Студопедия

КАТЕГОРИИ:


Архитектура-(3434)Астрономия-(809)Биология-(7483)Биотехнологии-(1457)Военное дело-(14632)Высокие технологии-(1363)География-(913)Геология-(1438)Государство-(451)Демография-(1065)Дом-(47672)Журналистика и СМИ-(912)Изобретательство-(14524)Иностранные языки-(4268)Информатика-(17799)Искусство-(1338)История-(13644)Компьютеры-(11121)Косметика-(55)Кулинария-(373)Культура-(8427)Лингвистика-(374)Литература-(1642)Маркетинг-(23702)Математика-(16968)Машиностроение-(1700)Медицина-(12668)Менеджмент-(24684)Механика-(15423)Науковедение-(506)Образование-(11852)Охрана труда-(3308)Педагогика-(5571)Полиграфия-(1312)Политика-(7869)Право-(5454)Приборостроение-(1369)Программирование-(2801)Производство-(97182)Промышленность-(8706)Психология-(18388)Религия-(3217)Связь-(10668)Сельское хозяйство-(299)Социология-(6455)Спорт-(42831)Строительство-(4793)Торговля-(5050)Транспорт-(2929)Туризм-(1568)Физика-(3942)Философия-(17015)Финансы-(26596)Химия-(22929)Экология-(12095)Экономика-(9961)Электроника-(8441)Электротехника-(4623)Энергетика-(12629)Юриспруденция-(1492)Ядерная техника-(1748)

Тема 12. ЛЬВІВ




Begin

Begin

End.

Begin

Begin

Begin

Пример программы обработки символьной матрицы.

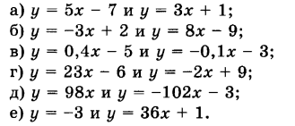
Постройте графики указанных функций

 

Задание № 5.

 

Задание № 6. Найдите область определения функции и постройте ее график

 

Задание № 7. Найдите область определения функции и постройте ее график

 

Задание № 8. Найдите координаты точки пересечения графиков функций

Задание № 9.

Задание № 10.

 

Задание № 11.

Задание № 12.

Задание № 13.

Задача 1. Составить проект программы, которая выводит в компонент Label все буквы кириллицы (начиная с кода 192).

Форма и результаты работы проекта приведен на рис.1.

 
 

 


Текст подпрограммы-отклика на кнопку “Пуск”:

procedure TForm1.Button1Click(Sender: TObject);

Var ki:byte; { переменная с кодом символа }

i,k:integer;

s:string;

for i:=0 to 15 do { цикл вывода результатов по 16 строк }

begin

ki:= i+192;

for k:=1 to 4 do { цикл вывода результатов по 4 столбика }

begin

s:=s+chr(ki)+' - '+inttostr(ki)+' ';

ki:=ki+16;

end;

s:=s+#13; { переход к следующей строке результата }

end;

label2.caption:=s;

end;

 

Задача 2. Составить проект программы, которая вводит символьный массив из 10-ти или меньшего количества элементов и заменяет в нем все знаки ‘.’ (точка) и ‘,’ (запятая) на знак ‘+’.Для ввода массива и вывода результатов использовать компонент Edit.

Форму проекта и результаты работы программы приведен на рис.2.

 
 

 

 


Рисунок 2

Текст программы:

Unit unit1;

………..

implementation

{$R *.DFM}

type tchararr=array[1..10] of char;

 

// текст подпрограммы замены символов

procedure zamina (k:integer; s1: tchararr; var s2: tchararr);

var i:integer;

for i:=1 to k do

if (s1[i]=',') or (s1[i]='.') then s2[i]:='+'

else s2[i]:=s1[i];

end;

// текст подпрограммы-отклика на кнопку “Розв’язок”

procedure TForm1.Button1Click(Sender: TObject);

var str1,str2:tchararr; i,k:integer;

{ ввод массива символов}

k:=Edit1.GetTextLen;

if k=0 then

begin

ShowMessage('Массив пустой!');

exit;

end;

if k>10 then n:=10;

for i:= 1 to k do

str1[i]:=edit1.text[i];

{ вызов подпрограммы замены символов}

zamina(k,str1,str2);

{ вывод символьного массива в Edit}

Edit2.Text:=’’;

for i:=1 to k do

edit2.text:= edit2.text+str2[i];

end;

………

Задача 3. Написать проект программы, которая вводит символьную матрицу размером 3х3 и определяет, есть ли в ней символы W или w. Для ввода данных использовать компонент Memo, для вывода результата – компонент Edit.

Форму и результаты работы проекта программы приведен на рис 3.

 


Рисунок 3

 

Текст программы:

…………………

implementation

{$R *.DFM}

type matr=array[1..3,1..3] of char;

// текст подпрограммы определения наличия символов W или w

procedure Wwsimv(n,m:integer;mas:matr;var vidp:boolean);

var i,j:integer;

vidp:=false;

for i:=1 to n do

for j:=1 to m do

if (mas[i,j]='W') or (mas[i,j]='w') then

begin

vidp:=true;

exit;

end;

end;

// текст подпрограммы-отклика на кнопку “СТАРТ”

procedure TForm1.Button1Click(Sender: TObject);

var a:matr;

i,j:integer;

vidpov:boolean;

s:string;

{ ввод матрицы из компонента Memo}

for i:=1 to 3 do

for j:=1 to 3 do a[i,j]:= memo1.lines[i-1] [j];

{ вызов подпрограммы Wwsimv}

Wwsimv(3,3,a,vidpov);

{ вывод результата в компонент Edit}

if vidpov=true then edit1.text:='входит' else edit1.text:='не входит';

end;

 

Львів — одне з небагатьох українських міст, яке почало успішно крокува-ти у визначенні і реалізації своїх стратегічних цілей. У Львові здійснювалися неодноразові спроби написання стратегічно-програмних документів міста та окремих галузей його життєдіяльності. Їх авторами та ініціаторами були владні структури, громадські організації, науково-дослідні установи, освітні заклади та просто небайдужі ініціативні мешканці міста. На жаль, деякі з них так і не були реалізовані і залишилися всього-навсього деклараціями.




Поделиться с друзьями:


Дата добавления: 2014-12-08; Просмотров: 427; Нарушение авторских прав?; Мы поможем в написании вашей работы!


Нам важно ваше мнение! Был ли полезен опубликованный материал? Да | Нет



studopedia.su - Студопедия (2013 - 2026) год. Все материалы представленные на сайте исключительно с целью ознакомления читателями и не преследуют коммерческих целей или нарушение авторских прав! Последнее добавление




Генерация страницы за: 0.012 сек.