Студопедия

КАТЕГОРИИ:


Архитектура-(3434)Астрономия-(809)Биология-(7483)Биотехнологии-(1457)Военное дело-(14632)Высокие технологии-(1363)География-(913)Геология-(1438)Государство-(451)Демография-(1065)Дом-(47672)Журналистика и СМИ-(912)Изобретательство-(14524)Иностранные языки-(4268)Информатика-(17799)Искусство-(1338)История-(13644)Компьютеры-(11121)Косметика-(55)Кулинария-(373)Культура-(8427)Лингвистика-(374)Литература-(1642)Маркетинг-(23702)Математика-(16968)Машиностроение-(1700)Медицина-(12668)Менеджмент-(24684)Механика-(15423)Науковедение-(506)Образование-(11852)Охрана труда-(3308)Педагогика-(5571)Полиграфия-(1312)Политика-(7869)Право-(5454)Приборостроение-(1369)Программирование-(2801)Производство-(97182)Промышленность-(8706)Психология-(18388)Религия-(3217)Связь-(10668)Сельское хозяйство-(299)Социология-(6455)Спорт-(42831)Строительство-(4793)Торговля-(5050)Транспорт-(2929)Туризм-(1568)Физика-(3942)Философия-(17015)Финансы-(26596)Химия-(22929)Экология-(12095)Экономика-(9961)Электроника-(8441)Электротехника-(4623)Энергетика-(12629)Юриспруденция-(1492)Ядерная техника-(1748)

Принцип работы навигационной аппаратуры. 2 страница




 

 

Рис. Измерение дирекционных углов с помощью хордоугломера

а – острый угол; б – тупой угол

 

На передней горизонтальной шкале хордоугломера, через 1-00 нанесены величины хорд, соответствующие углам от 0-00 до 15-00. Малые деления (0-20, 0-40 и т.д.) подписаны цифрами 2, 4, 6, 8. Цифры 2, 4, 6, и т.д. на левой вертикальной шкале обозначают углы в единицах делений угломера (0-02, 0-04, 0-06 и т.д.). Оцифровка делений на нижней горизонтальной и правой вертикальной шкалах предназначена для определения длины хорд при построении дополнительных до 30-00 углов.

Измерение угла с помощью хордоугломера выполняют в следующем порядке. Через главные точки условных знаков исходного пункта и местного предмета, на который определяется дирекционный угол, проводят на карете тонкую прямую линию длиной не менее 15 см. Из точки пересечения этой линии с вертикальной линией координатной сетки карты циркулем–измерителем делают засечки на линиях, образовавших острый угол, радиусом, равным расстоянию на хордоугломере от 0 до 10 больших делений. Затем измеряют хорду – расстояния между отметками. Не изменяя раствора циркуля-измерителя, левую его иглу передвигают по крайней левой вертикальной линии шкалы хордоугломера до тех пор, пока правая игла не совпадает с каким-либо пересечением наклонной и горизонтальной линии. Левая и правая иглы циркуля-измерителя должны быть всегда на одной и той же горизонтальной линии. В таком положении игл снимают отсчет по хордоугломеру.

Если угол меньше 15-00 (90 ), то по верхней шкале хордоугломера отсчитывают большие деления и десятки малых делений угломера, а по левой вертикальной шкале – единицы делений угломера. На рис. хорда АВ соответствует углу 3-25.

Если угол больше 15-00, то измеряют дополнение до 30-00, а отсчеты снимают по нижней горизонтальной и правой вертикальной шкалам.

Средняя ошибка измерения угла хордоугломером составляет 0-01 - 0-02.

Сближение меридианов. Переход от геодезического азимута к дирекционному углу.

Сближение меридианов - это угол в данной точке между ее меридианом и линией, параллельной оси абсцисс или осевому меридиану (рис.).

Рис. Сущность сближения меридианов

 

Направлению геодезического меридиана на топографической карте соответствуют боковые стороны ее рамки, а также прямые линии, которые можно провести между одноименными минутными делениями долгот.

Счет сближения меридианов ведется от геодезического меридиана. Сближение меридианов, считается положительным, если северное направление оси абсцисс отклонено к востоку от геодезического меридиана (рис.), и отрицательным, если это направление отклонено к западу.

Величина сближения меридианов, указанная на топографической карте в левом нижнем углу, относится к центру листа карты.

При необходимости величину сближения меридианов можно вычислить по формуле

где L – долгота данной точки

L0 – долгота осевого меридиана зоны, в которой расположена точка;

В – широта данной точки.

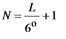
Широту и долготу точки определяют по карте с точностью до 30//, а долготу осевого меридиана зоны рассчитывают по формуле:

L0 = 6 N - 3 ,

где N – номер зоны, который имеет вид

().

Сближение меридианов равно нулю, если точка находится на осевом меридиане зоны или на экваторе. Для любой точки в пределах одной координатной шестиградусной зоны сближение меридианов по абсолютной величине не превышает 30.

 

 

Рис. Зависимость между геодезическим азимутом, дирекционным углом

и сближением меридианов

Геодезический азимут направления отличается от дирекционного угла на величину сближения меридианов (рис.). Зависимость между ними может быть выражена формулой:

.

Из формулы легко найти выражение для определения дирекционного угла по известным значениям геодезического азимута и сближения меридианов:

.

Магнитное склонение. Переход от магнитного азимута к геодезическому азимуту.

Свойство магнитной стрелки занимать определенное положение в данной точке пространства обусловлено взаимодействием ее магнитного поля с магнитным полем Земли.

Направление установившейся магнитной стрелки в горизонтальной плоскости соответствует направлению магнитного меридиана в данной точке. Магнитный меридиан в общем случае не совпадает с геодезическим меридианом

Угол между геодезическим меридианом данной точки и ее магнитным меридианом называется склонением магнитной стрелки или магнитным склонением.

Магнитное склонение считается положительным, если северный конец магнитной стрелки отклонен к востоку от геодезического меридиана (восточное склонение), и отрицательным, если он отклонен к западу (западное склонение).

Зависимость между геодезическим азимутом, магнитным азимутом и магнитным склонением может быть выражена формулой

А = Ам +().

 

 

Рис. Зависимость между геодезическим азимутом, магнитным азимутом и

магнитным склонением

Величина магнитного склонения подвержена суточным, годовым и вековым колебаниям, а также временным возмущениям под действием магнитных бурь. Величина магнитного склонения и его годовые изменения указаны на каждом листе топографической карты. Суточное колебание магнитного склонения достигает 15/ (0-04) и при точных измерениях магнитного азимута учитывается по графику поправок, составленному в зависимости от времени суток.

На картах масштабов 1:500000 и 1:1000000 показываются районы магнитных аномалий и в каждом из них подписывается значение амплитуды колебания магнитного склонения.

Переход от магнитного азимута к дирекционному углу и обратно.

На местности при помощи компаса (бусоли) измеряют магнитные азимуты направлений, от которых затем переходят к дирекционным углам. На карте, наоборот, измеряют дирекционные углы и от них переходят к магнитным азимутам направлений на местности. Для решения этих задач необходимо знать величину отклонения магнитного меридиана в данной точке от вертикальной линии координатной сетки карты.

Угол, образованный вертикальной линией координатной сетки и магнитным меридианом, представляющий собой сумму сближения меридианов и магнитного склонения называется отклонением магнитной стрелки или поправкой направления (ПН). Он отсчитывается от северного направления вертикальной линии координатной сетки и считается положительным, если северный конец магнитной стрелки отклоняется к востоку от этой линии, и отрицательным при западном отклонении магнитной стрелки.

Поправку направления и составляющие ее сближение меридианов и магнитное склонение приводят на карте под южной стороной рамки в виде схемы с пояснительным текстом.

Поправку направления в общем случае можно выразить формулой

ПН=( )-().

Если на карте измерен дирекционный угол направления, то магнитный азимут этого направления на местности

Ам .

Измеренный на местности магнитный азимут какого-либо направления переводится в дирекционный угол этого направления по формуле

.

Чтобы избежать ошибок при определении величины и знака поправки направления нужно пользоваться помещаемой на карте схемой направлений геодезического меридиана, магнитного меридиана и вертикальной линии координатной сетки.

При точных измерениях переход от дирекционных углов к магнитным азимутам и обратно выполняется с учётом годового изменения магнитного склонения. Сначала определяют склонение магнитной стрелки на данное время (указанное на карте годовое изменение склонения магнитной стрелки умножают на число лет, прошедших после создания карты), затем полученную величину алгебраически суммируют с величиной склонения магнитной стрелки, указанной на карте. После этого переходят от измеренного дирекционного угла к магнитному азимуту по приведенным выше формулам.

 

Тема № 5. Ориентирование на местности без карты и по карте.

 

Сущность и способы ориентирования подчинённых на поле боя (без карты).

 

Ориентироваться на местности - это значит определить свое местоположение и направления на стороны горизонта относительно окружающих местных предметов и форм рельефа, найти указанное направление движения и точно выдержать его в пути. При ориентировании в боевой обстановке определяют также местоположение подразделения относительно своих войск и войск противника, расположение ориентиров, направление и глубину действий.

Сущность ориентирования.

Ориентирование на местности может быть общее и детальное.

Общее ориентирование заключается в приближенном определении своего местонахождения, направления движения и времени, необходимого для достижения конечного пункта движения. Такое ориентирование чаще всего применяется на марше, когда экипаж машины не имеет карты, а использует лишь заранее составленную схему или список населенных пунктов и других ориентиров по маршруту. Для выдерживания направления движения в таком случае необходимо постоянно следить за временем движения, пройденным расстоянием, определяемым по спидометру машины, и контролировать по схеме (списку) прохождение населенных пунктов и других ориентиров.

Детальное ориентирование заключается в точном определении своего местоположения и направления движения. Оно применяется при ориентировании по карте, аэроснимкам, приборам наземной навигации, при движении по азимуту, нанесении на карту или схему разведанных объектов и целей, при определении достигнутых рубежей и в других случаях.

При ориентировании на местности широко используются простейшие способы ориентирования: по компасу, небесным светилам и признакам местных предметов, а также, более сложный способ – ориентирование по карте.

 

Определение сторон горизонта и расстояний на местности без карты.

Для отыскания направления по сторонам света вначале определяют направление север-юг; после чего, став лицом к северу, определяющий будет иметь направо - восток, налево - запад. Стороны света обыкновенно находят по компасу, а при отсутствии его - по Солнцу, Луне, звездам и по некоторым признакам местных предметов.

Определение направлений на стороны горизонта по небесным светилам

При отсутствии компаса или в районах магнитных аномалий, где компас может дать ошибочные показания (отсчеты), стороны горизонта можно определить по небесным светилам: днем - по Солнцу, а ночью - по Полярной звезде или Луне.

По Солнцу.

В северном полушарии места восхода и захода Солнца по временам года следующее:

зимой Солнце восходит на юго-востоке, а заходит на юго-западе;

летом Солнце восходит на северо-востоке, а заходит на северо-западе;

весной и осенью Солнце восходит на востоке, а заходит на западе.

Солнце примерно находится в 7.00 на востоке, в 13.00 - на юге, в 19.00 - на западе. Положение Солнца в эти часы и укажет соответственно направления на восток, юг и запад.

Самая короткая тень от местных предметов бывает в 13 часов, и направление тени от вертикально расположенных местных предметов в это время будет указывать на север.

Для более точного определения сторон горизонта по Солнцу используются наручные часы.

Рис. 1. Определение сторон горизонта по Солнцу и часам. а – до 13 часов; б – после 13 часов. Рис. 2. Определение сторон горизонта по Полярной звезде По Луне. Для приблизительного ориентирования (см. таблица 1) нужно знать, что летом в первую четверть Луна в 19 асов находится на юге, в 1час ночи - на западе, в последнюю четверть в 1час ночи - на востоке, в 7часов утра - на юге. При полнолунии ночью стороны горизонта определяются так же, как по Солнцу и часам, причем Луна принимается за Солнце (рис. 3). По Солнцу и часам В горизонтальном положении часы устанавливаются так, чтобы часовая стрелка была направлена на Солнце. Угол между часовой стрелкой и направлением на цифру 1 на циферблате часов делится пополам прямой линией, которая указывает направление на юг. До полудня надо делить пополам ту дугу (угол), которую стрелка должна пройти до 13.00 (рис. 1, а), а после полудня - ту дугу, которую она прошла после 13.00 (рис. 1, б). По Полярной звезде Полярная звезда всегда находится на севере. Чтобы найти Полярную звезду, надо сначала найти созвездие Большой Медведицы, напоминающее ковш, составленный из семи довольно ярких звезд. Затем через две крайние правые звезды Большой Медведицы мысленно провести линию, на которой отложить пять раз расстояние между этими крайними звездами, и тогда в конце этой линии найдем Полярную звезду, которая, в свою очередь, находится в хвосте другого созвездия, называемого Малой Медведицей. Став лицом к Полярной звезде, мы получим направление на север (рис. 2). Рис. 3. Определение сторон горизонта по луне и часам.

Таблица 1.

Стороны света Первая четверть (видна, правая половина диска Луны) Полнолуние (виден весь диск Луны) Последняя четверть (видна левая половина диска Луны)
На востоке - 19 часов 01 час (ночи)
На юге 19 часов 01 час (ночи) 07 часов (утра)
На западе 01 час (ночи) 07 часов (утра)  

 

Определение направлений на стороны горизонта по признакам местных предметов.

Если нет компаса и не видно небесных светил, то стороны горизонта могут быть определены по некоторым признакам местных предметов.

По таянию снега.

Известно, что южная сторона предметов нагревается больше чем северная, соответственно и таяние снега с этой стороны происходит быстрее. Это хорошо видно ранней весной и во время оттепелей зимой на склонах оврагов, лунках у деревьев, снегу, прилипшему к камням.

По тени.

В полдень направление тени (она будет самая короткая) указывает на север. Не дожидаясь самой короткой тени можно ориентироваться следующим способом. Воткните в землю палку около 1 метра длиной. Отметьте конец тени. Подождите 10-15 минут и повторите процедуру. Проведите линию от первой позиции тени до второй и продлите на шаг дальше второй отметки. Станьте носком левой ноги напротив первой отметки, а правой - в конце линии, которую вы начертили. Сейчас вы стоите лицом на север.

По местным предметам.

Известно, что смола больше выступает на южной половине ствола хвойного дерева, муравьи устраивают свои жилища с южной стороны дерева или куста и делают южный склон муравейника более пологим, чем северный.

Кора березы и сосны на северной стороне темнее, чем на южной, а стволы деревьев, камни, выступы скал гуще покрыты мхом и лишайниками.

В больших массивах культурного леса определить стороны горизонта можно по просекам, которые, как правило, прорубаются строго по линиям север-юг и восток-запад, а также по надписям номеров кварталов на столбах, установленных на пересечениях просек.

На каждом таком столбе в верхней его части и на каждой из четырех граней проставляются цифры - нумерация противолежащих кварталов леса; ребро между двумя гранями с наименьшими цифрами показывает направление на север (нумерация кварталов лесных массивов в СНГ идет с запада на восток и далее на юг).

По постройкам.

К постройкам, которые довольно строго ориентированы по сторонам горизонта, относятся церкви, мечети, синагоги.

Алтари и часовни христианских и лютеранских церквей обращены на восток, колокольни на запад.

Опущенный край нижней перекладины креста на куполе православной церкви обращен к югу, приподнятый - к северу.

Алтари католических костелов располагаются на западной стороне.

Двери еврейских синагог и мусульманских мечетей обращены примерно на север, их противоположные стороны направлены: мечетей - на Мекку в Аравии, лежащую на меридиане Воронежа, а синагог - на Иерусалим в Палестине, лежащий на меридиане Днепропетровска.

Кумирни, пагоды, буддийские монастыри фасадами обращены на юг.

Выход из юрт обычно делают на юг.

В домах сельской местности больше окон в жилых помещениях прорубается с южной стороны, а краска на стенах строений с южной стороны выцветает больше и имеет жухлый цвет.

Способы определения расстояний на местности.

Очень часто требуется определять расстояния до различных предметов на местности. Наиболее точно и быстро расстояния определяются посредством специальных приборов (дальномеров) и дальномерных шкал биноклей, стереотруб, прицелов. Но из-за отсутствия приборов нередко расстояния определяют с помощью подручных средств и на глаз.

К числу распространенных способов определения дальности (расстояний) до объектов на местности относятся следующие: по угловым размерам объекта; по линейным размерам объектов; глазомерный; по видимости (различимости) объектов; по звуку и др.

Рис. 5. Определение расстояний по угловым размерам объекта (предмета)  

Определение расстояний по угловым размерам предметов (рис. 5) основано на зависимости между угловыми и линейными величинами. Угловые размеры предметов измеряют в тысячных с помощью бинокля, приборов наблюдения и прицеливания, линейки и т.д.

Некоторые угловые величины (в тысячных долях дистанции) приведены в таблице 2.

Таблица 2.

Наименование предметов Размер в тысячных
Толщина большого пальца руки  
Толщина указательного пальца  
Толщина среднего пальца  
Толщина мизинца  
Патрон по ширине дульца гильзы (7,62 мм)  
Гильза 7,62 мм по ширине корпуса  
Карандаш простой 10-11
Спичечная коробка по длине  
Спичечная коробка по ширине  
Спичечная коробка по высоте  
Толщина спички  

Расстояние до предметов в метрах определяют по формуле: , где В - высота (ширина) предмета в метрах; У - угловая величина предмета в тысячных.

Например:

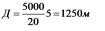
1) угловой размер наблюдаемого в бинокль ориентира (телеграфный столб с подпоркой), высота которого 6 м, равен малому делению сетки бинокля (0-05). Следовательно, расстояние до ориентира будет равно: .

2) угол в тысячных, измеренный линейкой, расположенной на расстоянии 50 см от глаза, (1 мм равен 0-02) между двумя телеграфными столбами 0-32 (телеграфные столбы находятся друг от друга на расстоянии 50 м). Следовательно, расстояние до ориентира будет равно: .

3) высота дерева в тысячных, измеренная линейкой 0-21 (истинная высота дерева 6 м). Следовательно, расстояние до ориентира будет равно: .

Определение расстояний по линейным размерам предметов заключается в следующем.

С помощью линейки, расположенной на расстоянии 50 см от глаза, измеряют в миллиметрах высоту (ширину) наблюдаемого предмета. Затем действительную высоту (ширину) предмета в сантиметрах делят на измеренную по линейке в миллиметрах, результат умножают на постоянное число 5 и получают искомую высоту предмета в метрах.

Рис. 6. Определение расстояний по линейным размерам объекта (предмета)  

Например, расстояние между телеграфными столбами равное 50 м (рис.6) закрывается на линейке отрезок 10 мм. Следовательно, расстояние до телеграфной линии равно:

Точность определения расстояний по угловым и линейным величинам составляет 5-10% длины измеряемого расстояния. Для определения расстояний по угловым и линейным размерам предметов рекомендуется запомнить величины (ширину, высоту, длину) некоторых из них, приведенные в табл. 3.

Таблица 3.

Предмет Размеры, м
Высота Длина Ширина
Средний танк 2-2,5 6-7 3-3 5
Бронетранспортер   5-6 2-2,4
Мотоцикл с коляской     1,2
Грузовой автомобиль 2-2,5 5-6 2-3,5
Легковой автомобиль 1,6   1,5
Пассажирский вагон четырехосный      
Железнодорожная цистерна четырехосная     2,8
Деревянный столб линии связи 5-7 - -
Человек среднего роста 1,7 - -

 

Определение расстояний глазомерным способом

Глазомерный - это самый простой и быстрый способ. Главное в нем - тренированность зрительной памяти и умение мысленно откладывать на местности хорошо представляемую постоянную меру (50, 100, 200, 500 метров). Закрепив в памяти эти эталоны, нетрудно сравнивать с ними и оценивать расстояния на местности.

При измерении расстояния путем последовательного мысленного откладывания хорошо изученной постоянной меры надо помнить, что местность и местные предметы кажутся уменьшенными в соответствии с их удалением, то есть при удалении в два раза и предмет будет казаться в два раза меньше. Поэтому при измерении расстояний мысленно откладываемые отрезки (меры местности) будут уменьшаться соответственно удалению.

При этом необходимо учитывать следующее:

- чем ближе расстояние, тем яснее и резче нам кажется видимый предмет;

- чем ближе предмет, тем он кажется больше;

- более крупные предметы кажутся ближе мелких предметов, находящихся на том же расстоянии;

- предмет более яркой окраски кажется ближе, чем предмет темного цвета;

- ярко освещенные предметы кажутся ближе слабо освещенных, находящихся на том же расстоянии;

- во время тумана, дождя, в сумерки, пасмурные дни, при насыщенности воздуха пылью наблюдаемые предметы кажутся дальше, чем в ясные и солнечные дни;

- чем резче разница в окраске предмета и фона, на котором он виден, тем более уменьшенными кажутся расстояния; так, например, зимой снежное поле как бы приближает находящиеся на нем более темные предметы;

- предметы на ровной местности кажутся ближе, чем на холмистой, особенно сокращенными кажутся расстояния, определяемые через обширные водные пространства;

- складки местности (долины рек, впадины, овраги), невидимые или не полностью видимые наблюдателем, скрадывают расстояние;

- при наблюдении лежа предметы кажутся ближе, чем при наблюдении стоя;

- при наблюдении снизу вверх - от подошвы горы к вершине, предметы кажутся ближе, а при наблюдении сверху вниз - дальше;

- когда солнце находится позади военнослужащего, расстояние скрадывается; светит в глаза - кажется большим, чем в действительности;

- чем меньше предметов на рассматриваемом участке (при наблюдении через водное пространство, ровный луг, степь, пашню), тем расстояния кажутся меньше.

Точность глазомера зависит от натренированности военнослужащего. Для расстояния 1000 м обычная ошибка колеблется в пределах 10-20%.

Определение расстояний по видимости (различимости) объектов.

Невооруженным глазом можно приблизительно определить расстояние до целей (предметов) по степени их видимости. Военнослужащий с нормальной остротой зрения может увидеть и различить некоторые предметы со следующих предельных расстояний, указанных в таблице 4.

Надо иметь в виду, что в таблице указаны предельные расстояния, с которых начинают быть видны те или иные предметы. Например, если военнослужащий увидел трубу на крыше дома, то это означает, что до дома не более 3 км, а не ровно 3 км. Пользоваться данной таблицей как справочной не рекомендуется. Каждый военнослужащий должен индивидуально для себя уточнить эти данные.

Таблица 4.

Объекты и признаки Расстояния, с которых они становятся видимы (различимы)
Отдельный небольшой дом, изба 5 км
Труба на крыше 3 км
Самолет на земле танк на месте 1 2 км
Стволы деревьев, километровые столбы и столбы линии связи 1,0 км
Движение ног и рук бегущего или идущего человека 700 м
Станковый пулемет, миномет, противотанковая пушка, колья проволочных заграждений 500 м
Ручной пулемет, винтовка, цвет и части одежды на человеке, овал его лица 250 - 300 м
Черепица на крышах, листья деревьев, проволока на кольях 200 м
Пуговицы и пряжки, подробности вооружения солдата 100 м
Черты лица человека, кисти рук, детали стрелкового оружия 100 м

Ориентирование по звукам.

Ночью и в туман, когда наблюдение ограничено или вообще невозможно (а на сильно пересеченной местности и в лесу, как ночью, так и днем) на помощь зрению приходит слух.

Военнослужащие обязательно должны учиться определять характер звуков (то есть что они означают), расстояние до источников звуков и направление, откуда они исходят. Если слышны различные звуки, военнослужащий должен уметь отличать их один от другого. Развитие такой способности достигается длительной тренировкой (таким же образом профессиональный музыкант различает голоса инструментов в оркестре).

Почти все звуки, означающие опасность, производятся человеком. Поэтому если военнослужащий слышит даже самый слабый подозрительный шум, он должен замереть на месте и слушать. Если противник начнет двигаться первым, выдав тем самым свое месторасположение, то он первым и будет обнаружен.

В тихую летнюю ночь даже обычный человеческий голос на открытом пространстве слышно далеко, иногда на полкилометра. В морозную осеннюю или зимнюю ночь всевозможные звуки и шумы слышны очень далеко. Это касается и речи, и шагов, и звяканья посуды либо оружия. В туманную погоду звуки тоже слышны далеко, но их направление определить трудно. По поверхности спокойной воды и в лесу, когда нет ветра, звуки разносятся на очень большое расстояние. А вот дождь сильно глушит звуки. Ветер, дующий в сторону военнослужащего, приближает звуки, а от него - удаляет. Он также относит звук в сторону, создавая искаженное представление о местонахождении его источника. Горы, леса, здания, овраги, ущелья и глубокие лощины изменяют направление звука, создавая эхо. Порождают эхо и водные пространства, способствуя его распространению на большие дальности.




Поделиться с друзьями:


Дата добавления: 2014-12-08; Просмотров: 1117; Нарушение авторских прав?; Мы поможем в написании вашей работы!


Нам важно ваше мнение! Был ли полезен опубликованный материал? Да | Нет



studopedia.su - Студопедия (2013 - 2025) год. Все материалы представленные на сайте исключительно с целью ознакомления читателями и не преследуют коммерческих целей или нарушение авторских прав! Последнее добавление




Генерация страницы за: 0.01 сек.