Студопедия

КАТЕГОРИИ:


Архитектура-(3434)Астрономия-(809)Биология-(7483)Биотехнологии-(1457)Военное дело-(14632)Высокие технологии-(1363)География-(913)Геология-(1438)Государство-(451)Демография-(1065)Дом-(47672)Журналистика и СМИ-(912)Изобретательство-(14524)Иностранные языки-(4268)Информатика-(17799)Искусство-(1338)История-(13644)Компьютеры-(11121)Косметика-(55)Кулинария-(373)Культура-(8427)Лингвистика-(374)Литература-(1642)Маркетинг-(23702)Математика-(16968)Машиностроение-(1700)Медицина-(12668)Менеджмент-(24684)Механика-(15423)Науковедение-(506)Образование-(11852)Охрана труда-(3308)Педагогика-(5571)Полиграфия-(1312)Политика-(7869)Право-(5454)Приборостроение-(1369)Программирование-(2801)Производство-(97182)Промышленность-(8706)Психология-(18388)Религия-(3217)Связь-(10668)Сельское хозяйство-(299)Социология-(6455)Спорт-(42831)Строительство-(4793)Торговля-(5050)Транспорт-(2929)Туризм-(1568)Физика-(3942)Философия-(17015)Финансы-(26596)Химия-(22929)Экология-(12095)Экономика-(9961)Электроника-(8441)Электротехника-(4623)Энергетика-(12629)Юриспруденция-(1492)Ядерная техника-(1748)

Поляризация света. Естественный и поляризованный свет




Дифракция в параллельных лучах (дифракция Фраунгофера)

Тип дифракции, при котором дифракционная картина образуется параллельными пучками, называется дифракцией Фраунгофера. Параллельные лучи проявятся, если источник и экран находятся в бесконечности. Практически используется две линзы: в фокусе одной – источник света, а в фокусе другой – экран.

Хотя принципиально дифракция Фраунгофера не отличается от дифракции Френеля, но практически именно этот случай важен, так как именно этот тип дифракции используется во многих дифракционных приборах (дифракционная решетка, например). Кроме того, здесь математический расчет проще и позволяет решать количественную задачу до конца (дифракцию Френеля мы рассматривали качественно).

Дифракция света на одной щели. Пусть в непрерывном экране есть щель: ширина щели , длина щели (перпендикулярно плоскости листа) (рис. 17.15). На щель падают параллельные лучи света. Для облегчения расчета считаем, что в плоскости щели АВ амплитуды и фазы падающих волн одинаковы. Разобьем щель на зоны Френеля так, чтобы оптическая разность хода между лучами, идущими от соседних зон, была равна .

Если на ширине щели укладывается четное число таких зон, то в точке (побочный фокус линзы) будет наблюдаться минимум интенсивности, а если нечетное число зон, то максимум интенсивности:

  условие минимума интенсивности;   (17-14)

 

  условие максимума интенсивности   (17-15)

Картина будет симметричной относительно главного фокуса точки . Знак плюс и минус соответствует углам, отсчитанным в ту или иную сторону.

Интенсивность света . Как видно из рис.17.15, центральный максимум по интенсивности превосходит все остальные.

Рассмотрим влияние ширины щели.

Т.к. условие минимума имеет вид , отсюда

Из этой формулы видно, что с увеличением ширины щели b положения минимумов сдвигаются к центру, центральный максимум становится резче.

При уменьшении ширины щели b вся картина расширяется, расплывается, центральная полоска тоже расширяется, захватывая все большую часть экрана, а интенсивность ее уменьшается.

 

Рис. 17.15

Дифракция света на дифракционной решетке. Одномерная дифракционная решетка представляет собой систему из большого числа N одинаковых по ширине и параллельных друг другу щелей в экране, разделенных также одинаковыми по ширине непрозрачными промежутками (рис. 17.16).

Дифракционная картина на решетке определяется как результат взаимной интерференции волн, идущих от всех щелей, т.е. в дифракционной решетке осуществляется многолучевая интерференция когерентных дифрагированных пучков света, идущих от всех щелей.

Обозначим: b – ширина щели решетки; а – расстояние между щелями; – постоянная дифракционной решетки.

Линза собирает все лучи, падающие на нее под одним углом и не вносит никакой дополнительной разности хода.

Рис. 17.16 Рис. 17.17

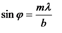
Пусть луч 1 падает на линзу под углом φ (угол дифракции). Световая волна, идущая под этим углом от щели, создает в точке максимум интенсивности. Второй луч, идущий от соседней щели под этим же углом φ, придет в ту же точку . Оба эти луча придут в фазе и будут усиливать друг друга, если оптическая разность хода будет равна m λ:

Условие максимума для дифракционной решетки будет иметь вид:

  ,   (17-16)

где m = ± 1, ± 2, ± 3, ….

Максимумы, соответствующие этому условию, называются главными максимумами. Значение величины m, соответствующее тому или иному максимуму называется порядком дифракционного максимума.

В точке F 0 всегда будет наблюдаться нулевой или центральный дифракционный максимум.

Так как свет, падающий на экран, проходит только через щели в дифракционной решетке, то условие минимума для щели и будет условием главного дифракционного минимума для решетки:

    (17-17)

Конечно, при большом числе щелей, в точки экрана, соответствующие главным дифракционным минимумам, от некоторых щелей свет будет попадать и там будут образовываться побочные дифракционные максимумы и минимумы (рис. 17.17). Но их интенсивность, по сравнению с главными максимумами, мала (≈ 1/22).

При условии ,

волны, посылаемые каждой щелью, будут гаситься в результате интерференции и появятся дополнительные минимумы.

Количество щелей определяет световой поток через решетку. Чем их больше, тем большая энергия переносится волной через нее. Кроме того, чем больше число щелей, тем больше дополнительных минимумов помещается между соседними максимумами. Следовательно, максимумы будут более узкими и более интенсивными.

Дифракционная решетка разлагает белый свет на составляющие, причем отклоняет свет с большей длиной волны (красный) на больший угол (в отличие от призмы, где все происходит наоборот).

Это свойство дифракционных решеток используется для определения спектрального состава света (дифракционные спектрографы, спектроскопы, спектрометры).

17.8. Дифракция на пространственных решетках.Формула Вульфа-Бреггов.

Пространственной, или трехмерной, дифракционной решеткой называется такая оптически неоднородная среда, в которой неоднородности периодически повторяются при изменении всех трех пространственных координат.

Условия прохождения света через обычную дифракционную решетку периодически изменяются только в одном направлении, перпендикулярном к оси щели. Поэтому такую решетку называют одномерной.

Простейшую двумерную решетку можно получить, сложив две одномерные решетки так, чтобы их щели были взаимно перпендикулярны. Главные максимумы двумерной решетки должны одновременно удовлетворять условию максимума для каждой из решеток:

и ,

где φ - угол между направлением на главный максимум (направление луча) и нормалью к решетке; m – порядок дифракционного максимума.

Дифракционная картина представляет собой систему светлых пятен, расположенных в определенном порядке на плоскости экрана. Размеры этих пятен уменьшаются при увеличении числа щелей, а яркость возрастает. Такая же картина получается, если на одно стекло нанести ряд взаимно перпендикулярных полос.

Дифракция наблюдается также и на трехмерных структурах. Всякий монокристалл состоит из упорядоченно расположенных атомов (ионов), образующих пространственную трехмерную решетку (естественная пространственная решетка).

Период атомной решетки порядка ; длина волны света . При таких условиях никаких дифракционных явлений на атомных дифракционных решетках с видимым светом не будет. Нужно излучение с меньшей длиной волны, например рентгеновское. Для рентгеновских лучей кристаллы твердых тел являются идеальными дифракционными решетками.

В 1913 г. русский физик Г.В. Вульф и английские ученые отец и сын Генри и Лоуренс Брэгги, независимо друг от друга, предложили простой метод расчета дифракции рентгеновских лучей в кристаллах. Они полагали, что дифракцию рентгеновских лучей можно рассматривать как результат отражения рентгеновских лучей от плоскостей кристалла. Это отражение, в отличие от обычного, происходит лишь при таких условиях падения лучей на кристалл, которые соответствуют максимуму интерференции для лучей, отраженных от разных плоскостей.

Направим пучок рентгеновских лучей 1 и 2 на две соседние плоскости кристалла и (рис. 17.18).

Абсолютный показатель преломления всех веществ для рентгеновских лучей равен 1. Поэтому оптическая разность хода между лучами и

,

где θ – угол между падающими и отраженными лучами и плоскостью кристалла (угол скольжения).

Интерференционные максимумы должны удовлетворять условию Вульфа–Брэггов:

  , (m = 1, 2, 3,....). (17-18)

 

Рис. 17.18

Из формулы (17-18) видно, что дифракция будет наблюдаться лишь при . Т. е. при условии будут отсутствовать дифракционные максимумы. Поэтому условие называют условием оптической однородности кристалла.

Из (17-18) следует, что наблюдение дифракционных максимумов возможно только при определенных соотношениях между λ и θ. Этот результат лежит в основе спектрального анализа рентгеновского излучения, так как длину волны определяют по известным d, m и измеренному на опыте углу.

Исследуя дифракцию рентгеновских лучей, можно решить и обратную задачу: если известна длина волны λ рентгеновских лучей, можно определить период кристаллической решетки d и ориентацию атомных плоскостей в пространстве. Эта идея была высказана немецким физиком М. Лауэ в 1912 г. и явилась существенным вкладом в развитие физики твердого тела.

 

Следствием теории Максвелла является поперечность световых волн: напряженность электрического поля E, вектор индукции магнитного поля B и скорость распространения волны v образуют правую тройку векторов. Действие света на вещество определяется в основном колебаниями вектора напряженности. В соответствии с этим вектор напряженности называют еще световым вектором.

Рассмотрим два взаимно перпендикулярные электрические колебания (вдоль осей x и y), отличающиеся по фазе на d

, . (17-19)

Результирующая напряженность E является их векторной суммой. Угол j между вектором E и осью x определяется выражением

. (17-20)

Естественный свет. Поляризованным называется свет, в котором направления колебаний светового вектора упорядочены каким-либо образом. В естественном свете колебания различных направлений быстро и беспорядочно сменяют друг друга. Если разность фаз d претерпевает случайные хаотические изменения, то и угол j, т.е. направление светового вектора E, будет испытывать скачкообразные изменения. На этом основании естественный свет можно представить как наложение двух некогерентных световых волн, поляризованных во взаимно перпендикулярных плоскостях и имеющих одинаковую интенсивность.

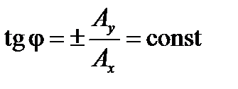
Плоско поляризованный свет. Допустим, что разность фаз d постоянна и равна нулю или p (когерентные волны). Тогда согласно (17-20)

.
Следовательно, результирующее колебание совершается в фиксированном направлении. – волна оказывается плоско поляризованной.

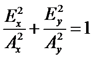
Круговая и эллиптическая поляризация света. Допустим теперь, что . С учетом с помощью уравнения (17-19) можно получить

.

Следовательно, световой вектор в некоторой точке описывает при прохождении волны эллипс, оси которого ориентированы вдоль x и y. Такая волна называется эллиптически поляризованной. При произвольном постоянном d в общем случае получается эллиптическая поляризация, причем оси эллипса не совпадают с осями координат.

При разности фаз равной нулю или p, эллипс вырождается в прямую и получается плоско поляризованный свет. При и равенстве амплитуд складываемых волн эллипс вырождается в окружность – получается циркулярно поляризованный (поляризованный по кругу) свет.

В зависимости от направления вращения вектора E различают правую и левую эллиптическую и круговую поляризацию. Будем наблюдать за вращением вектора E со стороны, в которую движется волна. Если его вращение происходит по часовой стрелке, поляризация называется правой, в противном случае – левой.

Плоскость, в которой лежит световой вектор в плоско поляризованной волне, называется плоскостью колебаний. По историческим причинам плоскостью поляризации называется плоскость, перпендикулярная в плоскости колебаний, т.е. плоскость в которой лежит вектор B.

Плоско поляризованный свет можно получить из естественного с помощью приборов, называемых поляризаторами. Поляризаторы свободно пропускают колебания, параллельные некоторой плоскости (плоскости поляризатора), и полностью или частично задерживают колебания перпендикулярные этой плоскости. На выходе из поляризатора получается свет, в котором колебания одного направления преобладают над колебаниями другого. Такой свет называется частично поляризованным. Частично поляризованный свет, как и естественный, можно представить в виде наложения двух некогерентных плоско поляризованных волн с взаимно перпендикулярными плоскостями колебаний. В случае естественного света интенсивность этих волн одинакова, а в случае частично поляризованного – разная.

Если пропустить частично поляризованный свет через идеальный поляризатор, то при его вращении вокруг направления луча интенсивность прошедшего света будет изменяться в пределах от до . Выражение

(17-21)

называется степенью поляризации. Для плоско поляризованного света и ; для естественного света и . К эллиптически и циркулярно поляризованному свету, колебания которых полностью упорядочены, понятие степени поляризации не применимо, поскольку формальное применение (17-21) дает .

Естественный свет можно преобразовать в плоскополяризованный, используя так называемые поляризаторы, пропускающие колебания только определенного направления (например, пропускающие колебания, параллельные главной плоскости поляризатора, и полностью задерживающие колебания, перпендикулярные этой плоскости). В качестве поляризаторов могут быть использованы среды, анизотропные в отношении колебаний вектора Е, например кристаллы. Из природных кристаллов, давно используемых в качестве поляризатора, следует отметить турмалин.

Рассмотрим классические опыты с турмалином (рис.17.19).

Направим естественный свет перпендикулярно пластинке турмалина Т1,вырезанной параллельно так называемой оптической оси ОО'. Вращая кристалл Т1 вокруг направления луча, никаких изменении интенсивности прошедшего через турмалин света не наблюдаем. Если на пути луча поставить вторую пластинку турмалина Т2и вращать ее вокруг направления луча, то интенсивность света, прошедшего через пластинки, меняется в зависимости от угла а между оптическими осями кристаллов по закону Малюса*:

.

где I0 и I - соответственно интенсивности света, падающего на второй кристалл и вышедшего из него. Следовательно, интенсивность прошедшего через пластинки света изменяется от минимума (полное гашение света) при a = p/2 (оптические оси пластинок перпендикулярны) до максимума при a = 0 (оптические оси пластинок параллельны). Однако, как это следует из рис. 17.20, амплитуда Е световых колебаний, прошедших через пластинку T2 будет меньше амплитуды световых колебаний E0, падающих на пластиду Т1.

Если пропустить естественный свет через два поляризатора, главные плоскости которых образуют угол , то из первого выйдет плоскополяризованный свет, интенсивность которого I0 = 1/2Iест из второго выйдет свет интенсивностью I = I0cos2a. Следовательно, интенсивность света, прошедшего через два поляризатора,

откуда Imax = 1/2 Iест (поляризаторы параллельны) и Imin = 0 (поляризаторы скрещены).




Поделиться с друзьями:


Дата добавления: 2014-12-08; Просмотров: 1514; Нарушение авторских прав?; Мы поможем в написании вашей работы!


Нам важно ваше мнение! Был ли полезен опубликованный материал? Да | Нет



studopedia.su - Студопедия (2013 - 2026) год. Все материалы представленные на сайте исключительно с целью ознакомления читателями и не преследуют коммерческих целей или нарушение авторских прав! Последнее добавление




Генерация страницы за: 0.011 сек.