Студопедия

КАТЕГОРИИ:


Архитектура-(3434)Астрономия-(809)Биология-(7483)Биотехнологии-(1457)Военное дело-(14632)Высокие технологии-(1363)География-(913)Геология-(1438)Государство-(451)Демография-(1065)Дом-(47672)Журналистика и СМИ-(912)Изобретательство-(14524)Иностранные языки-(4268)Информатика-(17799)Искусство-(1338)История-(13644)Компьютеры-(11121)Косметика-(55)Кулинария-(373)Культура-(8427)Лингвистика-(374)Литература-(1642)Маркетинг-(23702)Математика-(16968)Машиностроение-(1700)Медицина-(12668)Менеджмент-(24684)Механика-(15423)Науковедение-(506)Образование-(11852)Охрана труда-(3308)Педагогика-(5571)Полиграфия-(1312)Политика-(7869)Право-(5454)Приборостроение-(1369)Программирование-(2801)Производство-(97182)Промышленность-(8706)Психология-(18388)Религия-(3217)Связь-(10668)Сельское хозяйство-(299)Социология-(6455)Спорт-(42831)Строительство-(4793)Торговля-(5050)Транспорт-(2929)Туризм-(1568)Физика-(3942)Философия-(17015)Финансы-(26596)Химия-(22929)Экология-(12095)Экономика-(9961)Электроника-(8441)Электротехника-(4623)Энергетика-(12629)Юриспруденция-(1492)Ядерная техника-(1748)

Определение числа каскадов




 

Для определенная числа каскадов УПЧ необходимо иметь коэффициент передачи входной цепи, УРЧ (если он имеется), преобразователя частоты, одного каскада УПЧ. Общий коэффициент усиления рассчитывается по формуле:

(6.21)

- коэффициент передачи входной цепи;

- коэффициент усиления УРЧ;

- коэффициент усиления преобразователя частоты;

- коэффициент усиления одного каскада УПЧ;

n - число каскадов УПЧ.

Коэффициентом передачи входной цепи можно задаться: для диапазона ДВ =0,5-1, СВ =1-2, КВ =2-3

Коэффициент усиления УРЧ с учетом частичного включения конту­ра можно принять равным Курч =5-10.

Коэффициент усиления преобразователя частоты, нагруженного на фильтр сосредоточенной селекции (ФСС), находи и по формуле:

(6.22)

где =0.6-0.8 - коэффициент включения контуре ФСС в цепь коллектора транзистора.

=0,1-0,2 - коэффициент включения контура ФСС в цепь базы первого каскада УПЧ;

=0.2-0.25 – коэффициент передачи фильтра;

-крутизна транзистора в режиме преобразования частоты, мСм/мА/В;

R=10-15 кОм – резонансное сопротивление контура ФСС.

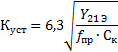
Находим значение устойчивого коэффициента усиления УПЧ и принимаем

(6.23)

где - крутизна характеристики транзистора MСм/мА//В;

– промежуточная частота приемника, МГц;

- промежуточная емкость транзистора (из справочника), пф.

Находим необходимое количество каскадов УПЧ:

(6.24)

 




Поделиться с друзьями:


Дата добавления: 2014-11-26; Просмотров: 1496; Нарушение авторских прав?; Мы поможем в написании вашей работы!


Нам важно ваше мнение! Был ли полезен опубликованный материал? Да | Нет



studopedia.su - Студопедия (2013 - 2025) год. Все материалы представленные на сайте исключительно с целью ознакомления читателями и не преследуют коммерческих целей или нарушение авторских прав! Последнее добавление




Генерация страницы за: 0.01 сек.