразование двоично-десятичного и тетрадно-десятичного кодов в параллельный код для управления ЦОУ осуществляет...
  Правильный ответ: дешифратор

 

  Уровень: 2 Задание: ввести значение с клавиатуры Преобразователь кода в напряжение (ПКН) - это (указать аббревиатуру)...
  Правильный ответ: ЦАП

 

  Уровень: 2 Задание: ввести значение с клавиатуры Прибор, состоящий из современного быстродействующего персонального компьютера и одной, двух плат сбора данных - это прибор...
  Правильный ответ: виртуальный

 

  Уровень: 1 Задание: выбрать верные Принцип действия времяимпульсного вольтметра...
  Использование компенсационного метода измерения -
  Использование двух временных ворот -
  Использование метода считывания -
  Запоолнение временных ворот счётными импульсами +

 

  Уровень: 2 Задание: ввести значение с клавиатуры Разновидность ИИC для всех видов измерений с представлением оператору результатов и воздействием на объект измерений - это (записать аббревиатуру)...
  Правильный ответ: ИВК

 

  Уровень: 3 Задание: определить соответствие Соответствие между понятием и содержанием:
  Времяимпульсное преобразование
  Частотно-импульсное преобразование
  Кодоимпульсное преобразование
  Метод считывания
   

 

Заполнение временных ворот образцовыми импульсами  
Заполнение образцового интервала времени импульсами  
Сравнение измеряемого напряжения с образцовым  
Использование многочисленных мер и сравнивающих устройств  

 

 

 

  Уровень: 3 Задание: определить соответствие Соответствие между понятием и содержанием:
  Заданный алгоритм работы информационно измерительной системы
  Программируемые ИИС
  Адаптивные ИИС
  Интеллектуальные ИИС
   

 

Алгоритм работы, структура ИИС приспосабливаются к условиям работы объекта  
Работают в реальном масштабе времени  
Для объектов, работающих в постоянном режиме  
Работа с изменяемым алгоритмом  

 

 

 

  Уровень: 1 Задание: выбрать верные Тетрадно-десятичная форма записи числа 94 с «весами» элементов кода одного десятичного разряда, равными 5, 2, 1, 1...
    -
    -
    -
    +

 

  Уровень: 2 Задание: ввести значение с клавиатуры Устройство для преобразования кода в квантованную величину (напряжение и т.д.) - это (указать аббревиатуру)...
  Правильный ответ: ЦАП

 

  Уровень: 2 Задание: ввести значение с клавиатуры Устройство сопряжения компьютера со средствами измерений или любыми другими системами - это...
  Правильный ответ: интерфейс

 

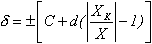
  Уровень: 1 Задание: выбрать верные Формула определения основной погрешности для цифровых приборов...
  -
  -
  -
  +

 

  Уровень: 2 Задание: ввести значение с клавиатуры ЦИП должны выдавать во внешние устройства двоично-десятичный код с весовыми коэффициентами...-...-...-....
  Правильный ответ: 8
  Правильный ответ: 4
  Правильный ответ: 2
  Правильный ответ: 1

 

  Уровень: 1 Задание: выбрать верные Цифровые приборы, в которых используется времяимпульсный метод преобразования...
  Частотомеры -
  Мосты -
  Компенсаторы -
  Хронометры +

 

  Уровень: 1 Задание: выбрать верные Цифровые приборы, в которых используется кодоимпульсный метод преобразования...
  Хронометры -
  Частотомеры -
  Компенсаторы -
  Вольтметры +

 

  Уровень: 1 Задание: выбрать верные Цифровые приборы, в которых используется частотно-импульсный метод преобразования...
  Мосты -
  Хронометры -
  Вольтметры -
  Частотомеры +

 

  Уровень: 1 Задание: выбрать верные Число, записанное в двоично-десятичном коде 01010101...
    -
    -
    -
    -
    +

 

  Уровень: 1 Задание: выбрать верные Число записанное в двоичной системе счисления 0101...
    -
    -
    -
    -
    +

 

  Уровень: 1 Задание: выбрать верные Число, записанное в двоичной системе 100000010...
    -
    -
    -
    +

 

  Уровень: 1 Задание: выбрать верные Число 10000111, записанное в тетрадно-десятичном коде с «весами» 5, 2, 1, 1...
    -
    -
    -
    +

 

  Уровень: 2 Задание: ввести значение с клавиатуры Электронное устройство с двумя длительно устойчивыми состояниями - это...
  Правильный ответ: триггер

 

  Уровень: 2 Задание: ввести значение с клавиатуры Электронное устройство с двумя кратковременно устойчивыми состояниями - это...
  Правильный ответ: мультивибратор

 

  Уровень: 1 Задание: определить соответствие
   
   
   
   
   

 

ВУ  
УУ  
ЦОУ  
АЦП  

 

 

 

 

 

11.02.2008 12:14

Дисциплина: "Метрология, стандартизация и сертификация"

Дидактическая единица: "01Метрология _(у;сз;;)"

№ Вопроса Вопрос
Вариант ответа Эталон ответа
  Уровень: 3 Задание: ввести значение с клавиатуры... - высокоточное средство измерения, используемое для проведения метрологических измерений в качестве средств передачи информации о размере единицы.
  Правильный ответ: эталон

 

  Уровень: 3 Задание: ввести значение с клавиатуры... - наука об измерениях, методах и средствах обеспечения их единства и способах достижения требуемой точности.
  Правильный ответ: метрология

 

  Уровень: 3 Задание: ввести значение с клавиатуры... - нахождение значения физической величины опытным путем с помощью специальных технических средств.
  Правильный ответ: измерение

 

  Уровень: 3 Задание: ввести значение с клавиатуры Алгебраическая разность между показаниями прибора и действительным значением измеряемой величины -...
  Правильный ответ: погрешность

 

  Уровень: 1 Задание: ввести значение с клавиатуры Алгебраическая разность между показаниями прибора и действительным значением измеряемой им величины называется......
  Правильный ответ: погрешность
  Правильный ответ: измерения

 

  Уровень: 1 Задание: выбрать верные Госнадзор контролирует на предприятии...
  соблюдение требований государственных стандартов -
  сертифицированную продукцию -
  соблюдение обязательных требований государственных стандартов +

 

  Уровень: 1 Задание: выбрать верные Государственная метрологическая служба находится в подчинении...
  Правительства РФ -
  Госэнергонадзора -
  Госстандарта РФ +

 

  Уровень: 1 Задание: выбрать верные Государственным метрологическим контролем является...
  испытания -
  анализ -
  поверка средств измерения +
  лицензирование на право ремонта средств измерения +

 

  Уровень: 2 Задание: выбрать верные Действие, подтверждающее пригодность средств измерения -...
  калибровка -
  метрологическая аттестация -
  ведомственная поверка +

 

  Уровень: 2 Задание: выбрать верные Для подтверждения пригодности средств измерения осуществляется...
  калибровка -
  метрологическая аттестация -
  ведомственная поверка +

 

  Уровень: 1 Задание: ввести значение с клавиатуры Значение греческого слова «логос» -...
  Правильный ответ: учение

 

  Уровень: 1 Задание: ввести значение с клавиатуры Значение греческого слова «метрон» -...
  Правильный ответ: мера

 

  Уровень: 3 Задание: ввести значение с клавиатуры Измерение - это нахождение значения...... опытным путем с помощью специальных технических средств.
  Правильный ответ: физической
  Правильный ответ: величины

 

  Уровень: 1 Задание: выбрать верные Измерения, по способу получения результатов измерений, делятся на:
  динамические -
  абсолютные -
  статистические -
  косвенные +
  прямые +

 

  Уровень: 3 Задание: ввести значение с клавиатуры Инструмент, применяемый для определения годности гладкой цилиндрической детали по внутреннему размеру - это...-...
  Правильный ответ: калибр
  Правильный ответ: пробка

 

  Уровень: 3 Задание: ввести значение с клавиатуры Инструмент, применяемый для определения годности гладкой цилиндрической детали по наружному диаметру - это...-...
  Правильный ответ: калибр
  Правильный ответ: скоба

 

  Уровень: 2 Задание: выбрать верные К законодательной метрологии относится...
  поверка и калибровка средств измерения -
  создание новых единиц измерения -
  метрологический контроль +

 

  Уровень: 2 Задание: выбрать верные К инструменту, предназначенному для контроля отклонений размера, формы и взаимного расположения поверхностей относятся...
  микрометрический инструмент -
  штангенинструмент -
  меры -
  калибры +

 

  Уровень: 2 Задание: выбрать верные К однозначным мерам относятся:
  линейка -
  штангенциркуль -
  гиря +
  термометр +
  плоскопараллельные концевые меры длины +

 

  Уровень: 1 Задание: выбрать верные К производным единицам измерения относятся:
  Кельвин -
  Кандела -
  метр -
  килограмм -
  Ньютон +
  Джоуль +
  Паскаль +
  миллиметр +

 

  Уровень: 2 Задание: выбрать верные К средствам измерения относятся:
  компас -
  меры -
  калибры -
  штриховые инструменты +
  индикатор часового типа +

 

  Уровень: 3 Задание: ввести значение с клавиатуры Калибры-скобы и калибры-пробки представляют собой... инструмент
  Правильный ответ: контрольный

 

  Уровень: 1 Задание: выбрать верные Международная система измерений в России была принята в...
  1920 г. -
  1978 г. -
  1940 г. -
  1963 г. +

 

  Уровень: 2 Задание: выбрать верные Меры, относящиеся к многозначным:
  гиря 1 кг -
  калибр -
  гиря 0,2 кг -
  набор концевых мер +
  набор угловых плиток +
  магазин электрических сопротивлений +

 

  Уровень: 1 Задание: выбрать верные Меры, относящиеся к однозначным:
  набор концевых мер -
  набор угловых плиток -
  гиря 1 кг +
  калибр +
  гиря 0,2 кг +

 

  Уровень: 3 Задание: ввести значение с клавиатуры Метод измерения, при котором прибор показывает абсолютное значение измеряемой величины -... метод.
  Правильный ответ: абсолютный

 

  Уровень: 3 Задание: ввести значение с клавиатуры Метод измерения, при котором прибор показывает отклонение значений измеряемой величины от размера установочной меры -... метод.
  Правильный ответ: относительный

 

  Уровень: 3 Задание: ввести значение с клавиатуры Метод, при котором измерительная поверхность прибора не соприкасается с контролируемой поверхностью детали -... метод.
  Правильный ответ: бесконтактный

 

  Уровень: 3 Задание: ввести значение с клавиатуры Метод, при котором измерительная поверхность прибора соприкасается с контролируемой поверхностью детали -... метод.
  Правильный ответ: контактный

 

  Уровень: 1 Задание: выбрать верные Методы измерения, различающиеся по условиям измерения:
  метод непосредственной оценки -
  метод сравнения с мерой -
  контактный метод +
  бесконтактный метод +

 

  Уровень: 1 Задание: выбрать верные Обозначение «дека» соответствует...
  -
  -
  -
  +

 

  Уровень: 1 Задание: выбрать верные Обозначение «кило» соответствует:
  -
  -
  -
  +

 

  Уровень: 1 Задание: выбрать верные Обозначение «мили» соответствует:
  -
  -
  -
  +

 

  Уровень: 2 Задание: выбрать верные Однозначными мерами являются:
  линейка -
  штангенциркуль -
  гиря +
  термометр +
  плоскопараллельные концевые меры длины +

 

  Уровень: 1 Задание: выбрать верные Основными единицами измерения системы «СИ» являются:
  Ньютон -
  миллиметр -
  Паскаль -
  Джоуль -
  Кельвин +
  килограмм +
  метр +
  Кандела +

 

  Уровень: 3 Задание: ввести значение с клавиатуры Погрешность...... это разница между результатом измерения X и действительным значением Q измеряемой величины.
  Правильный ответ: результата
  Правильный ответ: измерения

 

  Уровень: 2 Задание: выбрать верные Погрешность в зависимости от места возникновения бывает:
  абсолютная -
  систематическая -
  инструментальная +
  методическая +
  субъективная +

 

  Уровень: 2 Задание: ввести значение с клавиатуры Погрешность измерения, обусловленная погрешностью отчета оператором показаний по шкале средств измерения, называется... погрешностью.
  Правильный ответ: случайной

 

  Уровень: 1 Задание: выбрать верные Погрешность, которая изменяется при повторных измерениях закономерно -... погрешность.
  случайная -
  относительная -
  приведенная -
  методическая -
  систематическая +

 

  Уровень: 1 Задание: выбрать верные Погрешность, которая изменяется при повторных измерениях непредвиденно закономерно -... погрешность.
  методическая -
  систематическая -
  относительная -
  приведенная -
  случайная +

 

  Уровень: 1 Задание: выбрать верные Погрешность по характеру проявления бывает:
  абсолютная -
  относительная -
  приведенная -
  случайная +
  систематическая +

 

  Уровень: 2 Задание: выстроить последовательность Последовательность точности измерения в сторону уменьшения:
  0,001
  0,002
  0,005
  0,01

 

  Уровень: 2 Задание: выстроить последовательность Последовательность точности измерения по увеличению:
  0,01
  0,0025
  0,005
  0,0002

 

  Уровень: 2 Задание: выбрать верные Прибор, осуществляющий бесконтактный метод измерения это:
  рычажной индикатор -
  датчики -
  инструментальный микроскоп +
  теодолит +

 

  Уровень: 4 Задание: выбрать верные Проверка соответствия объекта установленному техническому условию -...
  измерение -
  техническое диагностирование -
  техническое регулирование -
  технический контроль +

 

  Уровень: 3 Задание: ввести значение с клавиатуры Проверка соответствия объекта установленному техническому условию -......
  Правильный ответ: технический
  Правильный ответ: контроль

 

  Уровень: 1 Задание: выбрать верные Проверку соблюдения метрологических правил и норм при осуществлении государственного метрологического надзора проводят...
  общественные инспектора -
  инспектора Госгортехнадзора -
  инспектора санэпидстанции -
  государственные инспектора +

 

  Уровень: 4 Задание: выбрать верные Процесс определения технического состояния объекта -...
  измерение -
  технический контроль -
  техническое регулирование -
  техническое диагностирование +

 

  Уровень: 1 Задание: выбрать верные Различают следующие виды контроля качества продукции:
  органолептический -
  комбинаторный -
  сплошной +
  летучий +
  разрушающий +

 

  Уровень: 1 Задание: ввести значение с клавиатуры Сигнальный листок служит для регистрации и контроля за устранением...... изделия.
  Правильный ответ: незначительных
  Правильный ответ: дефектов

 

  Уровень: 2 Задание: выбрать верные Система единиц физических величин - это...
  совокупность единиц, используемых на практике -
  совокупность основных единиц -
  совокупность основных и производных единиц +

 

  Уровень: 3 Задание: ввести значение с клавиатуры Состояние измерений, при котором их результаты выражены в узаконенных единицах и погрешности измерений известны с заданной вероятностью -......
  Правильный ответ: единство
  Правильный ответ: измерений

 

  Уровень: 1 Задание: выбрать верные Средства измерения, используемые при абсолютном методе измерения:
  оптиметр -
  индикаторный нутромер -
  штангенциркуль +
  микрометр +
  микрометрический нутромер +

 

  Уровень: 2 Задание: выбрать верные Средства измерения, используемые при относительном методе измерения:
  штангенглубиномер -
  микрометрический глубиномер -
  скоба индикаторная +
  оптиметр +
  индикатор часового типа +

 

  Уровень: 2 Задание: выбрать верные Средства измерения подвергаются следующим видам поверок:
  систематическая -
  лицензионная -
  первичная +
  периодическая +
  экспертная +

 

  Уровень: 1 Задание: выбрать верные Средства измерения, разделяющиеся по конструктивному исполнению:
  эталоны -
  рабочие средства измерения -
  измерительные системы +
  измерительные преобразователи +
  измерительные установки +

 

  Уровень: 2 Задание: выбрать верные Средствами измерения являются:
  калибр-скоба -
  штангенциркуль +
  скоба индикаторная +
  скоба рычажная +
  микрометр +

 

  Уровень: 2 Задание: выбрать верные Средствами измерения являются:
  компас -
  меры -
  калибры -
  штриховые инструменты +
  индикатор часового типа +

 

  Уровень: 2 Задание: выбрать верные Стандартный образец - это...
  многозначная мера -
  магазин мер -
  однозначная мера +

 

  Уровень: 1 Задание: выбрать верные Сферы, в которых создание государственных метрологических служб не является обязательными:
  здравоохранение -
  обеспечение безопасности труда -
  машиностроение -
  металлургическое производство -
  охрана окружающей среды -
  горнодобывающие предприятия -
  банковские операции +
  предприятия бытовой техники +

 

  Уровень: 2 Задание: выбрать верные Термометр - это...
  прибор для сравнения -
  измерительная установка -
  прибор прямого действия +

 

  Уровень: 1 Задание: выбрать верные Точность измерения, которую можно получить при работе микрометрическим инструментом...
  0,1 -
  0,05 -
  0,001 -
  0,002 -
  0,01 +

 

  Уровень: 1 Задание: выбрать верные Точность измерения, которую можно получить при работе штангенинструментом:
  0,1 -
  0,001 -
  0,002 -
  0,01 +
  0,05 +

 

  Уровень: 1 Задание: выбрать верные Управление техническим контролем качества продукции на предприятии осуществляет отдел...
  ОГМ -
  ПТО -
  АХО -
  ОТК +

 

  Уровень: 4 Задание: ввести значение с клавиатуры Эталон - это высокоточная мера, предназначенная для воспроизведения и хранения...... с целью передачи ее размера другим средствам измерения
  Правильный ответ: единицы
  Правильный ответ: величины

 

  Уровень: 1 Задание: выбрать верные
  относительная -
  приведенная -
  случайная -
  абсолютная +

 

 




Поделиться с друзьями:


Дата добавления: 2014-10-31; Просмотров: 928; Нарушение авторских прав?; Мы поможем в написании вашей работы!


Нам важно ваше мнение! Был ли полезен опубликованный материал? Да | Нет



studopedia.su - Студопедия (2013 - 2026) год. Все материалы представленные на сайте исключительно с целью ознакомления читателями и не преследуют коммерческих целей или нарушение авторских прав! Последнее добавление




Генерация страницы за: 0.01 сек.