Студопедия

КАТЕГОРИИ:


Архитектура-(3434)Астрономия-(809)Биология-(7483)Биотехнологии-(1457)Военное дело-(14632)Высокие технологии-(1363)География-(913)Геология-(1438)Государство-(451)Демография-(1065)Дом-(47672)Журналистика и СМИ-(912)Изобретательство-(14524)Иностранные языки-(4268)Информатика-(17799)Искусство-(1338)История-(13644)Компьютеры-(11121)Косметика-(55)Кулинария-(373)Культура-(8427)Лингвистика-(374)Литература-(1642)Маркетинг-(23702)Математика-(16968)Машиностроение-(1700)Медицина-(12668)Менеджмент-(24684)Механика-(15423)Науковедение-(506)Образование-(11852)Охрана труда-(3308)Педагогика-(5571)Полиграфия-(1312)Политика-(7869)Право-(5454)Приборостроение-(1369)Программирование-(2801)Производство-(97182)Промышленность-(8706)Психология-(18388)Религия-(3217)Связь-(10668)Сельское хозяйство-(299)Социология-(6455)Спорт-(42831)Строительство-(4793)Торговля-(5050)Транспорт-(2929)Туризм-(1568)Физика-(3942)Философия-(17015)Финансы-(26596)Химия-(22929)Экология-(12095)Экономика-(9961)Электроника-(8441)Электротехника-(4623)Энергетика-(12629)Юриспруденция-(1492)Ядерная техника-(1748)

Биномиальный коэффициент




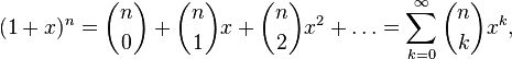
В математике биномиальные коэффициенты — это коэффициенты в разложениибинома Ньютона по степеням x. Коэффициент при обозначается или и читается «биномиальный коэффициент из n по k» (или «це из n по k»):

причём n здесь может быть как целым, так и произвольным действительным числом.

В комбинаторике биномиальный коэффициент для неотрицательных целых чисел n и k интерпретируется как количество сочетаний из n по k, то есть количество всех подмножеств (выборок) размера k в n -элементном множестве.

Билет20
1)

Определение. Функция, заданная формулой у=ах (гдеа>0, а≠1), называется показательной функцией с основанием а.

Сформулируем основные свойства показательной функции (их доказательство выходит за рамки школьного курса).

1. Область определения — множество R действительных чисел.

2. Область значений — множество R+ всех положительныхдействительных чисел.

3. При а > 1 функция возрастает на всей числовой прямой; при 0<а<1 функция убывает на множестве R.

 


 

Графики показательных функций для случаев а>\ и 0<1<1 изображены на рисунках 1-2.

4. При любых действительных значениях х и у справедливы равенства


аxаy = аx+y;

 


(ab)x = axbx;

 


(ax)y = аxy.

 

Эти формулы называют основными свойствами степеней.

Свойства 3 и 4 означают, что для функции у = аx, определенной на всей числовой прямой, остаются верными свойства функции y = аx, которая сначала была определена только для рациональных х.

 

 

 




Поделиться с друзьями:


Дата добавления: 2014-11-25; Просмотров: 498; Нарушение авторских прав?; Мы поможем в написании вашей работы!


Нам важно ваше мнение! Был ли полезен опубликованный материал? Да | Нет



studopedia.su - Студопедия (2013 - 2026) год. Все материалы представленные на сайте исключительно с целью ознакомления читателями и не преследуют коммерческих целей или нарушение авторских прав! Последнее добавление




Генерация страницы за: 0.009 сек.