Студопедия

КАТЕГОРИИ:


Архитектура-(3434)Астрономия-(809)Биология-(7483)Биотехнологии-(1457)Военное дело-(14632)Высокие технологии-(1363)География-(913)Геология-(1438)Государство-(451)Демография-(1065)Дом-(47672)Журналистика и СМИ-(912)Изобретательство-(14524)Иностранные языки-(4268)Информатика-(17799)Искусство-(1338)История-(13644)Компьютеры-(11121)Косметика-(55)Кулинария-(373)Культура-(8427)Лингвистика-(374)Литература-(1642)Маркетинг-(23702)Математика-(16968)Машиностроение-(1700)Медицина-(12668)Менеджмент-(24684)Механика-(15423)Науковедение-(506)Образование-(11852)Охрана труда-(3308)Педагогика-(5571)Полиграфия-(1312)Политика-(7869)Право-(5454)Приборостроение-(1369)Программирование-(2801)Производство-(97182)Промышленность-(8706)Психология-(18388)Религия-(3217)Связь-(10668)Сельское хозяйство-(299)Социология-(6455)Спорт-(42831)Строительство-(4793)Торговля-(5050)Транспорт-(2929)Туризм-(1568)Физика-(3942)Философия-(17015)Финансы-(26596)Химия-(22929)Экология-(12095)Экономика-(9961)Электроника-(8441)Электротехника-(4623)Энергетика-(12629)Юриспруденция-(1492)Ядерная техника-(1748)

Отношение синуса угла падения к синусу угла преломления постоянно и равно относительному показателю преломления двух сред




Когда свет достигает поверхности раздела двух прозрачных сред, часть его отражается, а остальная проходит сквозь границу. Преломлением света называют изменение направления распространения света при его прохождении через границу раздела двух сред. Преломлением света объясняют, например, то, что карандаш, опущенный наклонно в стакан с водой, кажется нам сломленным, а его нижняя часть сдвинутой (см. рис. 19а).

Преломление света связано с тем, что в разных средах свет распространяется с различной скоростью. Найдём, как изменяется направление распространения света, используя принцип Гюйгенса. Пусть на плоскую границу Z0Z раздела двух сред (1 и 2) падает плоская световая волна, содержащая два параллельных луча А0А и В0В, а её волновая поверхность AL соответствует моменту падения луча А0А на эту границу (рис. 19б).

Чтобы найти волновую поверхность световой волны прошедшей из среды 1 в среду 2 (преломлённой волны), определим огибающую вторичных волн в среде 2, возникающих в местах падения лучей на поверхность Z0Z. Так как AL – перпендикуляр к В0В, то, как следует из рис. 19б, вторичная волна в точке А возникнет раньше, чем в точке В на интервал времени

где с1 – скорость света в среде 1. Поэтому в момент, когда луч В0В, достигнув поверхности Z0Z, вызовет в среде 2 свою вторичную волну, вторичная волна с центром в точке А достигнет точки К, а её радиус станет равным

де с2 – скорость света в среде 2. Проведя подобные построения для двух промежуточных лучей световой волны, находящихся между А0А и В0В, легко построить полуокружности, соответствующие волновым поверхностям этих вторичных волн в тот же момент времени (см. пунктирные прямые и полуокружности на рис. 19б). Согласно принципу Гюйгенса касательная KB к волновым поверхностям этих вторичных волн будет волновой поверхностью преломлённой световой волны.

Угол b между преломлённым лучом АА1 и перпендикуляром к Z0Z, называют углом преломления. Из рис. 19б следует, что

где с2 – скорость света в среде 2. Проведя подобные построения для двух промежуточных лучей световой волны, находящихся между А0А и В0В, легко построить полуокружности, соответствующие волновым поверхностям этих вторичных волн в тот же момент времени (см. пунктирные прямые и полуокружности на рис. 19б). Согласно принципу Гюйгенса касательная KB к волновым поверхностям этих вторичных волн будет волновой поверхностью преломлённой световой волны.

а значит:

где n – постоянная величина, называемая относительным показателем преломления. Таким образом, отношение синуса угла падения к синусу угла преломления равно постоянной для данных двух сред величине – относительному показателю преломления. Из построений, сделанных на рис. 19б видно, что падающий и преломлённый лучи, а также перпендикуляр, восстановленный в точке падения, лежат в одной плоскости. Два предыдущих утверждения составляют вместе закон преломления света.

Относительный показатель преломления равен отношению скорости света в среде 1 к её значению в среде 2 (см. 19.1). Если средой 1 является вакуум, то показатель преломления, вычисляемый по формуле (19.1), называют абсолютным показателем преломления среды 2, n2, который, очевидно, всегда больше 1. Из (19.1) следует, что для любых двух сред справедливо выражение:

где n1 и n2 – абсолютные показатели преломления сред 1 и 2. Среду с меньшим абсолютным показателем преломления называют менее оптически плотной.

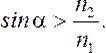
Согласно (19.1-19.2) при падении луча из менее оптически плотной среды в более плотную, например, из воздуха в воду, угол преломления всегда меньше угла падения (см. рис. 19б). Наоборот, когда луч движется из более оптически плотной среды в менее плотную, угол преломления всегда больше угла падения (рис. 19в). Но, так угол преломления не может превышать p/2, то значит при бόльших углах падения преломлённый луч будет отсутствовать. Это явление называют полным внутренним отражением и, как легко показать, оно происходит, когда

Полное внутреннее отражение происходит внутри световодов, способных передавать свет на большие расстояния.

 

Вопросы для повторения:

· Сформулируйте закон преломления света.

· Когда происходит полное внутреннее отражение света?

Рис. 19. (а) – иллюзия сломанного карандаша, опущенного в воду; (б) – к выводу закона преломления света; (в) – движение луча света из более оптически плотной среды в менее плотную.

 




Поделиться с друзьями:


Дата добавления: 2014-11-08; Просмотров: 1903; Нарушение авторских прав?; Мы поможем в написании вашей работы!


Нам важно ваше мнение! Был ли полезен опубликованный материал? Да | Нет



studopedia.su - Студопедия (2013 - 2026) год. Все материалы представленные на сайте исключительно с целью ознакомления читателями и не преследуют коммерческих целей или нарушение авторских прав! Последнее добавление




Генерация страницы за: 0.011 сек.