Студопедия

КАТЕГОРИИ:


Архитектура-(3434)Астрономия-(809)Биология-(7483)Биотехнологии-(1457)Военное дело-(14632)Высокие технологии-(1363)География-(913)Геология-(1438)Государство-(451)Демография-(1065)Дом-(47672)Журналистика и СМИ-(912)Изобретательство-(14524)Иностранные языки-(4268)Информатика-(17799)Искусство-(1338)История-(13644)Компьютеры-(11121)Косметика-(55)Кулинария-(373)Культура-(8427)Лингвистика-(374)Литература-(1642)Маркетинг-(23702)Математика-(16968)Машиностроение-(1700)Медицина-(12668)Менеджмент-(24684)Механика-(15423)Науковедение-(506)Образование-(11852)Охрана труда-(3308)Педагогика-(5571)Полиграфия-(1312)Политика-(7869)Право-(5454)Приборостроение-(1369)Программирование-(2801)Производство-(97182)Промышленность-(8706)Психология-(18388)Религия-(3217)Связь-(10668)Сельское хозяйство-(299)Социология-(6455)Спорт-(42831)Строительство-(4793)Торговля-(5050)Транспорт-(2929)Туризм-(1568)Физика-(3942)Философия-(17015)Финансы-(26596)Химия-(22929)Экология-(12095)Экономика-(9961)Электроника-(8441)Электротехника-(4623)Энергетика-(12629)Юриспруденция-(1492)Ядерная техника-(1748)

Циклы воздушных холодильных машин




Начало холодильной промышленности связано с появлением и развитием воздушных холодильных машин, так как воздух благодаря доступности в безвредности является наиболее удобным холодильным агентом. Промышленное получение холода было впервые осуществленопри помощи воздушной компрессионной холодильной машины.

Принцип действия воздушной холодильной машины заключается в следующем.

Воздух из охлаждаемого помещения 1 (фиг. 19-2) засасывается компрессором 2 и подвергается адиабаическому сжатию, в результате которого температура его возрастает. Сжатый воздух выталкивается в холодильник 3 и охлаждается водой, после чего поступает в расширительный цилиндр 4, где совершает работу при расширении до начального давления.
При расширении температура воздуха значительно падает, достигая — 60 — — 70° С. Холодный воздух вновь поступает в охлаждаемое им помещение /, где нагревается, отнимая тепло уд от охлаждаемого тела.

 

Фиг. 19-2 Фиг. 19-3. Фиг. 19-4

Цикл воздушной холодильной машины представлен на диаграмме фиг. 19-3. Индикаторная линия а — 1 соответствует всасыванию компрессором воздуха из охлаждаемого помещения; процесс /— 2 соответствует адиабатическому сжатию воздуха от
начального давления р0 до конечного давления р, а индикаторная линия 2— b — выталкиванию сжатого компрессором воздуха в холодильник.

Процессы 2—3, 3—4 и 4—1 соответствуют последовательно охлаждению сжатого воздуха в холодильнике, адиабатическому расширению воздуха в цилиндре и нагреванию воздуха при отводе тепла от охлаждаемого помещения.

Площадь а-—1—2b изображает работу компрессора,а площадь а —4—3— b — работу расширительного цилиндра, причем индикаторные линии а— 4 и b —3 соответствуют процессам всасывания воздуха в расширительный цилиндр и выталкивания из него.

Работа, затрачиваемая в воздушной холодильной машине, равна разности' работ сжатия в компрессоре и расширения в цилиндре, называемом обычно" детандером (фр. detendre – ослаблять) - поршневая или турбинная машина для охлаждения газа за счёт его расширения с совершением внешней работы.

В результате работы холодильной установки, включающей компрессор, расширительный цилиндр, холодильник и теплообменник охлаждаемого помещения, совершается круговой процесс изменения состояния рабочего вещества — воздуха, в котором за счет затраты работы тепло переносится от тела более холодного—охлаждаемого помещения, к телу более нагретому—охлаждающей воде.

Следовательно, в результате работы воздушной холодильной машины осуществляется обратный цикл / - 2—3—4 - 1, изображенный на диаграмме фиг. 19-4. Этот цикл состоит из двух изобар и двух адиабат. Количество тепла, отведенное от холодного источника, изображается площадью а—1—4— b—а; количество тепла, отданное источнику высшей температуры, изображается площадью а— 2—3— bа, а количество затраченной работы 1— площадью 1—2—3—4—1, заключенной внутри цикла.

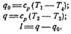
Холодильный коэффициент описанного цикла можно подсчитать, если принять во внимание, что

Предполагая, что оба процесса—сжатия 1— 2 и расширения 34 происходят адиабатически, для температур воздуха в характерных точках дикла можно написать следующие соотношения

Принимая теплоемкость воздуха постоянной, получим:

ахолодильный коэффициент

Сравним холодильный коэффициент воздушного цикла с циклом Карно, для чего впишем в контур воздушного цикла цикл Карно. Как видно из рис. 19-4, перепад температур в цикле Карно существенно меньше.

Действительно, в процессе 2—3 рабочее тело отдает тепло охлаждающей воде. Для того чтобы этот процесс был возможен, охлаждающая вода на входе в установку должна иметь температуру во всяком случае не выше Т3. Таким образом, для рассматриваемого цикла предельная температура теплоприемника равна температуре Т3 .

В процессе 4—1 рабочее тело получает тепло от охлаждаемого помещения. Если температура охлаждаемого помещения постоянна, то она не может быть ниже температуры Т1 , которая, таким образом, представляет собой предельную температуру теплоотдатчика.

Следовательно цикл с указанными источниками тепла (обратный цикл Карно) должен,, иметь вид /— 2'—3—3'—1 на.фиг. 19-4.

Как видно из фиг. 19-4, холодопроизводительность соответствующего цикла Карно (т. е. цикла, осуществляемого с теми же источниками тепла), измеряемая площадью /— а— b3'—1, больше холодопроизводительности цикла воздушной машины на величину площади 1—4—3'—1, тогда, как затраченная работа в цикле Карно, измеряемая заштрихованной площадью /— 3'—3—2'—1, меньше работы воздушного цикла на сумму площадей 1—4—3'—! и 2— 2'— 3—2.

На основании уравнения (19-3) холодильный коэффициент соответствующего цикла Карно равен:

Холодильный коэффициент теоретического цикла воздушной холодильной машины (не учитывая необратимых потерьнатрение и теплообмен) значительно ниже холодильного коэффициента соответствующего цикла Карно.

Например, для воздушной холодильной машины при начальном давлении р0 == 1 ата, при давлении в конце сжатия р === 5 ата и температуре охлаждаемого помещения Т0 == 0°С температура в конце сжатия Т==162,4°С, а холодильный коэффициент

 

Если принять, что температура охаждающей воды Т3 == 20° С, то холодильный коэффициент соответствующего цикла Карно при этом равен εК = 13,65.

Такое большое различие в значениях холодильных коэффициентов указывает на термодинамическое несовершенство цикла воздушной холодильной машины по сравнению с наивыгоднейшим холодильным циклом — обратным циклом Карно.

 




Поделиться с друзьями:


Дата добавления: 2014-11-28; Просмотров: 927; Нарушение авторских прав?; Мы поможем в написании вашей работы!


Нам важно ваше мнение! Был ли полезен опубликованный материал? Да | Нет



studopedia.su - Студопедия (2013 - 2026) год. Все материалы представленные на сайте исключительно с целью ознакомления читателями и не преследуют коммерческих целей или нарушение авторских прав! Последнее добавление




Генерация страницы за: 0.012 сек.