Студопедия

КАТЕГОРИИ:


Архитектура-(3434)Астрономия-(809)Биология-(7483)Биотехнологии-(1457)Военное дело-(14632)Высокие технологии-(1363)География-(913)Геология-(1438)Государство-(451)Демография-(1065)Дом-(47672)Журналистика и СМИ-(912)Изобретательство-(14524)Иностранные языки-(4268)Информатика-(17799)Искусство-(1338)История-(13644)Компьютеры-(11121)Косметика-(55)Кулинария-(373)Культура-(8427)Лингвистика-(374)Литература-(1642)Маркетинг-(23702)Математика-(16968)Машиностроение-(1700)Медицина-(12668)Менеджмент-(24684)Механика-(15423)Науковедение-(506)Образование-(11852)Охрана труда-(3308)Педагогика-(5571)Полиграфия-(1312)Политика-(7869)Право-(5454)Приборостроение-(1369)Программирование-(2801)Производство-(97182)Промышленность-(8706)Психология-(18388)Религия-(3217)Связь-(10668)Сельское хозяйство-(299)Социология-(6455)Спорт-(42831)Строительство-(4793)Торговля-(5050)Транспорт-(2929)Туризм-(1568)Физика-(3942)Философия-(17015)Финансы-(26596)Химия-(22929)Экология-(12095)Экономика-(9961)Электроника-(8441)Электротехника-(4623)Энергетика-(12629)Юриспруденция-(1492)Ядерная техника-(1748)

II. Деніміз сау болсын!




Кесте.

Элекроэнцефалограмма параметрлерінің көрінісі және әртүрлі ритмдердің тіркелу шарты.

Ритм аталуы Ырғақ,Гц   Амплитуда,мкВ Ритмнің тіркелу шарты
Альфа-ритм 8-13   Адамның ойлық және физикалық жағдайы, жабық көздермен
Бета-ритм 13-30 20-25 Тітіркену кезіндегі эмоциялық қозу.
Гамма-ритм >35    
Тета-ритм 4-8 100-150 Түс,әлсіз гипоксия және наркоз;кейбір ауруларда
Дельта-ритм 0,5-3,5 250-300 Терең түс,наркоз және гипоксия;

 

 

«АСТАНА МЕДИЦИНА УНИВЕРСИТЕТІ» АҚ

ҚАЛЫПТЫ ФИЗИОЛОГИЯ КАФЕДРАСЫ

 

 

№8 ТӘЖІРИБЕЛІК САБАҚҚА АРНАЛҒАН ӘДІСТЕМЕЛІК ӨҢДЕУЛЕР

 

Тақырыбы: ОЖЖ тежелу процестері.

Сағат саны: 4

 

 

Курс: 2

 

Мамандығы: 051301 «Жалпы медицина»

 

 

Құрастырушы:

 

 

Астана 2013ж

 

1. Тақырыбы: ОЖЖ тежелу процестері.

2. Мақсаты: ОЖЖ - тежелуүрдістері – жүйке жүйесінде өтілетін қозу үрдістері сияқты манызды қызмет атқарады. Тежелу үрдісінің негізгі ролі. Ол жүйке жүйесін аса кернеуліктен сақтап қалатын қорғаныштық қызметінде. Тежелу тегершіктерін түсіну үшін, тежелудің сол немесе басқа түрінің қосылуын қабілеттендіретін, тежеуші үрдістер мен физиологиялық тегершіктерді қамтамасыз ететін Бірінші реттік жұлын-милық орталықтардың орналасуын білу қажет. Вегетативтік қызметтің рефлекторлық реттелісін толығымен түсіну үшін, вегетативтік жүйке жүйесінің (ВЖЖ) жалпы сипаты туралы білім қажет.

3. Оқу мақсаты: Студентті тірі жүйе әрекетінің реттелуіндегі тежелу заңдылықтармен таныстыру. Ағзаның түрлі кернеуліктен сақтап қалу тегершіктері сияқты, ОЖЖ – тежелу үрдістерінің мәнінде жалпы жүйенің реттелуіндегі және жұлынның қатысу заңдылықтарын ұйымдастыру. Студентті И.М. Сеченов бойынша орталықтық тежелуді модельдеу және клиникалық маңызды физиологиялық рефлекстерді есте қалдыру мен анықтауға үйрету. Ағзаның түрлі жүйелер қызметінің реттелісіндегі және олардың әрекетінің біріктірілуіндегі ВЖЖ- маңызын ұйымдастыру.

4. Тақырыптың негізгі сұрақтары:

1.Орталық жүйке жүйесіндегі тежелу процестері. Сеченовтық тежелу.

2. Орталықтан тежелудің механизмдері жайында қазіргі кездегі көзқарас.

3.Тежелудің негізгі түрлері- постсинапстық, пресинапстық, реципрокты, шеткергі

4.Соматикалық және вегетативті жүйке жүйесінің қызметтік ерекшеліктері.

5.Вегетативті жүйке жүйесінің симпатикалық, парасимпатикалық және метасимпатикалық бөлімдері.

6.Вегетативті рефлекстердің эфферентті бөлімінің ұйымдасу принциптері. Вегетативті түйіндерде қозу өткізу механизмі.

7.Вегетативті синапстар, циторецепторлар және блокаторлар. Рецепторлық субстанцияның және вегетатропты синапстық белсенді заттардың негізгі түрлері (адренергиялық, холинергиялық және басқалар) және вегетотропті синапсты активті заттар.

8.Гипоталамустың, мишықтың, лимбиялық жүйенің, торлы құрылымның және үлкен жарты шарлар қыртысының вегетативтік қызметтерді реттеудегі ролі..

9.Вегетативтік жүйке жүйесінің біртұтас мінез- құлықтық тәртіптік актінің қалыптасуында қызметтерді интеграциялауға қатысуы. Тәртіптің вегетативтік компоненттері.

5. Білім берудің және оқытудың әдістері (шағын топтар, пікірталас, жағдайлық есептер, жұптасып жұмыс істеу, презентациялар, кейстади және т.б.)

1Жұлын-милық рефлекстің орталықтан тежелуі (Сеченов тежелуі).

2. Гольц тәжірибесі.

3. Висцеральді рефлекстер

4. Тамырлы рефлекстер. Жергілікті дермографизм.

5. Қарашық рефлексін зерттеу. Жарыққа қарашықтың тікелей рефлексі.

6. Терілік рефлекстер: пиламоторлы рефлекс немесе «қаз терісі» рефлексі.

7.Кесте мен жобаны салу.

6. Әдебиет:

1.Тақырып бойынша дәріс

2 Адам физиологиясы. Х.К. Сәтбаева, А.А.Өтепбергенов, Ж.Б. Нілдібаева, Алматы, 2005, 663

3.Судаков К.В., и др. Нормальная физиология в динамических схемах: атлас: учеб.пособие. – М., 2009.

4.Агаджанян Н.А., Смирнов В.М.. Нормальная физиология: Учебник для студентов медвузов.- М.: ООО «Медицинское информационное агентство», 2007.

5.Орлов Р.С., Ноздрачев А.Д., Нормальная физиология: учебник + СД-диск. – М., 2006. – 696 с.

6.Физиология человека. Под ред. Р.Шмидта, Г. Тевса. М.,., в 3-х томах.- 2007.

7. Ткаченко Б. И. и др. Физиология человека.Compendium: учебник. – М., 2009.

Қосымша:

1.Современный курс классической физиологии (избранные лекции) с приложением на компакт-диске. Под ре. Ю.В.Наточина, В.А.Ткачука. – М.: ГЭАТАР-Медиа, 2007. – 384 с.

2.Руководство к практическим занятиям по нормальной физиологии: Учеб. пособие / Н.Н.Алипов, Д.А.Ахтямова, В.Г.Афанасьев и др.; Под ред. С.М.Будылиной, В.М.Смирнова. – М.: Издательский центр «Академия», 2005. – 336 с.

3.Атлас по нормальной физиологии / Под ред. Н.А. Агаджаняна.-М.: Высшая школа, 2007 4.Судаков К.В., Киселев И.И. и др. Нормальная физиология в динамических схемах: Атлас (цветной, иллюстрированный): учебное пособие. – М., 2007. – 350 с.

5.Ситуационные задачи по физиологии с основами анатомии для самостоятельной работы студентов / Под ред. А.А. Утебергенова, Д.А. Адильбековой. - Шымкент, 2006. - 66 с.

6.В.М. Смирнов. Физиология в рисунках и таблицах.- М., «МИА», 2007.

7. Бақылау: Ситуациялық есептерді шешу.

«АСТАНА МЕДИЦИНА УНИВЕРСИТЕТІ» АҚ

ҚАЛЫПТЫ ФИЗИОЛОГИЯ КАФЕДРАСЫ

№ 8 сабаққа таратылатын материал

Сабақ тақырыбы: «Орталық жүйке жүйесіндегі тежелу процестері».

№1 ЖҰМЫС Жұлын-милық рефлекстің орталықтан тежелуі (Сеченов тежелуі)

ОЖЖ- жүретін, үрдіс ретіндегі тежелу, 1862ж. И.М. Сеченовпен ашылды. Аралық миды тітіркендіру, жұлынмен іске асырылатын, рефлекстің тежелуін тудыруы мүмкін. Әрі қарай ОЖЖ-жоғарғы бөлімдері, жұлынның рефлекторлық әрекетін тежеуі немесе жеңілдетуі мүмкін.

Жұмысқа қажеттілер: препаровкалық құралдар, штатив, секундомер, 100 мл 3 химиялық ыдыстар, біреуі- 200 мл, NaCl тұздары, 0,5% -HCl ерітіндісі, Рингер ерітіндісі. Зерттеу объектісі – көлбақа.

Жұмыс барысы:

Көлбақаны препоравкалық тақтаға ішімен жатқызып, тіркейді. Қайшының көмегімен басында кескін жасайды, кескін орнындағы бас қаңқасының терісін алады. Кішкене қайшының үшкір ұшын бас қаңқасының қақпағының астына ендіреді. Миды жарақаттамас үшін, ми қақпағына көлденең кескін жасайды. Қақпақты екі бүйірі бойынша сүйекті кесе отырып, ми қақпағын алып тастайды. Өткір пышақпен (скальпельмен) көру төмпегінің үстінен кескін жүргізеді және кескіннен жоғары ми ұлпасын алып тастайды.

Көлбақаның жоғарғы жағымен штативке іледі және Тюрк әдісі арқылы (99 сурет, А), (№3-жұмысты қараңыз) рефлекс уақытын анықтайды. Фильтрленген қағаз арқылы ми беткейін кептіреді және көру төмпегіне NaCl (99 сурет, Б) тұздарын салады. Содан соң тікелей рефлекс уақытын анықтайды, тұзды алып тастап, миды физиологиялық ерітіндімен жуады. 5 минут уақыттан соң қайтадан рефлекс уақытын анықтайды.

Жұмыс нәтижелері және оны бейнелеу. Тәжірибе жобасын сызыңыз. Тәжірибенің әр түрлі жағдайларындағы рефлекс уақытын жазыңыз. Көру төмпегіне салынған ас тұзының әсерімен, рефлекс уақытының өзгеру себептерін талқылаңыз. Бақыланған құбылыстың сипаты туралы қорытынды жасаңыз.

Қорытынды:

 

№2 ЖҰМЫС. Гольц тәжірибесі

Жұмыс барысы: жүрек әрекетінің рефлекторлық баяулауын немесе оның тоқтауын іштік қуыста (оның эпигастральді аймағында) орналасқан кезеген жүйкенің сезгіш талшығын және рецепторларды механикалық тітіркендіру арқылы тудыруға болады.Кәдімгі тәсілмен студентте жүректің жиырылу жиілігін санап, содан соң іштік қабырға бойын басыңқырап, қайтадан ЖЖЖ санайды. Осы кезде жүрек жиі жиырылады. Тәжірибені 2 рет қайталайды.

Қорытынды:

№ 3-жұмыс. Висцеральді рефлекстер.

А) Ашнердің көзді-жүрек рефлексі.

Жұмыс барысы: көзі жабық жатқан зерттелушіде ритмокардиоскоп көмегімен пульсті анықтайды. Көз алмаларын бас бармақпен әлсін басады және басуды тоқтатпай 10-15 сек. өткеннен кейін аспап көрсеткішін белгілейді.

Б) Превельдің ортостатикалық рефлексі.

Жұмыс барысы: жатқан (санар алдында пациент 3-6 минут жатып алады) пациентте ритмокардиоскоп көмегімен пульс санайды. Пациенттің тұруын өтініп, 15-20 сек. кейін пульсті қайта санайды.

В) Геринг рефлексі

Жұмыс барысы: отырған пациенттің пульсін санайды. Содан соң, оның терең дем алуын және тынысын кідіруін сұрайды. Осы кезде пульсті қайта санайды.

Жұмысты бейнелеуге ұсыныстар: қорытындыда пульс (тәжірибеге дейін және одан кейін) қалай және неліктен өзгергендігін көрсетіңіз.

 

№ 4-жұмыс. Тамырлы рефлекстер. Жергілікті дермографизм.

Жұмыс барысы: шыны таяқшаның өткірсіз ұшыменневрологиялық балғаның ұстағымен немесе шпательмен тудырылады. Дені сау адам терісін әлсін тітіркендіргенде, ақ сызық- жергілікті ақ дермографизм білінеді. Дені сау адам терісін қатты және баяу тітіркендіргенде, тар ақ шеңбермен қоршалған қызыл сызық көрінеді. Бұл жергілікті қызыл дермографизм.

Жұмысты бейнелеуге ұсыныстар: қорытындыда не көргеніңізді белгілеңіз.

№5-жұмыс. Қарашық рефлексін зерттеу. Қарашықтың жарыққа деген тікелей реакциясы.

Жұмыс барысы: зерттелуші біркелкі жарықтандырылған бөлмеде және көзі ашық күйінде дәрігерге қарама-қарсы отырады. Дәрігер алақандарымен зерттелушінің көзін жапқанда қарашық бірден ұлғаяды. Осындай әдіспен келесі көздің реакциясын зерттейді.

Жұмысты бейнелеуге ұсыныстар: қорытындыда қай бұлшық етттер көмегімен қарашық диаметрі өзгереді және осы бұлшық еттер қандай жүйкелік талшықтармен жүйкелендіріледі?

№ 6-жұмыс. Терілік рефлекстер: пиламоторлы рефлекс немесе «қаз терісі» рефлексі.

Жұмыс барысы: трапеция бұлшық етінің аймағында ауыртпалық немесе суықтық тітіркендіргішпен тудырылады. Дені сау адам терісін эфирмен сүрту немесе иненің үшкір ұшымен тітіркендіру кезінде «қаз терісінің» түзілуі туады.

Жұмысты бейнелеуге ұсыныстар: қорытындыда жұлынның алдыңғы түбірлері, бүйірлі мүйіздері және шектелі симпатикалық бағанның жарақатында рефлекстің тумайтындығын жазыңыз. Жұлын көлденеңдігінің жарақаттануы, жарақаттан төмен жерде рефлекс күшеюін тудырады.

 

№7 ЖҰМЫС. Кестемен жобаны салу

Пресинапстық тежелу.А-1-тежелген нейрон,А-2-қоздыратын нейрон,А-3-эффекторлық нейрон.

 

Жүректің симпатикалық және парасимпатикалық иннервациясы.

Жүректің интеррецепторларының рефлекстері және оның графикалық кескіндемесі.

 

А-нейрон 1-ден нейрон 2-ге қозу өтуі;Б-тежелу;В-пресинаптикалық тежелу;С-антидромдық тежелу;Д-Н.Е.Введенскийдің пессимум типі бойынша тежелу.

 

«Сеченовтік тежелу»:

А-тәжірибие схемасы: 1-жартышарсыз бақаның рефлекс уақытын анықтау, 2-NaCl-ң кристалигін көру аймағына енгізгеннен кейін,дәл сол бақаның рефлексінің уақыты көбеюі;

Б-тежелудің болжамды механизмі: 1-мотонейроннан қозу өтуі, 2- мотонейронға шыкпайтын тежелу көрсетімі (қозатын синапстар қызылмен,тежелу-қарамен көрсетілге

 

Вегативтік жүйке жүйесі: А-симпатикалық жүйе, Б-парасимпатикалық жүйе.

 

 

«АСТАНА МЕДИЦИНА УНИВЕРСИТЕТІ» АҚ

ҚАЛЫПТЫ ФИЗИОЛОГИЯ КАФЕДРАСЫ

 

№ 8 сабаққа таратылатын материал

Бақылау: ситуациялық есептерді шығару

 

Сабақтың тақырыбы бойынша бақылау: ОЖЖ тежелу процестері.

№15 ситуациялық есеп:

Егер күндіз терезеден көп уақыт далаға қарап тұрып, содан соң көзіңді жұмсаң, біршама уақыт ішінде айқаспасын көресін.Бұл көрініс қандай жүйкелік орталықтың қасиетімен түсіндіріледі және бұның тегершігі қандай?

Шешу алгоритмі:

  1. Жүйке орталықтарының қасиеттері.
  2. Жүйке орталықтарындағы бір уақытылы және іздік қозудың физиологиялық тегершігі.

№17 ситуациялық есеп:

Адам тік қалпында оң аяғын көтереді, рефлексорлрдың жиырылуын не шақырады?Берілген құбылыстың тегершігі қандай?

Шешу алгоритмі:

  1. ОЖЖ қызметінің координациялауы туралы ұғым.
  2. Бұл қызметтің негіздері: жүйкелік үрдістер, олардың қарым-қатынасы, қозғалыс актілерін координациялау негізінде жатқан тегершіктер.
  3. Қозғалыстың бейімделуінің реттелу актілеріне және қалыптасуына қатысатын ОЖЖ деңгейлері.

№23 ситуациялық есеп:

ЭЭГөге наркоз кезінде науқаста амплитудасы 280 мВ және жиілігі 0,57 Гц потенциалдар пайда болды. Операция өткізуге наркоз тереңдігі жеткілікті ме?

Шешу алгоритмі:

  1. ЭЭГ әдісі туралы түсінік.
  2. ЭЭГ толқындарының негізгі түрлері және оларға мінездеме.
  3. ЭЭГ толқындарының табиғаты.
  4. Толқындардың жеке түрлерінің мидың функционалды жағдайымен байланысы. Берілгендерге баға.

 

№16 ситуациялық есеп:

Адам оң аяғымен алға аттағанда қай қолы алға қозғалады және неліктен?

Шешу алгоритмі:

  1. ОЖЖ қызметінің координациялауы туралы ұғым.
  2. Бұл қызметтің негіздері: жүйкелік үрдістер, олардың қарым-қатынасы, қозғалыс актілерін координациялау негізінде жатқан тегершіктер.
  3. Қозғалыстың бейімделуінің реттелу актілеріне және қалыптасуына қатысатын ОЖЖ деңгейлері.

№16 ситуациялық есеп:

Адам оң аяғымен алға аттағанда қай қолы алға қозғалады және неліктен?

Шешу алгоритмі:

  1. ОЖЖ қызметінің координациялауы туралы ұғым.
  2. Бұл қызметтің негіздері: жүйкелік үрдістер, олардың қарым-қатынасы, қозғалыс актілерін координациялау негізінде жатқан тегершіктер.
  3. Қозғалыстың бейімделуінің реттелу актілеріне және қалыптасуына қатысатын ОЖЖ деңгейлері.

«АСТАНА МЕДИЦИНА УНИВЕРСИТЕТІ» АҚ

ҚАЛЫПТЫ ФИЗИОЛОГИЯ КАФЕДРАСЫ

№9 ТӘЖІРИБЕЛІК САБАҚҚА АРНАЛҒАН ӘДІСТЕМЕЛІК ӨҢДЕУЛЕР

 

Тақырыбы: Ішкі сөл бөлу бездері. Эндокриндік бездердің жалпы сипаттамасы.

Сағат саны: 4

 

Курс: 2

 

Мамандығы: 051301 «Жалпы медицина»

 

 

Құрастырушы:

Доцент Ибраева С.С.

 

Астана 2014ж

 

1. Тақырыбы: Ішкі сөл бөлу бездері. Эндокриндік бездердің жалпы сипаттамасы.

2. Мақсаты: Эндокринді бездерді білу, олардың гормон бөлуінің реттелуін білу, клиникалық тәжірибеде өте қажетті. Өйткені, гормондар физикалық, жыныстық, ойының дамуын қамтамасыз етеді, физиологиялық жүйелердің активтілігінің бейімделуін қамтамасыз етеді.Ішкі сөл бөлу бездері басқа ағзалар мен жүйелердің қызметтерін қадағалайды.

3. Оқу мақсаты: Гормондардың түзілу реттелісінің негізгі принциптері мен олардың әсер ету механизмін анықтау.Жыныс бездері,қалқанша безі,қалқан серік безі,ұйқы безі реттелуінің негізгі қағидаларын қалыптастыру.

4. Тақырыптың негізгі сұрақтары:

1. Эндокриндік жүйенің қызметтік ұйымдасуы. Эндокриндік бездердің жалпы сипаттамасы.

2. Гормондардың жалпы қасиеттері мен қызметтері. Гормондардың пайда болу көзі. Ішкі сөл бөлу бездері және олардың құрылыстық-қызметтік ерекшеліктері. Гормондардың пайда болу және әсер ету динамикасы.

3. Гормондардың қанмен тасымалдану түрі, тіршілік етуінің ұзақтығы, гормондардың ыдырауы. Гормондардың жасушалармен өзара байланысы (жасушаішілік, рецепторлармен). Гормондар әсерінің жасушалық механизмдері.

4. Мембраналық рецепция. Цитоплазмалық рецепция. Гормон бөлінуінің реттелуі. Жасушаішілік, жүйкелік реттелуі.

5. Гипоталамустың нейросекреторлық қызметі: либериндер мен статиндер. Гипоталамустың гипофизбен қызметтік байланысы. Аденогипофиздің ролі.

6. Гипоталамус- гипофиз-бүйрек үсті бездер жүйесі. Ішкі сөл бөлу бездері қызметінің реттелуіндегі кері байланыс принципі. Вегетативтік жүйке жүйесінің ролі.

7. Физиологиялық қызметтердің гормональдық реттелуінің жүйелік принциптері. Ағзаның қызметтік жүйелеріндегі ІСБ бездерінің ролі. Гормональдық гомеостаз.

5. Білім берудің және оқытудың әдістері (шағын топтар, пікірталас, жағдайлық есептер, жұптасып жұмыс істеу, презентациялар, кейстади және т.б.)

1. «Сіз стресс әсеріне ұшырадыңыз ба?» атты тестті жүргізу (сабақта оқытушымен жүргізіледі)

2. Деніміз сау болсын! атты тест жүргізу жүргізу (сабақта оқытушымен жүргізіледі)

3. Эндокриндік бездер гормондары кестесі (сабаққа дайындау)

4. Жоба мен кестені салу:

А) аналық жыныс циклінің жобасы

Б) ІСБ және олардың гормондары

6. Әдебиет:

Негізгі:

1.Тақырып бойынша дәріс

2 Адам физиологиясы. Х.К. Сәтбаева, А.А.Өтепбергенов, Ж.Б. Нілдібаева, Алматы, 2005, 663

3.Судаков К.В., и др. Нормальная физиология в динамических схемах: атлас: учеб.пособие. – М., 2009.

4.Агаджанян Н.А., Смирнов В.М.. Нормальная физиология: Учебник для студентов медвузов.- М.: ООО «Медицинское информационное агентство», 2007.

5.Орлов Р.С., Ноздрачев А.Д., Нормальная физиология: учебник + СД-диск. – М., 2006. – 696 с.

6.Физиология человека. Под ред. Р.Шмидта, Г. Тевса. М.,., в 3-х томах.- 2007.

7. Ткаченко Б. И. и др. Физиология человека.Compendium: учебник. – М., 2009.

Қосымша:

1.Современный курс классической физиологии (избранные лекции) с приложением на компакт-диске. Под ре. Ю.В.Наточина, В.А.Ткачука. – М.: ГЭАТАР-Медиа, 2007. – 384 с.

2.Руководство к практическим занятиям по нормальной физиологии: Учеб. пособие / Н.Н.Алипов, Д.А.Ахтямова, В.Г.Афанасьев и др.; Под ред. С.М.Будылиной, В.М.Смирнова. – М.: Издательский центр «Академия», 2005. – 336 с.

3.Атлас по нормальной физиологии / Под ред. Н.А. Агаджаняна.-М.: Высшая школа, 2007 4.Судаков К.В., Киселев И.И. и др. Нормальная физиология в динамических схемах: Атлас (цветной, иллюстрированный): учебное пособие. – М., 2007. – 350 с.

5.Ситуационные задачи по физиологии с основами анатомии для самостоятельной работы студентов / Под ред. А.А. Утебергенова, Д.А. Адильбековой. - Шымкент, 2006. - 66 с.

6.В.М. Смирнов. Физиология в рисунках и таблицах.- М., «МИА», 2007.

7. Бақылау: ситуациялық есептерді шешу және билет бойынша жазбаша бақылау.

 

 

«АСТАНА МЕДИЦИНА УНИВЕРСИТЕТІ» АҚ

ҚАЛЫПТЫ ФИЗИОЛОГИЯ КАФЕДРАСЫ

№9 сабаққа таратылатын материал

Сабақ тақырыбы: Ішкі сөл бөлу бездері. Эндокриндік бездердің жалпы сипаттамасы.

№1 ЖҰМЫС. Тест: «Сіз стресс әсеріне ұшырадыңыз ба?»

Төменде келтірілген 6 топ жауаптардағылардан, өзіңіздің мінезіңізге сай келетінін таңдаңыз.

1 топ:

а) Жұмыста, қарама-қарсы жыныс өкілдерімен қарым-қатынаста, спорттық немесе азарттық ойындарда, Сіз қорықпайсыз және агрессия көрсетесіз.

б) Егер ойында, Сіз, бірнеше ұпай жоғалтсаңыз және егер де Сіз қарама-қарсы жыныс өкілі, сіздің ең алғашқы назарыңызға міндетті түрде көңіл аудармаса, онда сіз ұтыласыз және ойыннан шығасыз.

в) Сіз, қандай да болмасын конфронтациялардан қашасыз.

2 топ:

а) Сіз ақкөңілсіз және өмірде барлығына қол жеткізгіңіз келеді

б) Сіз отырған күйде теңіздегі ауа-райын күтесіз

в) Сіз жұмыстан бас тартуға әрдайым бірнәрсе табасыз

3 топ:

а) Сіз жұмысты жылдам орындағанды ұнатасыз және жұмыс аяқталғанға дейін шыдай алмайсыз

б) Сізді біреу қолдайды деп үміттенесіз

в) Кешқұрым үйге келгенде, бүгін жұмыста болған істер туралы ойланасыз

4 топ:

а) Сіз өте жылдам, әрі дауыстап сөйлейсіз. Сұхбаттасқанда, Сіз тиымсыз сөздерді өте көп қолданып, басқалардың әңгімесін бөлесіз

б) Егер Сізге «Жоқ» деп жауап берсе, онда Сіз оған көңіл аудармайсыз.

в) Сіз өзіңіздің сезіміңіз бен қорқақтығыңызды жасыра алмайсыз

5 топ:

а) Сіз өте жиі көңілсіз

б) Сізге ешнәрсе істемеген ұнайды

в) СІз өз дегеніңізді, өзіңіздің ойыңызбен емес, басқа адамдардың әрекетімен жасайсыз

6 топ:

а) Сіз жылдам жүресіз, жылдам жүргізесіз, жылдам ішесіз

б) Егер сіз жұмысты орындауды ұмытып кетсеңіз, оған алаңдамайсыз

в) Сіз өз сезіміңізді жасыра аласыз

Ұпайларды санаңыз: а – 6 ұпай; б – 4 ұпай; в – 2 ұпай;

24 – 36 ұпай. Сіз жоғарғы дәрежеде стресс әсеріне ұшырайсыз, Сізде стреспен байланысты аурудың белгілері: жүрек қызметінің жетіспеушілігі, жара ауруы, ішек аурулары туу мүмкін. Сізбен өмір сүру қиынға соғады. Сізге ең бастысы ашуланбауға үйрену керек. Ол өзіңізге, өзіңіздің отбасыңызға және достарыңызға қажет.

18 – 24 ұпай. Сіз ашуланбайсыз және стресс әсеріне ұшырамайсыз. Егер сіздің жинаған ұпайыңыз 18-ден сәл ғана асса, онда сізге қоршаған ортаңызға шыдамды болыңыз деп ұсынамыз. Бұл сізге өмірде барлығына қол жеткізуге көмектеседі.

12 – 18 ұпай. Сіздің әрекетсіздігіңіз стресс себебі болуы мүмкін. Сіз мұнымен жақындарыңызды тітіркендіресіз. Өзіңізге сенімді болыңыз. Сізге өзіңіздің жағымды қасиеттеріңіздің тізімін құрастыру қажет және оны сұрыптау керек.

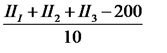
Өзіңіздің жүрегіңізбен барлығы дұрыс па? 1,5 мин ішінде 20 рет еңкейіңіз. Еңкейгенге дейін (), еңкейгеннен кейін () және 1 мин соң () пульсті тексеріңіз. Осы шамаларды келесі формулаға салыңыз:

 

0 – 3 жүрек өте жақсы жағдайда;

3 – 6 – жүрек жақсы жағдайда;

6 – 9 – жүрек орташа жағдайда;

9 – 12 жүрек нашар жағдайда;

12-ден жоғары – кардиологқа жүгіріңіз.

№ 3-жұмыс. 1-кесте. Эндокриндік бездердің гормондары

Кестені сурет дәптерге көшіріп жазу және толтыру

         
Ішкі сөлініс бездері Гормон атауы Физиологиялық тиімділіктері Гормонның гипофункциясы Гормонның гиперфункциясы
         



Поделиться с друзьями:


Дата добавления: 2014-11-18; Просмотров: 3804; Нарушение авторских прав?; Мы поможем в написании вашей работы!


Нам важно ваше мнение! Был ли полезен опубликованный материал? Да | Нет



studopedia.su - Студопедия (2013 - 2025) год. Все материалы представленные на сайте исключительно с целью ознакомления читателями и не преследуют коммерческих целей или нарушение авторских прав! Последнее добавление




Генерация страницы за: 0.021 сек.