Студопедия

КАТЕГОРИИ:


Архитектура-(3434)Астрономия-(809)Биология-(7483)Биотехнологии-(1457)Военное дело-(14632)Высокие технологии-(1363)География-(913)Геология-(1438)Государство-(451)Демография-(1065)Дом-(47672)Журналистика и СМИ-(912)Изобретательство-(14524)Иностранные языки-(4268)Информатика-(17799)Искусство-(1338)История-(13644)Компьютеры-(11121)Косметика-(55)Кулинария-(373)Культура-(8427)Лингвистика-(374)Литература-(1642)Маркетинг-(23702)Математика-(16968)Машиностроение-(1700)Медицина-(12668)Менеджмент-(24684)Механика-(15423)Науковедение-(506)Образование-(11852)Охрана труда-(3308)Педагогика-(5571)Полиграфия-(1312)Политика-(7869)Право-(5454)Приборостроение-(1369)Программирование-(2801)Производство-(97182)Промышленность-(8706)Психология-(18388)Религия-(3217)Связь-(10668)Сельское хозяйство-(299)Социология-(6455)Спорт-(42831)Строительство-(4793)Торговля-(5050)Транспорт-(2929)Туризм-(1568)Физика-(3942)Философия-(17015)Финансы-(26596)Химия-(22929)Экология-(12095)Экономика-(9961)Электроника-(8441)Электротехника-(4623)Энергетика-(12629)Юриспруденция-(1492)Ядерная техника-(1748)

Поршневые двигатели (пневмоцилиндры)




Пневматический привод

Расчет приводов зажимных устройств

 

Как указывалось в предыдущих главах, приводы используются в приспособлениях с зажимными устройствами первой и третьей групп. В зажимных устройствах первой группы применяются пневматические, гидравлические, пневмогидравлические, механогидравлические, центробежно-инерционные и другие приводы. В третьей группе - вакуумные, магнитные, электростатические и др.

Пневматический привод состоит из пневмодвигателя, воздухопроводов и пневматической аппаратуры различного назначения. Энергоносителем здесь является сжатый воздух с давлением Р = 0,4 - 0,6 Мпа. Расчет на прочность элементов пневмопривода производят при давлении Р = 0,6 МПа, а величину развиваемого им усилия Ри при давлении Р = 0,4 МПа.

Пневмодвигатели выполняют в виде поршневых цилиндров и диафрагменных пневмокамер.

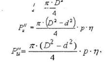
Они подразделяются на одинарные и сдвоенные. В одинарных имеется один поршень, а в сдвоенных - два. Они могут быть также одностороннего и двухстороннего действия (рис. 7.1).

Рис. 7.1. Пневмоцилиндр двухстороннего действия

1. Для пневмоцилиндров одностороннего действия

где к - характеристика пружины,

a - величина сжатия.

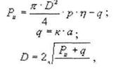
2. Для пневмоцилиндров двухстороннего действия

где КПД»0,85,

q - сопротивление возвратной пружины.




Поделиться с друзьями:


Дата добавления: 2014-11-18; Просмотров: 679; Нарушение авторских прав?; Мы поможем в написании вашей работы!


Нам важно ваше мнение! Был ли полезен опубликованный материал? Да | Нет



studopedia.su - Студопедия (2013 - 2026) год. Все материалы представленные на сайте исключительно с целью ознакомления читателями и не преследуют коммерческих целей или нарушение авторских прав! Последнее добавление




Генерация страницы за: 0.012 сек.