Студопедия

КАТЕГОРИИ:


Архитектура-(3434)Астрономия-(809)Биология-(7483)Биотехнологии-(1457)Военное дело-(14632)Высокие технологии-(1363)География-(913)Геология-(1438)Государство-(451)Демография-(1065)Дом-(47672)Журналистика и СМИ-(912)Изобретательство-(14524)Иностранные языки-(4268)Информатика-(17799)Искусство-(1338)История-(13644)Компьютеры-(11121)Косметика-(55)Кулинария-(373)Культура-(8427)Лингвистика-(374)Литература-(1642)Маркетинг-(23702)Математика-(16968)Машиностроение-(1700)Медицина-(12668)Менеджмент-(24684)Механика-(15423)Науковедение-(506)Образование-(11852)Охрана труда-(3308)Педагогика-(5571)Полиграфия-(1312)Политика-(7869)Право-(5454)Приборостроение-(1369)Программирование-(2801)Производство-(97182)Промышленность-(8706)Психология-(18388)Религия-(3217)Связь-(10668)Сельское хозяйство-(299)Социология-(6455)Спорт-(42831)Строительство-(4793)Торговля-(5050)Транспорт-(2929)Туризм-(1568)Физика-(3942)Философия-(17015)Финансы-(26596)Химия-(22929)Экология-(12095)Экономика-(9961)Электроника-(8441)Электротехника-(4623)Энергетика-(12629)Юриспруденция-(1492)Ядерная техника-(1748)

Дезоксирибонуклеиновая кислота




Азотистые основания в ДНК представлены аденином, гуанином, тимином, цитозином, углевод - дезоксирибозой. ДНК играет важную роль в хранении генетической информации. В отличие от РНК в ДНК присутствуют две полинуклеотидные цепи. Молекулярная масса ДНК около 109 д. Полинуклеотидные цепи в молекуле ДНК объединяются по принципу комплементарности, известному как «правила Чаргафа» (1939 г.). Правила Э. Чаргафа включают несколько положений.

1. Количество остатков аденина равно количеству остатков тимина (А=Т). Количество остатков гуанина равно количеству остатков цитозина (Г=Ц).

2. Сумма пуриновых оснований (А + Г) равна сумме пиримидиновых оснований (Т + Ц).

3. В комплементарных позициях количество оснований с аминогруппой равно количеству оснований с кетогруппой (Г + Т = А + Ц).

4. Для всех видов ДНК существует коэффициент видовой специфичности – отношение Г + Ц/А + Т < 1.

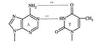
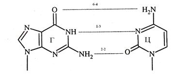
На основании данных правил и результатов рентгеноструктурного анализа Д. Уотсон и Ф. Крик создали модель структуры ДНК, согласно которой в молекуле ДНК две полинуклеотидные цепи располагаются антипараллельно и соединяются водородными связями между комплементарными азотистыми основаниями. В паре А-Т возникают 2 водородные связи, в паре Г - Ц формируются 3 водородные связи.

 

 

Вторичная структура наиболее распространённой В - формы ДНК представляет собой правозакрученную двойную спираль, в одном витке которой уложено 10 пар нуклеотидов. Шаг спирали равен 3,4 нм. В фагах присутствует Z форма (зигзагообразная) и кольцевая форма ДНК.

Для ДНК характерна более компактная укладка в виде суперспирали. ДНК формирует надмолекулярную структуру, объединяясь с ядерными белками и формируя полинуклеосомы.

ДНК образует вязкие водные растворы с двойным лучепреломлением, поглощающие УФЛ в интервале 260-280 нм. Под действием концентрированных растворов кислот, мочевины, физических факторов возможна денатурация ДНК, при которой происходит разрыв водородных связей и расхождение цепей молекулы ДНК. Денатурация может носить обратимый характер и переходить в ренативацию – восстановление водородных связей и структуры ДНК после удаления денатурирующего фактора. При ренативации возможно явление гибридизации – объединение комплементарных цепей ДНК из разных организмов. Возможна гибридизация нитей ДНК с РНК.

 




Поделиться с друзьями:


Дата добавления: 2014-10-31; Просмотров: 318; Нарушение авторских прав?; Мы поможем в написании вашей работы!


Нам важно ваше мнение! Был ли полезен опубликованный материал? Да | Нет



studopedia.su - Студопедия (2013 - 2026) год. Все материалы представленные на сайте исключительно с целью ознакомления читателями и не преследуют коммерческих целей или нарушение авторских прав! Последнее добавление




Генерация страницы за: 0.009 сек.