Студопедия

КАТЕГОРИИ:


Архитектура-(3434)Астрономия-(809)Биология-(7483)Биотехнологии-(1457)Военное дело-(14632)Высокие технологии-(1363)География-(913)Геология-(1438)Государство-(451)Демография-(1065)Дом-(47672)Журналистика и СМИ-(912)Изобретательство-(14524)Иностранные языки-(4268)Информатика-(17799)Искусство-(1338)История-(13644)Компьютеры-(11121)Косметика-(55)Кулинария-(373)Культура-(8427)Лингвистика-(374)Литература-(1642)Маркетинг-(23702)Математика-(16968)Машиностроение-(1700)Медицина-(12668)Менеджмент-(24684)Механика-(15423)Науковедение-(506)Образование-(11852)Охрана труда-(3308)Педагогика-(5571)Полиграфия-(1312)Политика-(7869)Право-(5454)Приборостроение-(1369)Программирование-(2801)Производство-(97182)Промышленность-(8706)Психология-(18388)Религия-(3217)Связь-(10668)Сельское хозяйство-(299)Социология-(6455)Спорт-(42831)Строительство-(4793)Торговля-(5050)Транспорт-(2929)Туризм-(1568)Физика-(3942)Философия-(17015)Финансы-(26596)Химия-(22929)Экология-(12095)Экономика-(9961)Электроника-(8441)Электротехника-(4623)Энергетика-(12629)Юриспруденция-(1492)Ядерная техника-(1748)

ЛЕКЦИЯ 12 10 страница




Бірқалыпты айналмалы қозғалыс кезіндегі бұрыштық жылдамдық:? **

Бірқалыпты айнымалы қозғалыс кезіндегі бұрыштық жылдамдығы: **** ** **

Бірқалыпты өзгермелі қозғалыс кезіндегі нүкте жолының ұзындығы:?** S= **S= **S= t+

Бірқалыпты өзгермелі қозғалыс кезіндегі, нүкте жолының ұзындығы:?* * **

Бірқалыпты өзгермелі қозғалыс кезіндегі, нүкте жолының ұзындығы:? ** **

Бірқалыпты өзгермелі қозғалыс кезіндегі,нүкте жолының ұзындығы**

Бірлік оң таңбалы зарядты орын ауыстырғанда бөгде күштердің жасайтын жұмысымен анықталатын физикалық шама:? электр қозғаушы күш** **

Бірлік өлшемі Джоуль болып табылатын шамалар:? **Ауырлық күшінің потенциалдық энергиясы

Бірлік өлшемі Джоуль болып табылатын шамалар:? **Ауырлық күшінің потенциалдық энергиясы**Қозғалыстағы дененің кинетикалық энергиясы**Серпімділік күшінің потенциалдық энергиясы

Бірлік өлшемі Джоуль болып табылатын шамалар:?** Ауырлық күшінің потенциалдық энергиясы**Қозғалыстағы дененің кинетикалық энергиясы**Cерпімділік күшінің потенциалдық энергиясы

Бірөалыпты өзгермелі қозғалыс кезіндегі, нүкте жолының ұзындығы: ** S= ** S= ** S= t+

Біртекті изотопты орта үшін магниттік индукция векторы мен кернеулік векторлары келесі қатынаспен байланысқан: ** ** **

Біртекті изотопты ортада()таратылатын жазық электромагниттік толқынның фазалық жылдамдығын анықтау керек:?** 21 **2,1

Біртекті изотропты ортада ( =2, таралатын жазық электромагниттік толқынның фазалық жылдамдығын анықтау керек:? **2,1 ** 108 м/с** B) 2,1 ** 105 км/с

Біртекті магнит өрісінде орналасқан ұзындығы 0,5 м, индукциясы 0,4 Тл өткізгішке 0,2 Н күш әсер етеді. Өткізгіш магнит индукциясы сызықтарына 300 бұрыш жасай орналасқан. Өткізгіштегі ток күші:? 2000 мА**2 А

Біртекті магнит өрісінде орналасқан ток күші 1,5 А, индукциясы 4 Тл өткізгішке 10 Н күш әсер етеді. Өткізгіш магнит индукциясы сызықтарына бұрышпен орналасқан. Өткізгіштің актив бөлігінің ұзындығы:? 2,38 м**238 см**2380 мм

Біртекті магнит өрісінде орналасқан ұзындығы 0,5 м, индукциясы 0,4 Тл өткізгішке 0,2 Н күш әсер етеді. Магнит индукциясы сызықтарына 300 бұрыш жасай орналасқан өткізгішке әсер ететін ток күші:? 2 А**0,002 кА**2000 мА

Біртекті магнит өрісінде орналасқан ұзындығы 0,5 м, индукциясы 0,4 Тл өткізгішке 0,2 Н күш әсер етеді. Өткізгіш магнит индукциясы сызықтарына 300 бұрыш жасай орналасқан. Өткізгіштегі ток күші:? **0,002 кА**2000 мА

Біртекті магнит өрісінде орналасқан ұзындығы 0,5м, индукциясы 0,4 Тл өткізгішке 0,2 Н күш әсер етеді. Өткізгіш магнит индукциясы сызықтарына 30° бұрыш жасай орналасқан. Өткізгіштегі ток күші:? **0,002 кА**2000 мА**2 А
Гармоникалық тербелмелі қозғалыс заңдылығымен өтеді. Осы қозғалыстың жылдамдығы:? **
Нүкте заңдылығымен гармониялық тербелістер жасайды. Максимал жылдамдық:? ** **
Электромагнитті толқынның дифференциалдық теңдеуі:? **

Біртекті сызықты өткізгіштің электр кедергісі келесідей параметрлермен анықталады:? температурасы мен ұзындығы**көлденең қимасының ауданы**өткізгіштің материалы

Біруінде ток күшін өзгерткенде екіншісінде э.қ.к –нің пайда болу құбылысы:? өзараиндукция** **трансформатордың жұмысы негізінде

Бірінші ретті спектрдегі λ үшін берілген дифракциялық тордың бұрыштық дисперсиясын анықтау керек. Тордың тұрақтысы 2,5 см-ге тең.? 4,1 рад/м**4,1 рад/мм**4,1 рад/см

Вакуумдағы электр өрісін есептеуге Гаусс теоремасын қолдану:?

Вакуумдағы электростатикалық өріс үшін Гаусс теоремасы: ** ** **

Вакуумдағы электростатикалық өріс үшін Гаусс теоремасы:?* * **

Вин заңы бойынша функциясының максимумына сәйкес келетін толқын ұзындығының температурадан T тәуелділігі: ** **T = s w:ascii="Cambria Math" w:h-ansi="Cambria Math"/><wx:font wx:val="Cambria Math"/><w:b/><w:i/><w:sz w:val="28"/><w:sz-cs w:val="28"/><w:lang w:val="KZ"/></w:rPr><m:t>max </m:t></m:r></m:sub></m:sSub></m:den></m:f></m:oMath></m:oMathPara></w:p><w:sectPr wsp:rsidR="00000000"><w:pgSz w:w="12240" w:h="15840"/><w:pgMar w:top="1134" w:right="850" w:bottom="1134" w:left="1701" w:header="720" w:footer="720" w:gutter="0"/><w:cols w:space="720"/></w:sectPr></wx:sect></w:body></w:wordDocument>"> **

Вин заңы бойынша функциясының максимумына сәйкес келетін толқын ұзындығының Т температурадан тәуелділігі:? **

Вин заңы бойынша функциясының максимумына сәйкес келетін 𝛌max толқын ұзындығының Т температура тәуелділігі:? **

Вин заңы бойынша r l,T функциясының максимумына сәйкес келетін l тах толқын ұзындығының Т температурадан тәуелділігі:? **l тахT=b**

Вин заңы бойынша функциясының максимуна сәикес келетін толқын ұзындығының Т температурадан тәуелділігі:?** T= **

Вин заңын көрсетiңдер.? ** **

Виннiң ығысу заңының өрнегi:? ** болғанда, **

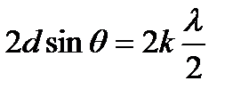
Вульт-Брэгг формуласы:? ** **
Атом энергиясын анықтайтын өрнек:? **

Вульф- Брэгг формуласы:? **

Вульф-Брэгг формуласы:?

Вульф-Брэгг формуласы:? ** ** ; (k=1,2,3,.....)

Газ молекулаларының орташа квадраттық жылдамдығының ең ықтимал жылдамдыққа қатынасы неге тең:? **1,51/2**1,2

Газ тығыздығының өрнектелінуі:? **

Газдардың диффузиясын сипаттайтын теңдеу:? ** **

Газдың берілген массасындағы мольдер санын табуға арналған өрнек:?

Газдың кез-келген мөлшері үшін Менделеев-Клапейрон тендеуі** ** **

Газдың кез-келген мөлшері үшін Менделеев-Клапейрон теңдеуі:? ** ** **

Галилей түрлендіруі: ** x=x'+uxt **y=y'+uyt **z'+uzt

Галилей түрлендіруі:? ** **g w:val="KZ"/></w:rPr><m:t>+5</m:t></m:r></m:oMath></m:oMathPara></w:p><w:sectPr wsp:rsidR="00000000"><w:pgSz w:w="12240" w:h="15840"/><w:pgMar w:top="1134" w:right="850" w:bottom="1134" w:left="1701" w:header="720" w:footer="720" w:gutter="0"/><w:cols w:space="720"/></w:sectPr></wx:sect></w:body></w:wordDocument>">

Гамма-сәулелену:? γ -сәулелену қатқыл электромагниттік сәулеленуге жатады.**γ-сәулені аналық ядро емес, туынды ядро шығарады.**γ-квантының тыныштық массасы нольге жуық.

Гармоникалық тербелмелі қозғалыс заңдылығымен өтеді. Осы қозғалыстың жылдамдығы:?

Гармониялық осцилляторға мысал бола алады? Математикалық маятниктің тербелісі**Физикалық маятниктің тербелісі**Серіппелі маятниктің тербелісі

Гармониялық тербелістердің дифференциалдық теңдеуі:? **

Гармониялық тербелістердің дифференциалдық теңдеуі:? ** **

Гармониялық тербілестердің дифференциалдық теңдеуі:?* * **

Гейзенбергтің анықталмағандылық қатынасы:? ** ** **

Гейзенбергтің анықталмаушылық принципі:? Микробөлшек бір мезгілде анықталынған координатаға (х,у,z) және сәйкес анықталынған импульс проекциясына х, ру, рz) ие болуы мүмкін емес.**Координаталар мен импульс проекцияларының анықталмаушылықтарының көбейтіндісі h шамасынан кіші болуы мүмкін емес.**Орташа өмір сүру уақыты жүйе, энергиясы анықталған мәнмен сипатталуы мүмкін емес.

Геометриялық оптиканың негізі заңдары:? Жарық шоғының тәуелсіздік заңы.**Шағылу заңы.**Сыну заңы.

Герц вибраторының толқын ұзындығы 5 мм. Вибратор шығаратын электромагниттік толқынның ұзындығы:? **5 мм**0,5 см

Голография:? Интерференциялық көріністі тіркеуге негізделген, толқындық өрісті қалпына келтірудің және жазудың ерекше әдісі.**Денеден шағылған жарық толқынының структурасын фотопастинкаға түсiрудiң ерекше әдісі.**Ақпараттарды жазу және сақтау әдісі.

Горизонталь орналасқан жазық конденсатор пластиналарының арасында заряды 9,8·10-18 Кл зарядталған бөлшек тепе-теңдікте тұр. Конденсатордың өріс кернеулігі 2·10-4В/м. Бөлшек массасы:? **+2·10-22 кг**+2·10 -19 г

Горизонталь жазықтықтың бетімен сырғанамай дөңгелеп келе жатқан массасы 2 кг дискінің жылдамдығы 4м/сек. Дискінің кинетикалық энергиясын табу керек.? 24 Дж** **

Гормониялық тербеліс теңдеуі: ** S = Acos( ) **S=Asin( **S=Acos

Дальтон заңының теңдеуі:?

Дальтон заңының теңдеуі:? ** **

Де Бройль тұжырымдамасы:? Фотондар ғана емес электрондар және материяның кез-келген басқа бөлшектерi корпускулалықпен бiрге толқындық қасиетке ие болады.**Корпускулалық- толқындық екіжақтылықтың әмбебаптығы.**Кез келген нысанға энергиясы Е және импулсі р -корпускулалық қасиеттер, сонымен қатар жиілігі және толқын ұзындығы толқындық қасиеттер тән.

Де- Бройль формуласы:? ** **

Де-Бройль формуласы:? ** λ **

Де-Бройль формуласы:?* * ** =

Дене 0,05 м/с² үдеумен кездегі күші 1000Н-ға тең. Дененің массасын анықтаңыз:? 20 т**20×103кг**2×104кг

Дене бірқалыпты үдемелі u - бастапқы жылдамдығымен қозғалады. Егер дене t=2c ішінде s=16м жол жүрсе және оның жылдамдығы u=3u болса, онда оның үдеуін анықтаңыз.? 4 м/с **4×10-3 км/с **4×103 мм/с

Дене жинағыш линзаның алдыңғы фокусынан 0,1 м қашықтықта орналасқан. Ал экран линзаның артқы фокусынан 40 см қашықтықта тұр. Линзаның оптикалық күші:? **

Денелердің экваторда салмағы болмауы үшін, Жердегі (Жер радиусы R3=6,38·106 м) тәуліктің ұзақтығы: ** **5067,07 c **84,451 мин

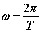
Дененің бірқалыпты айналу периоды ** T=

Дененің бір нүктесіне F1 = 3 H және F2 = 4 H екі күш түсірілген. Егер 1 және 2 векторларының арасындағы бұрышы тең болса, онда осы күштердің тең әсерлісінің модулі: ** 5 H ** ** H

Дененің бір нүктесіне Ғ1=13Н және Ғ2=4Н екі күш түсірілген. Егeр

Дененің бірқалыпты айналу периоды: ** T = ** T = ** T =

Дененің бірқалыпты айналу периоды:? ** **

Дененің бірқалыпты айналу периоды:? **

Дененің бірқалыпты айналу периоды:? ** ** **

Дененің жүрген жолының уақытқа тәуелділігі теңдеуі арқылы берілген, м/с, м/с2, м/с3. Қозғалыс басынан 2с уақыт өткеннен кейінгі дененің жүріп өткен жолын табу керек.? м**S=24×103мм**S=24×10-3км

Дененің кинетикалық энергиясы 100 Дж және импульсі 40 кг-м/с. Дененің массасы неге тең? 8кг**8×103г**0,08×102кг.

Дж.Томсон атом моделі бойынша:?** Атомның көлемінде оң заряд үлестірілген**Атомның оң зарядты көлемі ішінде электрондар орналасқан

Джоуль- Ленц заңының дифференциалдық түрі** 𝒘= .




Поделиться с друзьями:


Дата добавления: 2014-11-08; Просмотров: 3688; Нарушение авторских прав?; Мы поможем в написании вашей работы!


Нам важно ваше мнение! Был ли полезен опубликованный материал? Да | Нет



studopedia.su - Студопедия (2013 - 2026) год. Все материалы представленные на сайте исключительно с целью ознакомления читателями и не преследуют коммерческих целей или нарушение авторских прав! Последнее добавление




Генерация страницы за: 0.008 сек.