Студопедия

КАТЕГОРИИ:


Архитектура-(3434)Астрономия-(809)Биология-(7483)Биотехнологии-(1457)Военное дело-(14632)Высокие технологии-(1363)География-(913)Геология-(1438)Государство-(451)Демография-(1065)Дом-(47672)Журналистика и СМИ-(912)Изобретательство-(14524)Иностранные языки-(4268)Информатика-(17799)Искусство-(1338)История-(13644)Компьютеры-(11121)Косметика-(55)Кулинария-(373)Культура-(8427)Лингвистика-(374)Литература-(1642)Маркетинг-(23702)Математика-(16968)Машиностроение-(1700)Медицина-(12668)Менеджмент-(24684)Механика-(15423)Науковедение-(506)Образование-(11852)Охрана труда-(3308)Педагогика-(5571)Полиграфия-(1312)Политика-(7869)Право-(5454)Приборостроение-(1369)Программирование-(2801)Производство-(97182)Промышленность-(8706)Психология-(18388)Религия-(3217)Связь-(10668)Сельское хозяйство-(299)Социология-(6455)Спорт-(42831)Строительство-(4793)Торговля-(5050)Транспорт-(2929)Туризм-(1568)Физика-(3942)Философия-(17015)Финансы-(26596)Химия-(22929)Экология-(12095)Экономика-(9961)Электроника-(8441)Электротехника-(4623)Энергетика-(12629)Юриспруденция-(1492)Ядерная техника-(1748)

ЛЕКЦИЯ 12 2 страница




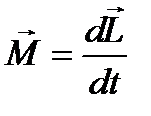
Ви(12)т● T=

Ву(1)ф●

Ву(1)ф●
Ву(1)ф●

Га(0)т●

Га(0)т● x

Га(1)ө●

Га(2)т●

Га(6)ө●

Га(6)т●

Га(7)ж● ng w:val="KZ"/></w:rPr><m:t>П†</m:t></m:r></m:e><m:sub><m:r><w:rPr><w:rFonts w:ascii="Cambria Math" w:h-ansi="Cambria Math"/><wx:font wx:val="Cambria Math"/><w:i/><w:sz w:val="28"/><w:sz-cs w:val="28"/><w:lang w:val="KZ"/></w:rPr><m:t>0</m:t></m:r></m:sub></m:sSub></m:e></m:d></m:e></m:func></m:oMath></m:oMathPara></w:p><w:sectPr wsp:rsidR="00000000"><w:pgSz w:w="12240" w:h="15840"/><w:pgMar w:top="1134" w:right="850" w:bottom="1134" w:left="1701" w:header="720" w:footer="720" w:gutter="0"/><w:cols w:space="720"/></w:sectPr></w:body></w:wordDocument>">

Ге(1)қ●

Да(1)т●

Де(1)ф● =

Де(1)ф● λ

Де(2)п●

Де(2)п●

Де(2)п●

Дж(1)з●

Дж(1)з●

Дж(1)з● dQ=IUdt● dQ= dt● dQ= dt

Дж(3)б● Атомның көлемінде оң заряд үлестірілген● Атомның оң зарядты көлемі ішінде электрондар орналасқан

Дж(3)т● ● g w:val="EN-US"/></w:rPr><m:t>E</m:t></m:r></m:e><m:sup><m:r><w:rPr><w:rFonts w:ascii="Cambria Math" w:h-ansi="Cambria Math"/><wx:font wx:val="Cambria Math"/><w:i/><w:sz w:val="24"/><w:sz-cs w:val="24"/><w:lang w:val="EN-US"/></w:rPr><m:t>2</m:t></m:r></m:sup></m:sSup></m:oMath></m:oMathPara></w:p><w:sectPr wsp:rsidR="00000000"><w:pgSz w:w="12240" w:h="15840"/><w:pgMar w:top="1134" w:right="850" w:bottom="1134" w:left="1701" w:header="720" w:footer="720" w:gutter="0"/><w:cols w:space="720"/></w:sectPr></wx:sect></w:body></w:wordDocument>">

Дж(3)т● w=rj 2w=jE

Ди(0)к● F=6πη rv

Ди(0)к● Бағыты қозғалыс бағытына қарама-қарсы күш● Жұмысы бір жағдайдан екіншіге өту жолына тәуелді күш.

Ди(0)т● Полярсыз молекулалары бар диэлектриктер● Полярлы молекулалары бар диэлектриктер● Молекулаларының иондық құрылымы бар диэлектриктер

Ди(1)т● Электронды немесе деформациялық поляризация● Бағдарланған және дипольдік поляризация

Ди(2)б● Ионды● Полярлы емес молекулалы● Полярлы молекулалы

Ди(2)б● полярлы молекулалы● полярлы емес молекулалы

Ди(3)к●

Ди(3)к●

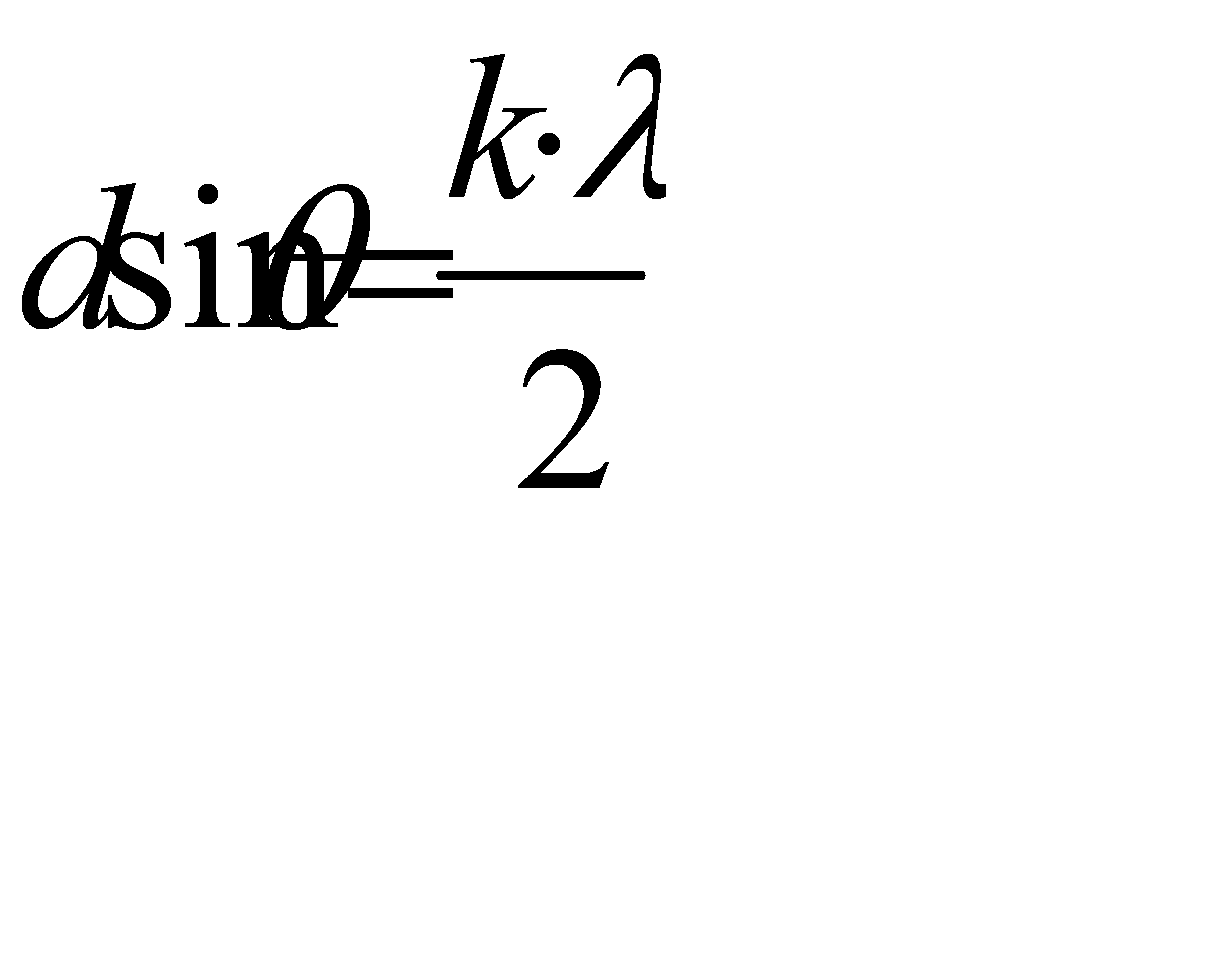
Ди(3)ш●

Ди(3)ш● d

Ди(3)ш● dsin

Ег(20)ұ●

Ег(20)э●

Ек(13)о●

Ек(13)о●

Ек(2)и● Ер(2)т●

Жа(1)с●

Жа(1)с●

Жа(1)ш●

Жа(1)э●

Жа(1)э●

Жа(2)к●

Жа(2)ф●

Жа(5)т●

Жа(5)т●

Жа(5)т●

Жұ(3)б● [A] = Дж; [N] = Вт● [A] = H*м; [N] = H*м/с

Жұ(3)б● [A] =кг м22; [N] = кг м23● [A] =Дж; [N] = Вт

Жұ(3)б● [A]= Дж; [N]=Вт● [A]= кг×м22; [N]= кг×м23● [A]= Н×м; [N]= Н×м/с

Жұ(4)а●

 

Жұ(4)а● =2 dn cos r

Жы(3)б●

Жы(3)б● [u] = м/с; [a] = м/с2● [u] = км/с; [a] = км/с2● [u] = м/мин; [a] = м/мин2

 

Жы(3)б● м/мин; м/мин2 м/с; м/с2

За(1)т● Электрондар● Иондар мен электрондар

За(1)э●

За(5)ж●

За(7)ж●

За(7)ж●

Ид(2)т●

 

Ид(3)п.ә.к●

Ид(4)ф● p= ● V=

Ид(5)з●

Ид(5)з●

Ид(5)т●

Ид(5)т●

Ид(9)э●

Ид(9)э●

Из(0)ө● PV=const

Изоб(0)п● m=const; P=const●

Изоб(6)ж●

Изот(0)п● m=const; T=const● PV=const●

Изот(3)ф

Изот(4)б●

Изот(4)б●

Изот(4)к●

Изот(6)ж●

Изот(6)ж

Изох(0)п● m=const; V=const●

Изох(4)б●

Изох(4)б●

Изохо(4)б●

Им(1)з● уақыттың біртектілігі● Кеңістіктің біртектілігі

Им(2)з● Кеңістік қасиеттерінің барлық нүктелерде бірдейлілігі● Кеңістіктің біртектілігі● Кеңістік қасиеттерінің нүктелерде бірдейлілігі

Им(2)ө●

Им(2)ө●

Им(2)ө●

Ин(1)ж● Бұл жүйеде кез келген дене тыныштық күйін немесе бірқалыпты түзу сызықты қозғалысын сыртқы денелердің әсері бұл күйді өзгерткенге дейін сақтайды● қарастырылған жүйеге салыстырғанда дене тыныштықта тұрса, не үдемелі қозғалыста болса● Инерция заңы және басқа да Ньютон заңдары орындалатын жүйе

Ин(1)ж● Бұл жүйеде кез келген дене тыныштық күйін немесе бірқалыпты түзу сызықты қозғалысын сыртқы денелердің әсері бұл күйді өзгерткенге дейін сақтайды

Ин(1)ж● Инерция заңы және басқа да Ньютон заңдары орындалатын жүйе

Ин(1)к●

Ин(1)ш● минимум

 

Ин(1)ш● максимум

Ин(1)ш● минимум

Ин(1)ш● максимум

Ин(6)ЭҚК●

Ин(6)ЭҚК●

Ке(3)б●

Ке(3)б●

Ке(3)б

Ке(5)э●

Ки(0)е●

Ки(0)э● Әртүрлі санақ жүйелерінде бірдей емес● Жүйе күйінің функциясы● Шамасы жағынан бірлік уақыт ішінде жасалған жұмысқа тең

Ки(0)э● Дене қозғалыс жылдамдығының функциясы● Жүйе күйінің функциясы

Ки(0)э● Жүйе күйінің функциясы

Ки(7) т●

Ки(7)т●

Ки(8)т●

Ко(0)к● Жұмысы жүрген жолға тәуелді емес, тек дененің бастапқы және соңғы орындары арқылы анықталатын күштер● Механикалық энергиясы тұрақты болатын жүйеде әсер ететін күштер

Ко(0)к ● Жұмысы жүрген жолға тәуелді емес, тек дененің бастапқы және соңғы орындары арқылы анықталатын күштер● Дененің тұйықталған траекториясы үшін жұмысы нольге тең күштер● Механикалық энергиясы тұрақты болатын жүйеде әсер ететін күштер

Ко(0)к● Жұмысы жүрген жолға тәуелді емес, тек дененің соңғы орнымен анықталатын күштер

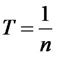
Ко(0)с●

Ко(10)т●

Ко(10)т●

Ко(10)т● λ=

Ко(2)ө● =2

Ко(2)ө● sin2

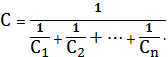
Ко(3)с●

Ко(3)с●

Ко(3)с● C=

Ко(4)қ● Сыртқы фотоэффект● Ішкі фотоэффект

Ко(4)т●

Ко(5)т● LC

Ко(6)т●

Ко(6)т●

Ко(7)а●

Ко(7)а●

Ко(7)а●

Кө(11)т● Бірмәнділік● Шектілік

Кө(11)т● Шектілік● Үздіксіздік● Бірмәнділік

Кө(4)т● Әрбір зат үшін фотоэффекттің қызыл шекарасы, яғни сыртқы фотоэффект мүмкін болатын ең кіші ϑmin жиілік мәні анықталады

Кө(4)т● Катодтан 1с ішінде жарықпен жұлып алынатын фотоэлектрондардың саны жарық интенсивтілігіне пропорционал● Әрбір зат үшін фотоэффектінің қызыл шекарасы, сыртқы фотоэффекті мүмкін болатын ең кіші жиілік n тіп мәні анықталады

Кө(9)ш● Шектілік● Үздіксіздік● Бірмәнділік

Ку(0)з●

Ку(0)з●

Кү(0)м●

Кү(2)б● ● Н×м

 

Кү(2)б● ● Вт×с

Күш ● Денеге баска денелер немесе өрістер тарапынан болатын механикалық әсердің өлшемі болып табылады● Күштің әсерінен дене үдемелі қозғалысқа енеді немесе өлшемдері мен пішінін өзгертеді

Күш● Денеге басқа денелер немесе өрістер тарапынан болатын механикалық әсердің өлшемі болып табылады● Дене қозғалыс жылдамдығының функциясы болып табылады




Поделиться с друзьями:


Дата добавления: 2014-11-08; Просмотров: 569; Нарушение авторских прав?; Мы поможем в написании вашей работы!


Нам важно ваше мнение! Был ли полезен опубликованный материал? Да | Нет



studopedia.su - Студопедия (2013 - 2026) год. Все материалы представленные на сайте исключительно с целью ознакомления читателями и не преследуют коммерческих целей или нарушение авторских прав! Последнее добавление




Генерация страницы за: 0.012 сек.