Студопедия

КАТЕГОРИИ:


Архитектура-(3434)Астрономия-(809)Биология-(7483)Биотехнологии-(1457)Военное дело-(14632)Высокие технологии-(1363)География-(913)Геология-(1438)Государство-(451)Демография-(1065)Дом-(47672)Журналистика и СМИ-(912)Изобретательство-(14524)Иностранные языки-(4268)Информатика-(17799)Искусство-(1338)История-(13644)Компьютеры-(11121)Косметика-(55)Кулинария-(373)Культура-(8427)Лингвистика-(374)Литература-(1642)Маркетинг-(23702)Математика-(16968)Машиностроение-(1700)Медицина-(12668)Менеджмент-(24684)Механика-(15423)Науковедение-(506)Образование-(11852)Охрана труда-(3308)Педагогика-(5571)Полиграфия-(1312)Политика-(7869)Право-(5454)Приборостроение-(1369)Программирование-(2801)Производство-(97182)Промышленность-(8706)Психология-(18388)Религия-(3217)Связь-(10668)Сельское хозяйство-(299)Социология-(6455)Спорт-(42831)Строительство-(4793)Торговля-(5050)Транспорт-(2929)Туризм-(1568)Физика-(3942)Философия-(17015)Финансы-(26596)Химия-(22929)Экология-(12095)Экономика-(9961)Электроника-(8441)Электротехника-(4623)Энергетика-(12629)Юриспруденция-(1492)Ядерная техника-(1748)

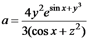
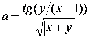
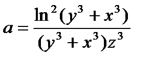
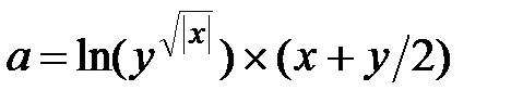
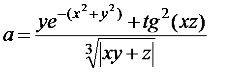
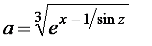
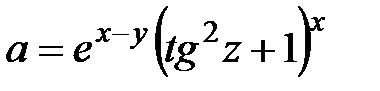
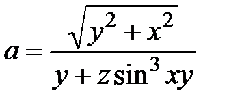
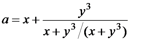
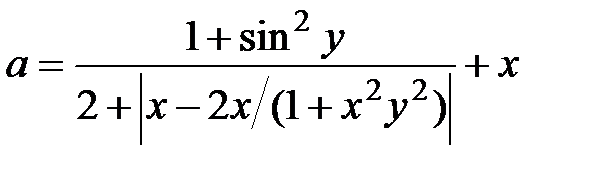
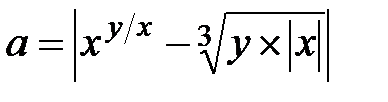
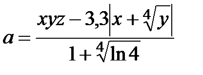
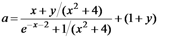
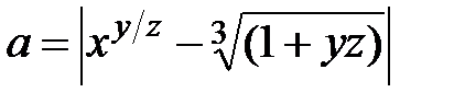
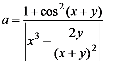
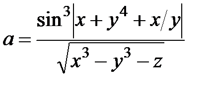
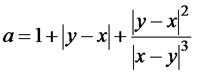
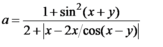
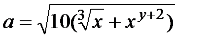
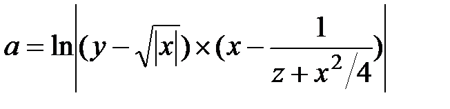
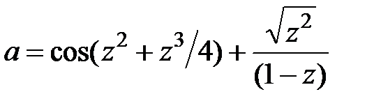
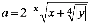
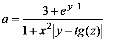
Контрольні питання. Скласти програму для обчислення арифметичного виразу та виведення отриманого результату на екран згідно зі своїм варіантом. 00




Варіанти задач

Скласти програму для обчислення арифметичного виразу та виведення отриманого результату на екран згідно зі своїм варіантом.


00. 01. 02. 03. 04. 05. 06. 07. 08. 09. 10. 11. 12. 13. 14. 15. 16. 17. 18. 19. 20. 21. 22. 23. 24. 25. 26. 27. 28. 29. 30. 31. 32. 33. 34. 35. 36. 37. 38. 39. 40. 41. 42. 43. 44. 45. 46. 47. 48. 49. 50. 51. 52. 53. 54. 55. 56. 57. 58. 59. 60. 61. 62. 63. 64. 65. 66. 67. 68. 69. 70. 71. 72. 73. 74. 75. 76. 77. 78. 79. 80. 81. 82. 83. 84. 85. 86. 87. 88. 89. 90. 91. 92. 93. 94. 95. 96. 97. 98. 99.


1. Які символи використовуються в мові Pascal?

2. Опишіть структуру програми, що записана мовою Pascal?

3. Призначення розділу описів.

4. У якому вигляді оформляються коментарі?

5. Які стандартні типи даних вам відомі?

6. Що розуміють під символьними даними?

7. Як описуються у Pascal-програмі іменовані константи?

8. Як описуються змінні у Pascal-програмі?

9. Що розуміється під стандартними функціями?

10. Які ви знаєте стандартні функції?

11. Для чого призначений оператор присвоєння?

12. Для чого призначені оператори введення та виведення даних?

13. У чому особливість введення символьних даних?

14. Чи може бути константа параметром процедури введення?

15. Що буде надруковано в результаті виконання такої послідовності операторів:

writeln('Важливо! _ ');

write('Не _ ');

write('плутати WRITE');

write('_');

writeln('і WRITELN!');

write('Їх дії _ ');

write('дещо різні!');

16. Які існують формати виведення?

17. У якому вигляді виводяться дані, якщо в операторі виведення формати не вказані?

18. Як організувати виведення порожніх позицій усередині рядка між даними?

Література: [1-4].




Поделиться с друзьями:


Дата добавления: 2014-11-08; Просмотров: 567; Нарушение авторских прав?; Мы поможем в написании вашей работы!


Нам важно ваше мнение! Был ли полезен опубликованный материал? Да | Нет



studopedia.su - Студопедия (2013 - 2026) год. Все материалы представленные на сайте исключительно с целью ознакомления читателями и не преследуют коммерческих целей или нарушение авторских прав! Последнее добавление




Генерация страницы за: 0.009 сек.