Студопедия

КАТЕГОРИИ:


Архитектура-(3434)Астрономия-(809)Биология-(7483)Биотехнологии-(1457)Военное дело-(14632)Высокие технологии-(1363)География-(913)Геология-(1438)Государство-(451)Демография-(1065)Дом-(47672)Журналистика и СМИ-(912)Изобретательство-(14524)Иностранные языки-(4268)Информатика-(17799)Искусство-(1338)История-(13644)Компьютеры-(11121)Косметика-(55)Кулинария-(373)Культура-(8427)Лингвистика-(374)Литература-(1642)Маркетинг-(23702)Математика-(16968)Машиностроение-(1700)Медицина-(12668)Менеджмент-(24684)Механика-(15423)Науковедение-(506)Образование-(11852)Охрана труда-(3308)Педагогика-(5571)Полиграфия-(1312)Политика-(7869)Право-(5454)Приборостроение-(1369)Программирование-(2801)Производство-(97182)Промышленность-(8706)Психология-(18388)Религия-(3217)Связь-(10668)Сельское хозяйство-(299)Социология-(6455)Спорт-(42831)Строительство-(4793)Торговля-(5050)Транспорт-(2929)Туризм-(1568)Физика-(3942)Философия-(17015)Финансы-(26596)Химия-(22929)Экология-(12095)Экономика-(9961)Электроника-(8441)Электротехника-(4623)Энергетика-(12629)Юриспруденция-(1492)Ядерная техника-(1748)

Устройства для зажима деталей типа тел вращения




Цанги

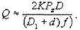
Цанги представляют собой пружинящие гильзы. Их применяют для установки заготовок по наружным и внутренним цилиндрическим поверхностям.

где: Рз - сила закрепления заготовки; Q — сила сжатия лепестков цанги; угол трения между цангой и втулкой.

 

 

Рис. 3.8. Цанга.

Кроме цанги для зажима деталей имеющих цилиндрическую поверхность, применяют разжимные оправки, зажимные втулки с гидропластом, оправки и патроны с тарельчатыми пружинами, мембранные патроны и другие.

Консольные и центровые оправки применяют для установки с центральным базовым отверстием втулок, колец, шестерен, обрабатываемых на многорезцовых шлифовальных и других станках.

При обработке партии таких деталей требуется получить высокую концентричность наружных и внутренних поверхностей и заданную перпендикулярность торцов к оси детали.

В зависимости от способа установки и центрирования обрабатываемых деталей консольные и центровые оправки можно подразделить на следующие.виды: 1) жесткие (гладкие) для установки деталей с зазором или натягом; 2) разжимные цанговые; 3) клиновые (плунжерные, шариковые); 4) с тарельчатыми пружинами; 5) самозажимные (кулачковые, роликовые); 6) с центрирующей упругой втулкой.

а) 6)

Рис. 3.9. Конструкции оправок: а — гладкая оправка; б — оправка с разрезной втулкой.

На рис. 3.9, а показана гладкая оправка 2, на цилиндрической части которой установлена обрабатываемая деталь 3. Тяга 6, закрепленная на штоке пневмоцилиндра, при перемещении поршня со штоком влево головкой 5 нажимает на быстросменную шайбу 4 и зажимает деталь 3 на гладкой оправке 2. Оправка конической частью 1 вставляется в конус шпинделя станка. При зажиме обрабатываемой детали на оправке осевая сила Q на штоке механизированного привода вызывает между торцами шайбы 4, уступом оправки и обрабатываемой деталью 3 момент от силы трения, больший, чем момент Мрез от силы резания Pz. Зависимость между моментами:

откуда сила на штоке механизированного привода:

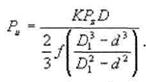
По уточненной формуле:

Где: К= 1,5-2,0— коэффициент запаса; Рz — вертикальная составляющая сила резания, Н (кгс); D — наружный диаметр поверхности обрабатываемой детали, мм; D/ — наружный диаметр быстросменной шайбы, мм; d — диаметр цилиндрической установочной части оправки, мм; f = 0,10,15 — коэффициент трения сцепления.

На рис. 3.9, б показана оправка 2 с разрезной втулкой 6, на которой устанавливают и зажимают обрабатываемую деталь 3. Конической частью 1 оправку 2 вставляют в конус шпинделя станка. Зажим и разжим детали на оправке производят механизированным приводом. При подаче сжатого воздуха в правую полость пневмоцилиндра поршень, шток и тяга 7 движутся влево и головка 5 тяги с шайбой 4 перемещает разрезную втулку 6 по конусу оправки, пока она не зажмет деталь на оправке. Во время подачи сжатого воздуха в левую полость пневмоцилиндра поршень, шток; и тяга перемещаются вправо, головка 5 с шайбой 4 отходят от втулки 6 и деталь разжимается.

a) б)

Рис.3.10. Консольная оправка с тарельчатыми пружинами (а) и тарельчатая пружина (б).

Крутящий момент от вертикальной силы резания Pz должен быть меньше момента от сил трения на цилиндрической поверхности разрезной втулки 6 оправки. Осевая сила на штоке механизированного привода (см. рис. 3.9, б).

где: a = 15 — половина угла конуса оправки, град; j»6— угол трения на поверхности контакта оправки с разрезной втулкой, град; f=0,150,2 — коэффициент трения.

Оправки и патроны с тарельчатыми пружинами применяют для центрирования и зажима по внутренней или наружной цилиндрической поверхности обрабатываемых деталей. На рис. 3.10, а, б соответственно показаны консольная оправка с тарельчатыми пружинами и тарельчатая пружина. Оправка состоит из корпуса 7, упорного кольца 2, пакета тарельчатых пружин 6, нажимной втулки 3 и тяги 1, соединенной со штоком пневмоцилиндра. Оправку применяют для установки и закрепления детали 5 по внутренней цилиндрической поверхности. При перемещении поршня со штоком и тягой 1 влево последняя головкой 4 и втулкой 3 нажимает на тарельчатые пружины 6. Пружины выпрямляются, их наружный диаметр увеличивается, а внутренний уменьшается, обрабатываемая деталь 5 центрируется и зажимается.

Размер установочных поверхностей пружин при сжатии может изменяться в зависимости от их размера на 0,1 — 0,4 мм. Следовательно, базовая цилиндрическая поверхность обрабатываемой детали должна иметь точность 2 -3-го классов.

Тарельчатую пружину с прорезями (рис. 3.10, б) можно рассматривать как совокупность двухзвенных рычажно-шарнирных механизмов двустороннего действия, разжимаемых осевой силой. Определив крутящий момент Мрез от силы резания Р2 и выбирая коэффициент запаса К, коэффициент трения / и радиус R установочной поверхности тарельчатой поверхности пружины, получим равенство:

Из равенства определим суммарную радиальную силу зажима, действующую на установочной поверхности обрабатываемой детали:

Осевая сила на штоке механизированного привода для тарельчатых пружин: с радиальными прорезями

без радиальных прорезей

где: a=8-12— угол наклона тарельчатой пружины при зажиме детали, град; К=1,52,2 — коэффициент запаса; Мрез — крутящий момент от силы резания Р2, Н-м (кгс-см); f=0,10,12 — коэффициент трения между установочной поверхностью тарельчатых пружин и базовой поверхностью обрабатываемой детали; R — радиус установочной поверхности тарельчатой пружины, мм; Pz — вертикальная составляющая сила резания, Н (кгс); R1 — радиус обработанной поверхности детали, мм.

Патроны и оправки с самоцентрирующими тонкостенными втулками, наполненными гидропластмассой, применяют для установки по наружной или внутренней поверхности деталей, обрабатываемых на токарных и других станках.

На приспособлениях с тонкостенной втулкой обрабатываемые детали наружной или внутренней поверхностью устанавливают на цилиндрическую поверхность втулки. При разжиме втулки гидропластмассой детали центрируются и зажимаются.

Форма и размеры тонкостенной втулки должны обеспечивать достаточную ее деформацию для надежного зажима детали на втулке при обработке детали на станке.

При конструировании патронов и оправок с тонкостенными втулками с гидропластмассой рассчитывают:

1. основные размеры тонкостенных втулок;

2. размеры нажимных винтов и плунжеров у приспособлений с ручным зажимом;

3. размеры плунжеров, диаметр цилиндра и ход поршня для приспособлений с механизированным приводом.

Рис. 3.11. Тонкостенная втулка.

Исходными данными для расчета тонкостенных втулок являются диаметр Dd отверстия или диаметр шейки обрабатываемой детали и длина 1д отверстия или шейки обрабатываемой детали.

Для расчета тонкостенной самоцентрирующей втулки (рис. 3.11) примем следующие обозначения: D — диаметр установочной поверхности центрирующей втулки 2, мм; h — толщина тонкостенной части втулки, мм; Г — длина опорных поясков втулки, мм; t — толщина опорных поясков втулки, мм; DDдоп— наибольшая диаметральная упругая деформация втулки (увеличение или уменьшение диаметра в ее средней части) мм; Smax — максимальный зазор между установочной поверхностью втулки и базовой поверхностью обрабатываемой детали 1 в свободном состоянии, мм; lК — длина контактного участка упругой втулки с установочной поверхностью обрабатываемой детали после разжима втулки, мм; L —длина тонкостенной части втулки, мм; lд — длина обрабатываемой детали, мм; Dd — диаметр базовой поверхности обрабатываемой детали, мм; d — диаметр отверстия опорных поясков втулки, мм; р _ давление гидропластмассы, требуемое для деформации тонкостенной втулки, МПа (кгс/см2); r1, — радиус закругления втулки, мм; Mpeз=Pzr — допустимый крутящий момент, возникающий от силы резания, Н-м (кгс-см); Pz — сила резания, Н (кгс); r —плечо момента силы резания.

На рис. 3.12 показана консольная оправка с тонкостенной втулкой и гидропластмассой. Обрабатываемую деталь 4 базовым отверстием устанавливают на наружную поверхность тонкостенной втулки 5. При подаче сжатого воздуха в штоковую полость пневмоцилиндра поршень со штоком перемещается в пневмоцилиндре влево и шток через тягу 6 и рычаг 1 передвигает плунжер 2, который нажимает на гидропластмассу 3. Гидропластмасса равномерно давит на внутреннюю поверхность втулки 5, втулка разжимается; наружный диаметр втулки увеличивается, и она центрирует и закрепляет обрабатываемую деталь 4.

Мембранные патроны применяют для точного центрирования и зажима деталей, обрабатываемых на токарных и шлифовальных станках. В мембранных патронах

Рис. 3.12. Консольная оправка с гидропластмассой.

 

обрабатываемые детали устанавливают по наружной или внутренней поверхности. Базовые поверхности деталей должны быть обработаны по 2—3-е­му классам точности. Мембранные патроны обеспечивают точность центрирования деталей 0,004—0,007 мм.

Мембраны — это тонкие металлические диски с рожками или без рожков (кольцевые мембраны). В зависимости от воздействия на мембрану штока механизированного привода — тянущего или толкающего действия — мембранные патроны подразделяются на разжимные и зажимные.

В разжимном мембранном рожковом патроне при установке кольцевой детали мембрана с рожками, штоком привода прогибается влево к шпинделю станка. При этом рожки мембраны с зажимающими винтами, установленными на концах рожков, сходятся к оси патрона, и обрабатываемое кольцо устанавливается центральным отверстием в патроне.

При прекращении нажима на мембрану под действием упругих сил она выпрямляется, ее рожки с винтами расходятся от оси патрона и зажимают обрабатываемое кольцо по внутренней поверхности. В зажимном мембранном рожковом патроне при установке кольцевой детали по наружной поверхности мембрана штоком привода прогибается вправо от шпинделя станка. При этом рожки мембраны расходятся от оси патрона и обрабатываемая деталь разжимается. Затем устанавливается следующее кольцо, нажим на мембрану прекращается, она выпрямляется и рожками с винтами зажимает обрабатываемое кольцо. Зажимные мембранные рожковые патроны с механизированным приводом изготовляются по МН 5523—64 и МН 5524—64 и с ручным приводом по МН 5523—64.

Мембранные патроны бывают рожковые и чашечные (кольцевые), их изготовляют из стали 65Г, ЗОХГС с закалкой до твердости HRC 40—50. Основные размеры рожковых и чашечных мембран нормализованы.

На рис. 3.13, а, б показана конструктивная схема мембранно-рожкового патрона 1. На заднем' конце шпинделя станка установлен пневмопривод патрона. При подаче сжатого воздуха в левую полость пневмоцилиндра поршень со штоком и тягой 2 перемещается вправо. При этом тяга 2, нажимая на рожковую мембрану 3, прогибает ее, кулачки (рожки) 4 расходятся, и деталь 5 разжимается (рис. 3.13, б). Во время подачи сжатого воздуха в правую полость пневмоцилиндра его поршень со штоком и тягой 2 перемещается влево и отходит от мембраны 3. Мембрана под действием внутренних упругих сил выпрямляется, кулачки 4 мембраны сходятся и зажимают по цилиндрической поверхности деталь 5 (рис. 3.13, а).

Рис. 3.13. Схема мембранно-рожкового патрона

Основные данные для расчета патрона (рис. 3.13, а) с рожковой мембраной: момент резания Мрез, стремящийся повернуть обрабатываемую деталь 5 в кулачках 4 патрона; диаметр d = 2b базовой наружной поверхности обрабатываемой детали; расстояние / от середины мембраны 3 до середины кулачков 4. На рис. 3.13, в дана расчетная схема нагруженной мембраны. Круглая, жестко закрепленная по наружной поверхности мембрана нагружена равномерно распределенным изгибающим моментом Ми, приложенным по концентрической окружности мембраны радиуса b базовой поверхности обрабатываемой детали. Данная схема является результатом наложения двух схем, показанных на рис. 3.13, г, д, причем Ми13.

На рис. 3.13, в принято: а — радиус наружной поверхности мембраны, см (выбирают по конструктивным условиям); h=0,1-0,07 — толщина мембраны, см; Ми — момент, изгибающий мембрану, Н-м (кгс-мм); j — угол разжима кулачков 4 мембраны, требуемый для установки и зажима обрабатываемой детали с наименьшим предельным размером, град.

На рис. 3.13, е показан максимальный угол разжима кулачков мембраны:

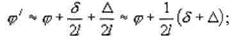
j/ = j + j1 + j2

где: j1 — дополнительный угол разжима кулачка, учитывающий допуск d. неточность изготовления установочной поверхности детали; j2 — угол разжима кулачков, учитывающий диаметральный зазор D, необходимый для возможности установки деталей в патрон.

Из рис. 3.13, е видно, что угол:

где: d — допуск на неточность изготовления детали на смежной предшествующей операции; D = 0,0008b + 0,02 мм.

Число кулачков n мембранного патрона принимают в зависимости от формы и размеров обрабатываемой детали. Коэффициент трения между установочной поверхностью детали и кулачков f=0,15-0,18. Коэффициент запаса К = 1,44 - 1,6. Допуск d на размер установочной поверхности детали задается чертежом. Модуль упругости Е = 0,2*106 МПа (2*106 кгс/см2).

Имея необходимые данные, рассчитывают мембранный патрон.

1. Радиальная сила на одном кулачке мембранного патрона для передачи крутящего момента Мрез

Силы Р3 вызывают момент, изгибающий мембрану (см. рис. 3.13, в).

2. При большом количестве кулачков патрона момент Мп можно считать равномерно действующим по окружности мембраны радиуса b и вызывающим ее изгиб:

3. Радиусом а наружной поверхности мембраны (из конструктивных соображений) задаются.

4. Отношение т радиуса а мембраны к радиусу Ъ установочной поверхности детали: а/b = т.

5. Моменты M1 и M3 в долях от Мии= 1) находят в зависимости от т= а/b по следующим данным (табл. 3.1):

Таблица 3.1

 

6. Угол (рад) разжима кулачков при закреплении детали с наименьшим предельным размером:

7. Цилиндрическая жесткость мембраны [Н/м (кгс/см)]:

где: Е = 0,2*106 МПа — модуль упругости (Е = 0,2*106 кгс/см2); m=0,3.

8. Угол наибольшего разжима кулачков (рад):

9. Сила на штоке механизированного привода патрона, необходимая для прогиба мембраны и разведения кулачков при разжиме детали, на максимальный угол j/:

При выборе точки приложения и направления зажимного усилия необходимо соблюдать следующее: для обеспечения контакта заготовки с опорным элементом и устранения возможного ее сдвига при закреплении зажимное усилие следует направлять перпендикулярно к поверхности опорного элемента; в целях устранения деформации заготовки при закреплении точку приложения зажимного усилия надо выбирать так, чтобы линия его действия пересекала опорную поверхность установочного элемента.

Количество точек приложения зажимных усилий определяют конкретно к каждому случаю зажима заготовки в зависимости от вида заготовки, метода обработки, направления силы резания. Для уменьшения вибрации и деформации заготовки под действием сил резания следует повышать жесткость системы заготовка - приспособление путем увеличения числа точек зажима заготовки за счет введения вспомогательных опор.

К зажимным элементам относятся винты, эксцентрики, прихваты, тисочные губки, клинья, плунжеры, планки. Они являются промежуточными звеньями в сложных зажимных системах. Форма рабочей поверхности зажимных элементов, контактирующих с заготовкой, в основном такая же, как и установочных элементов. Графически зажимные элементы обозначаются согласно табл. 3.2.

Таблица 3.2 Графическое обозначение зажимных элементов

 

Контрольные задания.

Задание 3.1.

Основные правила при закреплении заготовки?

Задание 3.2.

От чего зависит количество точек зажима детали при обработке?

Задание 3.3.

Преимущества и недостатки применения эксцентриков.

Задание 3.4.

Графическое обозначение зажимных элементов.

 




Поделиться с друзьями:


Дата добавления: 2014-11-18; Просмотров: 4328; Нарушение авторских прав?; Мы поможем в написании вашей работы!


Нам важно ваше мнение! Был ли полезен опубликованный материал? Да | Нет



studopedia.su - Студопедия (2013 - 2026) год. Все материалы представленные на сайте исключительно с целью ознакомления читателями и не преследуют коммерческих целей или нарушение авторских прав! Последнее добавление




Генерация страницы за: 0.012 сек.