Студопедия

КАТЕГОРИИ:


Архитектура-(3434)Астрономия-(809)Биология-(7483)Биотехнологии-(1457)Военное дело-(14632)Высокие технологии-(1363)География-(913)Геология-(1438)Государство-(451)Демография-(1065)Дом-(47672)Журналистика и СМИ-(912)Изобретательство-(14524)Иностранные языки-(4268)Информатика-(17799)Искусство-(1338)История-(13644)Компьютеры-(11121)Косметика-(55)Кулинария-(373)Культура-(8427)Лингвистика-(374)Литература-(1642)Маркетинг-(23702)Математика-(16968)Машиностроение-(1700)Медицина-(12668)Менеджмент-(24684)Механика-(15423)Науковедение-(506)Образование-(11852)Охрана труда-(3308)Педагогика-(5571)Полиграфия-(1312)Политика-(7869)Право-(5454)Приборостроение-(1369)Программирование-(2801)Производство-(97182)Промышленность-(8706)Психология-(18388)Религия-(3217)Связь-(10668)Сельское хозяйство-(299)Социология-(6455)Спорт-(42831)Строительство-(4793)Торговля-(5050)Транспорт-(2929)Туризм-(1568)Физика-(3942)Философия-(17015)Финансы-(26596)Химия-(22929)Экология-(12095)Экономика-(9961)Электроника-(8441)Электротехника-(4623)Энергетика-(12629)Юриспруденция-(1492)Ядерная техника-(1748)

Биологические функции углеводов




Классификация углеводов и их свойства

Содержание углеводов в живой материи

Углеводы – самые распространенные на Земле органические вещества. Они содержатся в клетках всех живых организмов. Название «углеводы» произошло потому, что первые известные вещества этого класса состояли как бы из углерода и воды. Общая их формула Сn(Н2O)m. У большинства углеводов число атомов водорода в 2 раза превышает количество атомов кислорода. Позднее были найдены углеводы, не отвечающие этой общей формуле, но название «углеводы» сохранилось.

В животных клетках углеводов немного: 1–2, иногда до 5% (например, в клетках печени). Растительные клетки, напротив, богаты углеводами – там их содержание достигает 90% сухой массы.

 

Углеводы, или сахариды, по особенностям строения делятся на три группы.

1. Моносахариды (монозы, или простые сахара) – состоят из одной молекулы и представляют собой твердые кристаллические вещества, бесцветные и хорошо растворимые в воде. Почти все они обладают приятным сладким вкусом.

Сахароза  

 

Наиболее широко распространены в животном и растительном мире пентозы и гексозы. Пентозы представлены такими важными соединениями, как рибоза5Н10О5) и дезоксирибоза5Н10О4). В дезоксирибозе около одного из атомов углерода отсутствует кислород, отсюда и название этого углевода. Рибоза и дезоксирибоза входят в состав мономеров нуклеиновых кислот – ДНК и РНК, а также в состав АТФ.

Схемы строения - и -глюкозы     Из гексоз наиболее широко распространены глюкоза, фруктоза и галактоза. Их общая формула С6Н12О6. Глюкоза – виноградный сахар. Она входит в состав важнейших ди- и полисахаридов. Глюкоза – первичный и главный источник энергии для клеток. Фруктоза в большом количестве встречается в плодах, поэтому ее часто называют плодовым сахаром. Особенно много фруктозы в меде, фруктах, сахарной свекле. Галактоза – пространственный изомер глюкозы. Она входит в состав лактозы – молочного сахара, а также некоторых полисахаридов.

2. Олигосахариды составляют промежуточную группу между моносахаридами и полисахаридами. Они содержат от 2 до 10 моносахаридных остатков. В зависимости от количества остатков моносахаридов (количества мономерных звеньев), входящих в молекулы олигосахаров, различают дисахариды, трисахариды и т.д. Наиболее широко распространены в природе дисахариды, молекулы которых образованы двумя остатками моносахаридов. К ним относятся сахароза, лактоза и мальтоза. наиболее часто встречаются в природе дисахариды: мальтоза, или солодовый сахар, состоящий из двух молекул глюкозы; лактоза, входящая в состав молока и состоящая из галактозы и глюкозы; сахароза, или свекловичный сахар, включающий глюкозу и фруктозу. Дисахариды, как и моносахариды, растворимы в воде и обладают сладким вкусом.

 

Олигосахариды еще называют сахароподобными веществами.

 

3. Полисахариды второго порядка, или несахароподобные сложные углеводы, в воде не растворяются, сладкого вкуса не имеют. Образуются в результате реакции поликонденсации и состоят из большого числа моносахаридов. Молекулярная масса велика и составляет от нескольких тысяч до нескольких миллионов. Важнейшими полисахаридами являются крахмал, гликоген, целлюлоза, хитин, муреин.

Крахмал является смесью двух полимеров -глюкозы: амилозы и амилопектина. Амилоза состоит из остатков глюкозы, соединенных в неразветвленную цепь. В составе амилозы – от 60 до 300 остатков глюкозы. Молекулы амилозы свернуты в спирали. Амилоза способна растворяться в горячей воде и в присутствии йода окрашивается в синий цвет. Амилопектин состоит как из линейных, так и из разветвленных цепей, образованных примерно 1500 остатками глюкозы. Амилопектин окрашивается йодом в сине-фиолетовый цвет.

Количество остатков глюкозы в молекуле крахмала исчисляется несколькими тысячами. Его общая формула (С6Н10О5)n. Крахмал содержится в большом количестве, например, в клубнях картофеля, в большинстве семян и во многих плодах. Запасается крахмал в виде крахмальных зерен, наиболее крупные они у картофеля, а самые мелкие – у риса и гречихи.

Гликоген – полисахарид, содержащийся в тканях тела животных и человека, а также грибах, дрожжах и зерне сахарной кукурузы. Гликоген играет важную роль в превращениях углеводов в животных организмах. Он в значительных количествах накапливается в печени, мышцах, сердце и других органах. Гликоген поставляет глюкозу в кровь. Он является полимером -глюкозы и по структуре напоминает амилопектин, но разветвлены его полимерные цепи сильнее. Молекула гликогена состоит примерно из 30 тыс. остатков глюкозы.

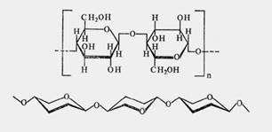
Клетчатка (целлюлоза) – главный структурный полисахарид клеточных стенок растений. В ней аккумулировано около 50% всего углерода биосферы. Клетчатка нерастворима в воде. По своей структуре это линейный полимер. Ее молекула представляет собой неразветвленную вытянутую цепочку моносахаридов, представленных -глюкозой. Множество линейных молекул целлюлозы уложено параллельно и «связано в пучки» водородными связями.

Поперечная связь между цепями препятствует проникновению воды, поэтому целлюлоза очень устойчива к гидролизу и, следовательно, является прекрасным строительным материалом, идеально подходящим для растений.

 

 

Конформация молекулы целлюлозы

 

Хитин – это другой полимер, мономером которого является аминопроизводное -глюкозы – N - ацетилглюкозамин. Хитин является еще одним строительным материалом, которого особенно много в наружном скелете членистоногих и в клеточных стенках грибов.

Таким образом, углеводы – разнообразная по своему строению, а следовательно, и по физическим и химическим свойствам, группа веществ. Это многообразие позволяет им выполнять в клетках и организмах многочисленные функции.

 

Со многими функциями этих органических веществ мы уже познакомились выше, поэтому подчеркнем лишь главные функции углеводов.

1. Энергетическая – углеводы служат источником энергии для организма. При окислении 1 г углеводов выделяется 17,6 кДж (4,2 ккал) энергии. Следует отметить, что сахара являются главным источником быстро мобилизуемой энергии, так как в процессе пищеварения они легко переводятся в форму, пригодную для удовлетворения энергетических потребностей клеток.

2. Строительная – целлюлоза входит в состав клеточных стенок растений, хитин обнаруживается в клеточной стенке грибов и в наружном скелете членистоногих, гликопротеиды – соединения углеводов с белками входят в состав хрящевой и костной ткани животных.

3. Запасающая – выражается в том, что крахмал накапливается клетками растений, а гликоген – клетками животных. Эти вещества служат для клеток и организмов источником глюкозы, которая легко высвобождается по мере необходимости.

4. Защитная – гепарин – ингибитор свертывания крови; слизи, выделяемые различными железами и богатые углеводами, предохраняют пищевод, кишечник, желудок, бронхи от механических повреждений, препятствуют проникновению в организм бактерий и вирусов; камеди, выделяющиеся в местах повреждения стволов и ветвей, защищают деревья и кустарники от проникновения инфекций через раны.

5. Составная часть жизненно важных веществ – входят вместе с белками в состав ферментов, входят в состав ДНК, РНК, АТФ, участвуют в синтезе коферментов НАД+, НАДФ+, ФАД+.

6. Участие в фиксации углерода – рибулозобисфосфат является непосредственным акцептором углекислого газа в темновой фазе фотосинтеза.




Поделиться с друзьями:


Дата добавления: 2014-12-08; Просмотров: 1388; Нарушение авторских прав?; Мы поможем в написании вашей работы!


Нам важно ваше мнение! Был ли полезен опубликованный материал? Да | Нет



studopedia.su - Студопедия (2013 - 2026) год. Все материалы представленные на сайте исключительно с целью ознакомления читателями и не преследуют коммерческих целей или нарушение авторских прав! Последнее добавление




Генерация страницы за: 0.009 сек.