Студопедия

КАТЕГОРИИ:


Архитектура-(3434)Астрономия-(809)Биология-(7483)Биотехнологии-(1457)Военное дело-(14632)Высокие технологии-(1363)География-(913)Геология-(1438)Государство-(451)Демография-(1065)Дом-(47672)Журналистика и СМИ-(912)Изобретательство-(14524)Иностранные языки-(4268)Информатика-(17799)Искусство-(1338)История-(13644)Компьютеры-(11121)Косметика-(55)Кулинария-(373)Культура-(8427)Лингвистика-(374)Литература-(1642)Маркетинг-(23702)Математика-(16968)Машиностроение-(1700)Медицина-(12668)Менеджмент-(24684)Механика-(15423)Науковедение-(506)Образование-(11852)Охрана труда-(3308)Педагогика-(5571)Полиграфия-(1312)Политика-(7869)Право-(5454)Приборостроение-(1369)Программирование-(2801)Производство-(97182)Промышленность-(8706)Психология-(18388)Религия-(3217)Связь-(10668)Сельское хозяйство-(299)Социология-(6455)Спорт-(42831)Строительство-(4793)Торговля-(5050)Транспорт-(2929)Туризм-(1568)Физика-(3942)Философия-(17015)Финансы-(26596)Химия-(22929)Экология-(12095)Экономика-(9961)Электроника-(8441)Электротехника-(4623)Энергетика-(12629)Юриспруденция-(1492)Ядерная техника-(1748)

Бббббббббббб




Бірдей көлбеулік жолақтары дегеніміз не? B) Жазық параллель пластинадан пайда болатын интерференция

Бiрдей потенциалдар айырымында үдетілген протон мен a-бөлшек бiртекті магнит өрiсiне ұшып кiредi. Протон мен a-бөлшек қозғалатын шеңберлер радиустарының қатынастары Rp/Ra қандай болады? А)

Бiркелкі магнит өрiсiнiң күш сызықтары, ауданы 25 см2 раманың жазықтығымен 30°-қа тең бұрыш жасайды. Магнит өрiсiнiң индукциясы 4 мТл болса, раманы қиып өтетiн магнит ағынының мөлшерi қанша болады? D) 5 мкВб

Бiртектi магнит өрiсiнiң күш сызықтары, ауданы 25 см2 раманың жазықтығымен 30°-қа тең бұрыш жасайды. Магнит өрiсiнiң индукциясы 4 мТл болса, раманы қиып өтетiн магнит ағынының мөлшерi қандай болады? B) 5 мкВб

Бiртекті магнит өрiсiнің магнит индукциясының векторына перпендикуляр өткізгіш орналастырылған. Өткiзгiш арқылы суретте көрсетiлген бағытпен электр тогы жүредi. Суретте көрсетiлген қандай бағыт өткiзгiшке әсер етушi күш векторының бағытымен сәйкес болады? D) 4

байқалады? В) минимум

Байланыс энергиясы 28 МэВ болатын элементінің меншікті байланыс энергиясы неге тең? Е) 7 МэВ/нукл

Баллистикалық гальвонометрге жалғанған сақина тәріздес өткізгішке түзу магнит салынды. Тізбектен q=2 мкКл электр заряды өтеді. Егер гальвонометр кедергісі 20 Ом болса сақина арқылы өтетін магнит ағыны неге тең: С) 0,04 мВб

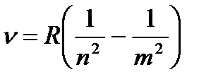
Бальмердің жалпылама формуласында Бальмер сериясының 5-шы сызығы үшін n және m сандары келесі сәйкес мәндерге ие болады: C) 2 және 7

Бальмердің жалпыланған формуласында Лайман сериясының 3-ші сызығы үшін n және m келесі сәйкес мәндерге ие болады: C) 1 және 4

Барлық жарық толқындарының ішіндегі қалыпты дисперсиясы бар ортада таралу жылдамдығы үлкен сәулені атаңыз. D) қызыл

Бас кванттық n=5 санына әртүрлі толқындық функциялардың қаншасы сәйкес келетінін анықтаңыз. D) 25

Бас кванттық сан n нені сипаттайды? А) электронның энергетикалық деңгелерін

Бас кванттық сан нені анықтайды? A) электронның атомдағы энергетикалық деңгейлерін

Бас кванттық сан нені анықтайды? А) Атомдағы электронның энергетикалық деңгейін

Бас кванттық саны n=4 бірдей мәндегі атомда тұрған электрондардың максимал санын анықтаңыз. D) 32

Берілген ядролық реакцияда қандай бөлшек пайда болуы мүмкін? B) протон

Берілген n бас кванттық санда орбиталь кванттық сан қандай максимал мәнге ие болады? С) -1

Берілген n мәндегі атомдағы күйде неше электрон орналаса алады? C) 2n2

Берілген n мәндегі атомдағы күйде неше электрон орналаса алады? А) 2n2

Берілген орбиталь кванттық санда магниттік кванттық сан қандай мәндерге ие болады? D) 2 +1

Бетіне a=60° бұрышпен жарық шоғы түседі. Егер шағылған жарық толық поляризацияланған болса, онда шыныдағы жарықтың сыну бұрышы қандай болар еді? D) 30о

Бетке түсетін жарық ағынының осы бет ауданының қатынасына тең шама қалай аталады? D) жарықталыну

Биіктігі 2 см дене жинағыш линзадан екі фокус аралығында тұрған кезде дене кескіні қандай мөлшерде болады? C) 2 см

Био-Савар-Лаплас заңының өрнегiн көрсетiңiз. D)

Бір-бірімен біріктірілген екі жұқа жинағыш линзаның оптикалық күштері D1 мен D2-ге тең. Осы линзалар жүйесінің оптикалық күші қай формуламен бейнеленеді? В) D = D1+ D2

Бірлік бет арқылы толқын ұзындығының бірлік интервалындағы шығаратын қуаты r(l,Т) болса, дененің энергетикалық жарқырауы қандай формуламен өрнектеледі: D) dl

Бірлік ұзындыққа келетін орам саны n, I тогы бар ұзын соленоид суретте кескінделген. Соленоидтың көлемі магнит өтімділігі m ортамен толтырылған. L тұйық контур бойындағы циркуляция векторын табу керек. (контурдың 1-2 бөлігі соленоид іші арқылы өтеді): D) 6I

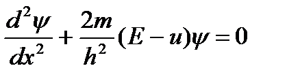
Бірөлшемді терең потенциалды “шұңқырдағы” ( бөлшек үшін Шредингер теңдеуін анықтаңыз. С)

Біртекті изотропты ортада () таралатын жазық электромагниттік толқынның фазалық жылдамдығын анықтау керек. D) 2,1×108м/с

Біртекті магнит өрісінің күш сызықтары, ауданы 25 см2 раманың жазықтығымен 300 – қа тең бұрыш жасайды. Магнит өрісінің индукциясы 4 мТл болса, раманы қиып өтетін магнит ағынының мөлшері қандай болады? Е) 5 мкВб

Бозе - Эйнштейн таралу функциясы қандай кванттық бөлшектер жүйесін сипаттайды? А) Нөлдік және бүтін спинді бөлшектер жүйесін

Бор теориясы бойынша, атомдағы электронның жылдамдығы мен оның орбита радиусы арасында қандай байланыс бар? В) u ~ 1/r

Бор теориясы бойынша, атомдағы электронның жылдамдығы мен оның орбита радиусы арасында қандай байланыс бар? E) u ~ 1/r

Бордың бірінші постулатына сәйкес:.1. Атомда стационарлық күйлер болады, оларға электрондар қозғалатын стационарлық орбиталар сәйкес келеді..2.Стационарлық орбита бойымен қозғала отырып, электрондар энергия шығарады. 3. Стационарлық орбита бойымен қозғала отырып, электрондар энергия шығармайды. E) 1 және 3

Бордың теориясына сәйкес, атомдағы электрон импульсі мен оның орбита радиусы арасында қандай байланыс бар? В) р ~ 1/r

Бордың теориясына сәйкес, атомдағы электрон импульсі мен оның орбита радиусы арасында байланыс қандай? С) p ~ 1/r

Бөгеттен байқалатын жарықтың дифракция құбылысы қандай шарт кезiнде ықтималды болады? C) Бөгет өлшемi d жарықтың толқын ұзындығы мен шамалас (λ~d) болған кезде

Бөгеттен байқалатын жарықтың дифракция құбылысы қандай шарт кезінде ықтималды болады? А) Бөгет өлшемі d жарықтың толқын ұзындығы мен шамалас (l~d) болған кезде

Бөлшек жылдамдығын 2 есе кеміткенде, де-Бройль толқынының жиілігі қалай өзгереді? B) 2 есе кемиді

Бөлшек жылдамдығын 3 есе арттырғанда, де-Бройль толқынының жиілігі қалай өзгереді? B) 3 есе кемиді

Брюстер бұрышына тең бұрышпен түскенде, шағылған және сынған сәулелер арасындағы бұрыш қандай болады? С)

Брюстер шартын көрсетіңіз. B) tgіБр=n21

Брюстер шартын көрсетіңіз: B) tgiБр=n21

Бугер заңын көрсетіңіз. А)




Поделиться с друзьями:


Дата добавления: 2014-12-16; Просмотров: 1680; Нарушение авторских прав?; Мы поможем в написании вашей работы!


Нам важно ваше мнение! Был ли полезен опубликованный материал? Да | Нет



studopedia.su - Студопедия (2013 - 2026) год. Все материалы представленные на сайте исключительно с целью ознакомления читателями и не преследуют коммерческих целей или нарушение авторских прав! Последнее добавление




Генерация страницы за: 0.008 сек.