Студопедия

КАТЕГОРИИ:


Архитектура-(3434)Астрономия-(809)Биология-(7483)Биотехнологии-(1457)Военное дело-(14632)Высокие технологии-(1363)География-(913)Геология-(1438)Государство-(451)Демография-(1065)Дом-(47672)Журналистика и СМИ-(912)Изобретательство-(14524)Иностранные языки-(4268)Информатика-(17799)Искусство-(1338)История-(13644)Компьютеры-(11121)Косметика-(55)Кулинария-(373)Культура-(8427)Лингвистика-(374)Литература-(1642)Маркетинг-(23702)Математика-(16968)Машиностроение-(1700)Медицина-(12668)Менеджмент-(24684)Механика-(15423)Науковедение-(506)Образование-(11852)Охрана труда-(3308)Педагогика-(5571)Полиграфия-(1312)Политика-(7869)Право-(5454)Приборостроение-(1369)Программирование-(2801)Производство-(97182)Промышленность-(8706)Психология-(18388)Религия-(3217)Связь-(10668)Сельское хозяйство-(299)Социология-(6455)Спорт-(42831)Строительство-(4793)Торговля-(5050)Транспорт-(2929)Туризм-(1568)Физика-(3942)Философия-(17015)Финансы-(26596)Химия-(22929)Экология-(12095)Экономика-(9961)Электроника-(8441)Электротехника-(4623)Энергетика-(12629)Юриспруденция-(1492)Ядерная техника-(1748)

Показатели эффективности




Мера внедрения рекламного сообщения измеряется в процентах — как доля людей, запомнивших его, от общего количества респонден-тов. Этот показатель может быть также назван «известностью», а в связи с особенностями методов его измерения — «узнаваемостью».

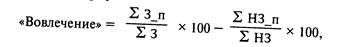
Второй классический показатель эффективности рекламного воз-действия — коэффициент «вовлечения в потребление». Эта величина связывает известность ролика и потребление рекламируемого в нем товара и определяется как разница между долей «пользующихся» то-варом среди «помнящих» его рекламу и долей «пользующихся» среди

 

 

где 3 — респонденты, запомнившие рекламу; НЗ — респонденты, не запомнившие рекламу; 3_п — респонденты, запомнившие рекламу и пользующиеся данным товаром; Н3_п — респонденты, не запомнив-шие рекламу и пользующиеся данным товаром.

Положительные значения показателя «вовлечения» свидетельствуют о том, что люди, покупающие данный продукт, с большой степенью


вероятности знакомы с его рекламой, и, следовательно, потребление товара связано с эффективностью рекламного воздействия. Снижение этого коэффициента до отрицательных значений говорит о том, что потребление товара не продиктовано рекламой и люди, покупающие продукт, с ней чаще всего не знакомы. <...>

Реклама, не имеющая потребительской ценности для зрителя как непосредственного пользователя (реклама банков, строительной тех-ники, имиджа фирмы и др.), исключается из подсчета индекса «вов-леченности». <...>




Поделиться с друзьями:


Дата добавления: 2014-11-08; Просмотров: 361; Нарушение авторских прав?; Мы поможем в написании вашей работы!


Нам важно ваше мнение! Был ли полезен опубликованный материал? Да | Нет



studopedia.su - Студопедия (2013 - 2026) год. Все материалы представленные на сайте исключительно с целью ознакомления читателями и не преследуют коммерческих целей или нарушение авторских прав! Последнее добавление




Генерация страницы за: 0.01 сек.