Студопедия

КАТЕГОРИИ:


Архитектура-(3434)Астрономия-(809)Биология-(7483)Биотехнологии-(1457)Военное дело-(14632)Высокие технологии-(1363)География-(913)Геология-(1438)Государство-(451)Демография-(1065)Дом-(47672)Журналистика и СМИ-(912)Изобретательство-(14524)Иностранные языки-(4268)Информатика-(17799)Искусство-(1338)История-(13644)Компьютеры-(11121)Косметика-(55)Кулинария-(373)Культура-(8427)Лингвистика-(374)Литература-(1642)Маркетинг-(23702)Математика-(16968)Машиностроение-(1700)Медицина-(12668)Менеджмент-(24684)Механика-(15423)Науковедение-(506)Образование-(11852)Охрана труда-(3308)Педагогика-(5571)Полиграфия-(1312)Политика-(7869)Право-(5454)Приборостроение-(1369)Программирование-(2801)Производство-(97182)Промышленность-(8706)Психология-(18388)Религия-(3217)Связь-(10668)Сельское хозяйство-(299)Социология-(6455)Спорт-(42831)Строительство-(4793)Торговля-(5050)Транспорт-(2929)Туризм-(1568)Физика-(3942)Философия-(17015)Финансы-(26596)Химия-(22929)Экология-(12095)Экономика-(9961)Электроника-(8441)Электротехника-(4623)Энергетика-(12629)Юриспруденция-(1492)Ядерная техника-(1748)

Прямая и обратная задачи




Основные уравнения размерных цепей и их расчет.

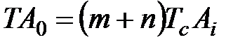
Для проведения размерного анализа кроме размерной схемы необходимо составить уравнение размерной цепи, вытекающее из условия замкнутости: Если в размерную цепь входит m увеличивающих звеньев и n уменьшающих звеньев, то уравнение линейной размерной цепи имеет вид:

(1)

При расчете размерных цепей могут решаться две задачи:

1. Определение допуска и предельных отклонений составляющих размеров по заданным номинальным размерам всех звеньев цепи и заданным предельным размерам исходного (замыкающего) звена. (Прямая задача или проектный расчет).

2. Определение номинального размера и допуска замыкающего звена по заданным номинальным размерам и предельным отклонениям составляющих звеньев. (Обратная задача или проверочный расчет).

При выборе метода решения размерных цепей необходимо учитывать:

· Функциональное назначение изделия;

· Его конструктивные и технологические особенности;

· Стоимость изготовления и сборки;

· Эксплуатационные требования;

· Тип производства и другие факторы.

Заданная точность исходного звена должна достигаться с наименьшими технологическими и эксплуатационными затратами.

При прочих равных условиях рекомендуется в первую очередь выбирать такие методы решения размерных цепей, при которых сборка производиться без подбора, пригонки и регулирования, т.е. методы полной взаимозаменяемости и вероятностный.

Если применение этих методов экономически нецелесообразно или технически невозможно, следует перейти к использованию одного из методов неполной взаимозаменяемости.

При выборе метода расчета цепей можно ориентироваться на среднюю величину допуска составляющих звеньев или среднюю степень точности (квалитет) составляющих звеньев.

(2)

(3)

1.Метод полной взаимозаменяемости.

После составления уравнения размерной цепи (1) и решения его относительно можно определить предельные размеры замыкающего звена:

(4)

(5)

Вычитая почленно из (4) выражение (5) получим формулу для определения допуска замыкающего звена:

(6)

(7)

Анализируя формулу (7) можно сделать следующие выводы:

1. В качестве замыкающего звена при сборке или изготовлении необходимо принимать наименее ответственный размер.

2. Точность замыкающего звена увеличивается с уменьшением допусков составляющих звеньев.

3. Сокращение числа звеньев приводит к повышению точности замыкающего звена; чем меньше число составляющих, тем больше допуски на составляющие звенья при той же величине допуска на исходное (замыкающее) звено, тем меньше стоимость изготовления.

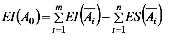
Если из уравнений (4) и (5) вычесть последовательно уравнение (1), получим

выражения для определения предельных отклонений замыкающего (исходного) звена:

(8)

(9)

При расчете размерных цепей часто оказывается удобным оперировать не предельными отклонениями ES и EI, а средними отклонениями Е

(10)

Сложив почленно уравнения (8) и (9) и учитывая (10) получим среднее отклонение поля замыкающего звена.

(11)

Решение прямой задачи.

Такая задача встречается гораздо чаще. Она наиболее важна, поскольку конечная цель расчета допусков составляющих размеров при заданной точности сборки (заданном допуске исходного звена) – обеспечить выполнение машиной ее функционального назначения. Эту задачу можно решать одним из следующих способов.

Способ равных допусков.

Применяется, если составляющие размеры входят в один интервал размеров и могут быть выполнены с примерно одинаковой экономической точностью.

Допуски всех составляющих звеньев принимаются одинаковыми.

(12)

Используя уравнение (7) и равенство (12) получим выражение (2):

(2)

Полученный средний допуск корректируют для всех или некоторых составляющих звеньев в завасимости от их номинальных размеров, технологических возможностей изготовления, конструктивных требований. При этом должно выполняться условие:

(13)

При этом выбирают стандартные поля допусков желательно предпочтительного применения.

Способ равных допусков прост, но недостаточно точен, т.к. корректировка допусков произвольна. Его можно рекомендовать для предварительного назначения допусков составляющих размеров.

Способ допусков одного квалитета.

Применяется, если все составляющие размеры могут быть выполнены с допуском одного квалитета и допуски составляющих размеров зависят от их номинального значения.

Известны номинальные размеры всех звеньев и предельные отклонения исходного (замыкающего звена).

Требуемый квалитет определяют следующим образом:

Допуск составляющего размера: , где

Используя формулу (7):

По условию . Тогда

Откуда получаем формулу (3):

(3)

По значению выбирают ближайший квалитет. Найдя по таблицам ГОСТа 25347-82 допуски составляющих размеров, корректируют их значения. Допуски для охватывающих размеров рекомендуется определять как для основного отверстия, а для охватываемых – как для основного вала. При этом должно соблюдаться условие (13).

Найдя допуски по заданным отклонениям и определяют значения и знаки верхних и нижних отклонений составляющих размеров так, чтобы они удовлетворяли уравнениям (8) и (9).

 

2. Теоретико – вероятный метод.

 

Детали соединяются на сборке, как правило, без пригонки, регулировки, подбора, при этом у небольшого (заранее принятого) количества изделий (обычно 3 изделия на 1000, процент риска 0,27) значения замыкающих звеньев могут выйти за установленные пределы. Расчет размерной цепи производится вероятностным методом.

 

Преимущества:

Те же, что и у метода полной взаимозаменяемости плюс экономичность изготовления деталей за счет расширенных полей допусков (по сравнению с предыдущим методом).

 

Недостатки:

Возможны, хотя и маловероятны, дополнительные затраты на замену или подгонку некоторых деталей.

 

Область применения.

В серийном и массовых производствах; при малом допуске исходного звена и большом числе составляющих звеньев.

Расчет размерных цепей теоретико – вероятностным методом.

 

Этот метод базируется на основных зависимостях метода максимума – минимума. Однако он учитывает более реальное распределение размеров в пределах поля допуска. В теории размерных цепей наиболее часто применяются следующие основные законы рассеивания размеров деталей: а) нормальный закон (закон Гаусса); б) закон треугольника (закон Симсона).

 

Уравнение (7) для определения допуска замыкающего (исходного) звена при расчете ТВМ принимает вид:

(14)

где - коэффициент относительного рассеивания, зависящий от закона рассеивания.

При расчетах коэффициент принимают равным:

, если ничего не известно о характере кривой рассеивания размеров деталей (мелкосерийное и индивидуальное производство);

, если предполагается, что рассеивание размеров деталей близко к закону треугольника;

,если кривая рассеивания имеет нормальный хар-тер.

Лекция № 11 «Взаимозаменяемость, методы и средства измерения и контроля зубчатых передач»

Зубчатые колеса и передачи классифицируют по различным признакам, например по виду поверхностей, на которых располагаются зубцы (цилиндрические и конические, внутренние и внешние), по направлению зубцов (прямозубые, косозубые, винтовые, шевронные), по профилю зубцов (эвольвентные, циклоидальные, часовые, цевочные, Новикова), по направлению осей вращения (цилиндрические – с параллельными осями, конические – с пересекающимися, винтовые и червячные – со скрещивающимися). Среди множества классификаций важнейшими для определения точностных параметров являются те, которые определяют функциональное назначение передачи.

 

Требования, предъявляемые к точности зубчатых передач, зависят от назначения передач и условий их эксплуатации. В приборах, делительных машинах и технологическом оборудовании для нарезания резьбы и зубчатых колес применяют так называемые "отсчетные передачи", в которых главное внимание уделяют пропорциональности углов поворота зубчатых колес или кинематической точности. Кинематическая точность передачи определяет постоянство передаточного отношения за полный оборот зубчатого колеса. Колеса этих передач в большинстве случаев имеют малый модуль и работают при малых нагрузках и низких скоростях.

 

Достаточно часто встречаются в технике и "силовые" или тяжело нагруженные зубчатые передачи, к которым не предъявляют высоких требований точности вращения (передачи в домкратах, лебедках, прессах и т.д.). При передаче больших крутящих моментов требуется хороший контакт боковых поверхностей зубьев в передаче и максимальное использование площади рабочих поверхностей зубьев.

Деление зубчатых передач на "отсчетные" и "силовые" достаточно условно, поскольку все они передают крутящие моменты и все должны обеспечить пропорциональность углов поворота. Например, передачи в механических или электронно-механических часах вполне могут оказаться "силовыми", если малые по абсолютному значению крутящие моменты передаются узкими зубцами с мелким модулем.

Если у зубчатых передач нет явно выраженного эксплуатационного характера, их относят к передачам общего назначения. К таким передачам не предъявляют повышенных требований по точности.

В редукторах турбин и высокооборотных двигателей, в других изделиях с высокой круговой частотой вращения применяют "скоростные передачи" (высокоскоростные, быстроходные), для которых основными являются требования к плавности работы, что необходимо для снижения уровня вибраций и шума при работе изделия. Плавность работы передачи зависит от колебания мгновенных передаточных отношений, то есть от разностей передаточных отношений в каждый момент зацепления, которые многократно воспроизводятся за один оборот зубчатого колеса. Основными источниками неплавности работы являются такие погрешно

 

сти зубчатых колес, как неправильное взаимное расположение зубьев (погрешности шага) и неточность формы рабочих поверхностей (погрешности формы профиля зубьев).

Колеса скоростных передач, как правило, имеют средние модули и передают не слишком большие моменты, однако их зубья могут подвергаться значительным динамическим воздействиям.

В зависимости от условий работы меняются требования и к боковому зазору между нерабочими профилями зубьев. Эвольвентное зацепление теоретически способно работать при нулевых боковых зазорах (толщина зуба, находящегося в зацеплении, равна ширине впадины ответного колеса). Однако неточности изготовления зубчатого венца приводят к искажению формы и взаимному смещению реальных профилей зубьев, что может вызвать их деформацию или поломку. Видоизменяют профиль зубьев и его расположение также температурные и силовые деформации. Смещение реальных профилей зубьев может также быть следствием неточностей монтажа зубчатых колес.

Для компенсации неточностей изготовления и монтажа, силовых и температурных деформаций используют зазор между нерабочими сторонами профилей зубьев находящихся в зацеплении колес. Ширина впадины, превышающая толщину зуба, обеспечивает не только компенсацию технологических погрешностей и деформаций, но и служит также для размещения между зубьями слоя смазки, которая при отсутствии зазоров выдавливалась в процессе работы.

В реверсивных передачах и передачах, работающих в старт-стопном режиме, назначают минимальный боковой зазор, что позволяет предупреждать удары при перемене направления вращения или начале движения после остановки. Значительные зазоры назначают в передачах, работающих при высоких температурах, и т.д.

 

ГОСТ 1643-81 позволяет установить двенадцать степеней точности цилиндрических зубчатых колес и передач – с 1 по 12 в порядке убывания точности. В настоящее время допуски и предельные отклонения параметров зубчатых колес и передач нормированы для степеней точности 3...12, а степени 1 и 2 предусмотрены как перспективные. Для каждой передачи (и зубчатого колеса) установлены нормы точности (степени точности) трех видов, определяющие степени кинематической точности, плавности работы и контакта зубьев.

Независимо от степеней точности устанавливают виды сопряжений, которые определяют требования к боковому зазору. ГОСТ 1643-81 устанавливает для зубчатых колес и передач с модулем больше 1 шесть видов сопряжений (A, B, C, D, E, H) и восемь видов допуска (a, b, c, d, h, x, y, z) гарантированного бокового зазора jn min(рис.). С увеличением в сопряжении гарантированного бокового зазора jn min обычно предусматривается возрастание вида допуска зазора обозначаемого одноименной виду сопряжения строчной буквой (кроме вида допуска e). В большинстве случаев для зубчатых колес и передач рекомендуется поддерживать определенное соответствие между видом сопряжения, допуском бокового зазора и классом отклонения межосевого расстояния.

 

 




Поделиться с друзьями:


Дата добавления: 2014-11-08; Просмотров: 2629; Нарушение авторских прав?; Мы поможем в написании вашей работы!


Нам важно ваше мнение! Был ли полезен опубликованный материал? Да | Нет



studopedia.su - Студопедия (2013 - 2025) год. Все материалы представленные на сайте исключительно с целью ознакомления читателями и не преследуют коммерческих целей или нарушение авторских прав! Последнее добавление




Генерация страницы за: 0.009 сек.