Студопедия

КАТЕГОРИИ:


Архитектура-(3434)Астрономия-(809)Биология-(7483)Биотехнологии-(1457)Военное дело-(14632)Высокие технологии-(1363)География-(913)Геология-(1438)Государство-(451)Демография-(1065)Дом-(47672)Журналистика и СМИ-(912)Изобретательство-(14524)Иностранные языки-(4268)Информатика-(17799)Искусство-(1338)История-(13644)Компьютеры-(11121)Косметика-(55)Кулинария-(373)Культура-(8427)Лингвистика-(374)Литература-(1642)Маркетинг-(23702)Математика-(16968)Машиностроение-(1700)Медицина-(12668)Менеджмент-(24684)Механика-(15423)Науковедение-(506)Образование-(11852)Охрана труда-(3308)Педагогика-(5571)Полиграфия-(1312)Политика-(7869)Право-(5454)Приборостроение-(1369)Программирование-(2801)Производство-(97182)Промышленность-(8706)Психология-(18388)Религия-(3217)Связь-(10668)Сельское хозяйство-(299)Социология-(6455)Спорт-(42831)Строительство-(4793)Торговля-(5050)Транспорт-(2929)Туризм-(1568)Физика-(3942)Философия-(17015)Финансы-(26596)Химия-(22929)Экология-(12095)Экономика-(9961)Электроника-(8441)Электротехника-(4623)Энергетика-(12629)Юриспруденция-(1492)Ядерная техника-(1748)

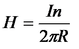
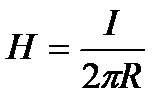
Выберите формулу напряженности магнитного поля бесконечного прямолинейного проводника с током




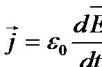
Выберите формулу плотности полного тока.

1.

 

2.

 

3.

 

4.

 

5.

 

 

112. Как изменится сила Кулоновского взаимодействия двух точечных электрических зарядов при уменьшении расстояния между ними в 4 раза? F2/F1=?

 

1. Не изменится

2. Увеличится в 4 раза

3. Увеличится в 2 раза

4. Уменьшится в 2 раза

 

5. Увеличится в 16 раз

 

113. Выберите формулу момента сил, действующих на диполь, если электрический момент диполя .

 

1.

 

2.

 

3.

 

4.

 

5.

 

 

114. Выберите формулу вектора электрической индукции (электрического смещения) в веществе:

1.

 

2.

 

3.

 

4.

 

5.

 

 

115. Какая из перечисленных формул выражает закон Джоуля-Ленца в дифференциальной форме?

1.

 

2.

 

3.

 

4.

 

5.

 

 

1.

 

2.

 

3.

 

4.

 

5.

 

 

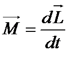
117. Укажите формулу момента пары сил, действующих на контур с током в постоянном магнитном поле в случае, когда ?

 

1.

 

2.

 

3.

 

4.

 

5.

 

 

118. Полезны (I) или вредны (II) токи Фуко при: 1) 1)демпфировании подвижных частей гальванометров; 2) в индукционных печах для плавления металлов в вакууме; 3) в высокочастотных цепях применяются проводники в виде трубок; 4) в сердечниках трансформаторов.

 

1. I -1,2,3;

 

2. II -1,2,3;

 

3. I -1,4;

 

4. II -2,3.

 

5. II-1,3.

 

119. Какое из явлении характерно, как для тока смещения, так и для тока проводимости?

1. Выделение тепла согласно закону Джоуля-Ленца.

2. Возбуждение магнитного поля.

3. Направленное движение электрических зарядов.

4. Таких явлений нет.

5. Наличие тока в вакууме

 




Поделиться с друзьями:


Дата добавления: 2014-12-10; Просмотров: 725; Нарушение авторских прав?; Мы поможем в написании вашей работы!


Нам важно ваше мнение! Был ли полезен опубликованный материал? Да | Нет



studopedia.su - Студопедия (2013 - 2026) год. Все материалы представленные на сайте исключительно с целью ознакомления читателями и не преследуют коммерческих целей или нарушение авторских прав! Последнее добавление




Генерация страницы за: 0.012 сек.