Студопедия

КАТЕГОРИИ:


Архитектура-(3434)Астрономия-(809)Биология-(7483)Биотехнологии-(1457)Военное дело-(14632)Высокие технологии-(1363)География-(913)Геология-(1438)Государство-(451)Демография-(1065)Дом-(47672)Журналистика и СМИ-(912)Изобретательство-(14524)Иностранные языки-(4268)Информатика-(17799)Искусство-(1338)История-(13644)Компьютеры-(11121)Косметика-(55)Кулинария-(373)Культура-(8427)Лингвистика-(374)Литература-(1642)Маркетинг-(23702)Математика-(16968)Машиностроение-(1700)Медицина-(12668)Менеджмент-(24684)Механика-(15423)Науковедение-(506)Образование-(11852)Охрана труда-(3308)Педагогика-(5571)Полиграфия-(1312)Политика-(7869)Право-(5454)Приборостроение-(1369)Программирование-(2801)Производство-(97182)Промышленность-(8706)Психология-(18388)Религия-(3217)Связь-(10668)Сельское хозяйство-(299)Социология-(6455)Спорт-(42831)Строительство-(4793)Торговля-(5050)Транспорт-(2929)Туризм-(1568)Физика-(3942)Философия-(17015)Финансы-(26596)Химия-(22929)Экология-(12095)Экономика-(9961)Электроника-(8441)Электротехника-(4623)Энергетика-(12629)Юриспруденция-(1492)Ядерная техника-(1748)

Электростатические вольтметры




 

Электростатическими называют приборы, в которых электроды перемещаются под действием сил электростатического поля. Для измерения высокого постоянного напряжения используют электростатические вольтметры (рис. 4.13).

 

 

 

Рис. 4.13. Схема электростатического вольтметра: 1 – подвижная пластина; 2 – неподвижная пластина; 3 – пружина;

4 – стрелка; 5 – шкала

 

 

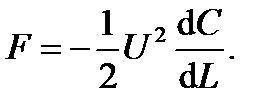
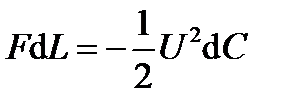
При приложении постоянного напряжения к неподвижному электроду 2 подвижный электрод 1 перемещается на расстояние d L, в пружине возникает сила F. Работа силы F при перемещении пластины равна F d L. Сближение пластин приведет к изменению энергии конденсатора на величину U 2d C /2. Работа силы F равна изменению энергии конденсатора:

 

или (4.19)

 

Знак минус указывает на то, что увеличение емкости соответствует уменьшению расстояния. Емкость между плоскими электродами

 

(4.20)

 

где S – площадь электрода; L – расстояние между дисками.

Найдём производную емкости по расстоянию:

 

(4.21)

 

Подставим (4.21) в выражение (4.19):

 

(4.22)

 

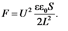
Из (4.22) найдем напряжение:

 

(4.23)

 




Поделиться с друзьями:


Дата добавления: 2014-12-16; Просмотров: 962; Нарушение авторских прав?; Мы поможем в написании вашей работы!


Нам важно ваше мнение! Был ли полезен опубликованный материал? Да | Нет



studopedia.su - Студопедия (2013 - 2026) год. Все материалы представленные на сайте исключительно с целью ознакомления читателями и не преследуют коммерческих целей или нарушение авторских прав! Последнее добавление




Генерация страницы за: 0.012 сек.