Студопедия

КАТЕГОРИИ:


Архитектура-(3434)Астрономия-(809)Биология-(7483)Биотехнологии-(1457)Военное дело-(14632)Высокие технологии-(1363)География-(913)Геология-(1438)Государство-(451)Демография-(1065)Дом-(47672)Журналистика и СМИ-(912)Изобретательство-(14524)Иностранные языки-(4268)Информатика-(17799)Искусство-(1338)История-(13644)Компьютеры-(11121)Косметика-(55)Кулинария-(373)Культура-(8427)Лингвистика-(374)Литература-(1642)Маркетинг-(23702)Математика-(16968)Машиностроение-(1700)Медицина-(12668)Менеджмент-(24684)Механика-(15423)Науковедение-(506)Образование-(11852)Охрана труда-(3308)Педагогика-(5571)Полиграфия-(1312)Политика-(7869)Право-(5454)Приборостроение-(1369)Программирование-(2801)Производство-(97182)Промышленность-(8706)Психология-(18388)Религия-(3217)Связь-(10668)Сельское хозяйство-(299)Социология-(6455)Спорт-(42831)Строительство-(4793)Торговля-(5050)Транспорт-(2929)Туризм-(1568)Физика-(3942)Философия-(17015)Финансы-(26596)Химия-(22929)Экология-(12095)Экономика-(9961)Электроника-(8441)Электротехника-(4623)Энергетика-(12629)Юриспруденция-(1492)Ядерная техника-(1748)

D) 2 есе артады 6 страница




649. Суретте екі кристалдың электрондарының энергетикалық спектрі сызба түрінде көрсетілген. Олар заттың қандай түріне жатады – металдарға, шала өткізгіштерге, диэлектриктерге?C) Екеуі де металл

650. Суретте екі кристалдың энергетикалық спектрінің сызбалық көріністері кескінделген.Олар заттың қандай түріне жатады? C) 1- n-типті шала өткізгіш, 2- p-типті өткізгіш

651. Суретте келтірілген сутегі атомы энергиясының өзгеру жолдарының қайсысына ең үлкен толқын ұзындығы сәйкес келеді?D) 4

652. Суретте контур арқылы өтетін магнит ағынының уақытқа тәуелді өзгерісінің сызбасы келтірілген. Осы контурда пайда болатын индукцияның ЭҚК-і неге тең:C) -1,5 В

653. Суретте көрсетілген жазық айнадағы АВ затының қай жағдайдағы кескіні дұрыс деп саналады?B) 2 жағдайдағы

654. Суретте көрсетілген сутегі атомы өтулерінің қайсысы сәуле шығару жиілігінің үлкен мәніне сәйкес келеді?D) 4

655. Суретте көрсетілген сутегі атомындағы өтудің қайсысы үлкен массадағы фотондарды шығара алады?C) 3

656. Суретте көрсетілген сутегі атомындағы өтулердің қайсысы формуласымен өрнектелген толқын ұзындығына сәйкес келеді?C) 3

657. Суретте көрсетілген сутегі атомының сәулелену сызықтарының қайсысы сәулеленудің ең үлкен жиілігіне сәйкес келеді?E) 5

658. Суретте күшті магнит өрісін тудыратын тұрақты магнит полюстері көрсетілген. Полюстер арасында жылдамдықпен ұшып бара жатқан a -бөлшек қай бағытта ауытқиды:C) Сурет жазықтығына перпендикуляр "бізден ары"

659. Суретте ферромагнетиктер үшін магнитті гистерезис тұзағы келтірілген. Сызбадағы қай нүкте қалдық индукцияға сәйкес келеді:A) 1

660. Суретте, бөлшектің “потенциалдық шұңқыр” қабырғасынан әртүрлі қашықтықта табудың ықтималдылығының тығыздығы берілген. А() нүктесіндегі ықтималдылық тығыздығының мәні нені көрсетеді? C) бөлшек потенциалды шұңқырдың ортасында табылмайтындылығын

661. Суреттегі сутегі атомындағы өтулердің қайсысы максималь жиіліктегі фотон сәулеленуіне сәйкес келеді? D) 4

662. Сутегі атомы n =1 кванттық күйден n =4 күйге ауысқанда, оның энергиясы қалай өзгереді?C) 16 есе артады

663. Сутегі атомы n =4 кванттық күйден негізгі күйге ауысқанда, оның энергиясы қалай өзгереді?D) 16 есе азаяды

664. Сутегі атомындағы қай энергетикалық өтуі толқын ұзындығы ең үлкен элетромагниттік сәулеге сәйкес келеді?E) 5

665. Сутегі атомындағы суретте көрсетілген қай өтулер минимал жиіліктегі фотон жұтылуына сәйкес келеді? A) 1

666. Сутегі атомындағы электрон жоғары энергетикалық деңгейден негізгі күйге өткенде энергиясы 13,2 эВ фотонды шығарады. Осы деңгейлердің энергия айырымы неге тең?A) 13,2 эВ

667. Сутегі атомындағы электрон төртінші энергетикалық деңгейден біріншіге өткендегі фотон энергиясы екінші орбитадан біріншіге өткендегі энергиядан қанша есе артық болады?D) 1,25 есе

668. Сутегі атомындағы электронның стационар күйлері үшін Шредингер теңдеуін көрсетіңіз?A)

669. Сутегі атомының иондану потенциалы неге тең?B) ji=13,6В

670. Сутегі атомының ионизациялану энергиясы Е0 болса, электрон негізгі күйден бірінші қозған күйге өту үшін қанша минимал энергия жұмсалуы керек?D) 3Е0/4

671. Сутегі атомының қайсы өтуі сәулелену жиілігінің ең үлкен мәніне келеді?D) 5

672. Сутегі атомының қозбаған күйін суреттейтін энергетикалық деңгейді көрсетіңіз.A) 1

673. Сутегі атомының спектріндегі Бальмер сериясы фотонының максимал энергиясын анықтаңыз. Иондалу энергиясын =13,6 эВ деп алыңыз.D) 3,4 эВ

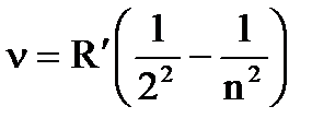
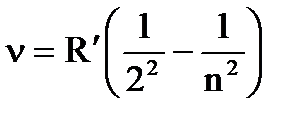
674. Сутегі атомының үшінші стационарлық күйінен біріншіге өткен кездегі сәулелену фотонының жиілігі неге тең? R¢ - Ридберг тұрақтысы.E) 8R¢/9

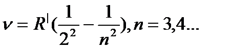
675. Сутегі спектрінің көрінетін сериясындағы(Бальмер сериясы , n=3,4,...) фотонның минимал энергиясын анықтаңыз.E)

676. Сутегі спектрінің көрінетін сериясындағы(Бальмер сериясы , n=3,4,...) фотонның максимал энергиясын анықтаңыз.A)

677. Сутегі спектрінің көрінетін сериясындағы(Бальмер сериясы ) фотонның минимал энергиясын анықтаңыз.A)

678. Сутегі спектрінің ультракүлгін сериясындағы фотонның ең кіші emіn энергиясын табыңыз(Лайман сериясы). Eі=13,6 эВ.C) 10,2 эВ

679. Сутегі спектрінің ультракүлгін сериясындағы фотонның максимал энергиясы қандай болады(Лайман сериясы)? Планк тұрақтысы Дж*с; Ридберг тұрақтысы ; 1эВ = 1,6*10-19 Дж.A) 13,6 эВ

680. Сутегінің спектраль сызықтарының ең кіші толқын ұзындығы қанша болады?(Бальмер сериясы), B) 0,364 мкм

681. Сутегінің спектраль сызықтарының көрінетін алқабтағы ең үлкен толқын ұзындығын табыңыз.(Бальмер сериясы, ).E) 0,656 мкм

682. Сұр дененің А жұту қабілеттілігі келесі қатынасқа бағынады:A) А<1

683. Сфералық толқын үшін Френельдің m – ші зонасының радиусының өрнегін көрсетіңіз.E)

684. Сфералық толқын үшін Френельдің m -нші зонасының радиусын көрсетіңіз.A)

685. Сызбада абсолют қара дененің r(l, T) сәуле шығарғыштық қабілетінің әр түрлі температураға арналған l толқын ұзындығына тәуелділігі кескінделген. Сызбадан Т1/ Т2 қатынасын анықтаңыз:E) 0,75

686. Сынған сәуле шағылған сәулеге перпендикуляр болуы үшін, сәуле жазық айнаға қандай бұрышпен түсуі керек?B) arctg n

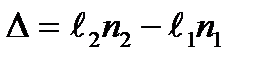
687. Сыну көрсеткіштері n1 және n2 болатын орталардан өтетін екі жарық толқынының оптикалық жол айырымы неге тең болады?B)

688. Сыну көрсеткіштері n1 және n2 болатын орталардан өтетін екі жарық толқынының оптикалық жол айырымы неге тең болады?B)

689. Сыну көрсеткіштері су, шыны және алмаз үшін ауаға қатысты алғанда 1,33; 1,5; 2,42 сәйкес болады. Қай затта толық шағылудың шекті бұрышы ауаға шыққанда минимал мәнге жетеді?B) Алмазда

690. Сыну көрсеткіші заттан жасалған мөлдір пластинаны оған перпендикуляр түскен, толқын ұзындығы =600нм сәулелермен жарықтандырғанда, ол шағылған жарықта қараңғы болып көрінуі үшін пластинаның ең кіші қалыңдығы қандай болуы мүмкін?B) 200 нм

691. Сыну көрсеткіші 1,3 сабын пленкасына жарық(толқын ұзындығы 0,55 мкм) тік бағытта ауадан түскен. Интерференция нәтижесінде шағылған жарық максимал әлсіреген. Пленканың ең кіші қалыңдығы қандай болады?B) 0,21 мкм

692. Сыну көрсеткіші 1,5 қалыңдығы 0,5 мм шыны пластинкада толқын ұзындығы 0,5 мкм қанша толқын орналасады?C) 1500

693. Сыну көрсеткіші 1,5 шыны пластинаға жарық сәулесі түседі. Егер шағылу бұрышы 30о болса, онда сәуленің түсу бұрышы қандай?B) 300

694. Сыну көрсеткіші 1,6 ортаға геометриялық жол айырымы 2,5 см екі монохромат сәуле түссе, осы ортадағы толқындардың оптикалық жол айырымы қандай болады?D)4 см

695. Сыну көрсеткіші n қабықша бетіне перпендикуляр бағытта толқын ұзындығы l жарық түседі. Шағылған сәулелерді өшіру үшін қабықшаның ең кішкене қалыңдығы қандай болу керек?C)

696. Сыну көрсеткіші n=1,5-ға тең шыныда жарықтың оптикалық жолы S2=1,5 мм-ге тең. Сол уақыт ішінде жарық вакуумда қанша жол басып өтеді?B) 2,25 мм

697. Сыну көрсеткіші n=1,6 болатын затта екі когерентті монохромат толқынның геометриялық жол айырымы 1,5 см болса, оптикалық жол айырымы қандай болады?C) 2,4 см

698. Сыну көрсеткіші nпл>1 жұқа пленкадан шағылған жарық сәулелерінің оптикалық жол айырымы неге тең болады?C)(AB+BC)n-AD-l/2

699. Сыртқы ерiксiз ЭҚК-iнiң әсерiнен болатын тербелмелi контурдағы резонанстық циклдiк тербелiс жиiлiгi қандай болады?A)

700. Сыртқы магнит өрісі өзгерген кезде, тұйық контурда пайда болған индукция электр қозғаушы күші неге байланысты?B) Берілген контурмен шектелген беттен өтетін магнит ағыны шамасының өзгеру жылдамдығына

701. Сыртқы магнит өрісі өзгерген кезде, тұйық контурда пайда болған индукция электр қозғаушы күші неге байланысты?A) Берілген контурмен шектелген беттен өтетін магнит ағыны шамасының өзгеру жылдамдығына.

702. Сыртқы фотоэффект кезінде фотон энергиясы қайда жұмсалады?D) электронның шығу жұмысына және оған кинетикалық энергия беруге

703. Сыртқы фотоэффект үшін Эйнштейн теңдеуі нені өрнектейді?C) Фотоэффект кезіндегі энергияның сақталу заңы

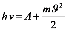
704. Сыртқы фотоэффекті үшін Эйнштейн теңдеуін көрсетіңіз.C)

705. Сыртқы фотоэффектінің негізгі заңдылықтары Эйнштейн формуласымен өрнектелетіні белгілі. Электрондардың А шығу жұмысы неге байланысты?C) Фотокатод материалына

706. Тiзбектi ток көзінен ажырату уақытының ұзақтығы 0,2 с болғанда катушкада 10 В өздiк индукциясының орташа ЭҚК-i пайда болса, катушканы қиып өтетiн магнит ағыны қандай болады?A) 2 Вб

707. Табиғи жарық ауадан сыну көрсеткіші n=1/ болатын кейбір оптикалық ортаға өтеді. Қандай түсу бұрышы кезінде шағылған сәуле толық поляризацияланады?A) 30о

708. Табиғи жарық ауадан сыну көрсеткіші n= -ке тең оптикалық ортаға түседі. Қандай түсу бұрышы кезінде шағылған сәуле толық поляризацияланған болады?C) 600

709. Табиғи жарық диэлектрикке Брюстер бұрышымен түскен кезде:B) шағылған сәуле толық поляризацияланған болады

710. Табиғи жарықты жазық поляризацияланған жарыққа айналдыратын құрал … деп аталады.D) поляризатор

711. Табиғи жарықты поляризацияланған жарыққа түрлендіретін құрал:D) Николь призмасы

712. Температурасын 2 есе арттырғанда абсолют қара дененің энергетикалық жарықтануы қанша есе өзгереді?E) 16 есе артады

713. Тербелiс жиiлiгiн өзгертпей, катушка индуктивтiлiгiн 3 есе өсiргенде, тербелмелi контурға жалғанған катушканың индуктивтi кедергiсi қалай өзгередi?A) 3 есе артады

714. Тербелiс периоды 10 нс болса, электромагниттiк толқынның толқын ұзындығы қанша болады? 1 (нс=10-9 с)C) 3 м

715. Тербелiстер периодын 4 есе азайтқанда, толқын ұзындығы қаншаға өзгередi?D) 4 есе азаяды

716. Тербелмелi контур индуктивтiгi 2 Гн катушкадан және сыйымдылығы С конденсатордан тұрады. Контурдың меншiктi тербелiсiнiң циклдiк жиiлiгi 100 рад/с болса, конденсатор сыйымдылығы қандай болады?B) 50 мкФ

717. Тербелмелi контур индуктивтiлiгi 3 мГн катушкадан және сыйымдылығы 7 мкФ конденсатордан тұрады. Контурдағы ток күшi мына I=2sin(100pt+p) мА заң бойынша өзгередi десек, тербелмелi контурдың толық энергиясы қандай болады?E) 6 нДж

718. Тербелмелi контур сыйымдылығы 250 мкФ конденсатордан және индуктивтiгi 4 мГн катушкадан тұрады. Контур тербелiсiнiң циклдiк резонанс жиiлiгi қанша болады?C) 1 рад/с

719. Тербелмелi контурда ток күшiнiң уақытқа тәуелдiлiгi қандай формуламен өрнектеледi?D) I = I0 sin wt

720. Тербелмелi контурдағы еркiн тербелiстердiң периоды қандай өрнекпен анықталады?A)

721. Тербелмелi контурдағы кернеу тербелiсi мына заң U=14cos2pt В бойынша берiлген. Бастапқы тербелiс фазасы қандай болады?D) 0 рад

722. Тербелмелi контурдағы кернеудiң уақыт бойынша тербелiстерi U=9 cos(157t+314) B теңдеумен берiлген. Контурдағы кернеудiң амплитудалық мәнi қандай болады?D) 9 В

723. Тербелмелi контурдағы конденсатордың астарларындағы зарядтың және ток күшiнiң тербелiстерінің фазаларының бiр-бiрiнен өзгешелiгi қандай болады?A) p/2 рад

724. Тербелмелi контурдағы конденсатордың сыйымдылығы 10 пФ және заряды 10 мкКл-ға тең. Тербелiстердiң толық өшуiне дейін контурдан бөлiнiп шығатын жылу мөлшерi қандай болады?B) 5 Дж

725. Тербелмелi контурдағы конденсаторының астарларындағы кернеуінің өзгеруі мына заң U=5cos200pt В бойынша өзгередi және сыйымдылығы 2,5мкФ болса, конденсатордың астарларындағы максималь заряд қанша болады?C) 12,5 мкКл

726. Тербелмелi контурдағы ток күші мен конденсатордың потенциалдар айырымы арасындағы тербелiс фазаларының айырымы қандай болады?B) ток күшi фаза бойынша потенциалдар айырымынан p/2-ге алда болып тырады.

727. Тербелмелi контурдың конденсаторының астарларындағы заряд q=15cos200t мкКл заңы бойынша өзгередi. Контурдағы максималь ток күшi қандай болады?B) 3 мА

728. Тербелмелi контурдың конденсаторының астарларындағы заряд мына заң q=0,5cos2pt мкКл бойынша өзгередi. Егер конденсатордың сыйымдылығы 2,5 мкФ болса, кез-келген уақыт мезгілінде тербелмелi контурдың толық энергиясы қандай болады?A) 0,05 мкДж

729. Тербелмелi контурдың тiзбегiне сыйымдылығы 16 пФ конденсатор және индуктивтiгi 4 мкГн катушка жалғанған. Конденсатордың астарларындағы потенциалдар айырымының максималь мәнi 20 В болса, контурдағы ток күшiнiң максималь мәнi қанша болады?D) 40 мА

730. Тербелмелi контурдың тiзбегiне сыйымдылығы 1нФ конденсатор мен индуктивтiлiгi 25мГн катушка жалғанған. Катушканың индуктивтiк кедергiсi қанша болады?A) 5 кОм

731. Тербелмелi контурдың тiзбегiне сыйымдылығы 2 пФ конденсатор жалғанған. Конденсатордың астарларындағы зарядтың амплитудалық мәнi 6нКл. Конденсатордан секунд сайын бөлiнетiн жылу мөлшерi қанша болады?D) 9 мкДж

732. Тербелмелi контурдың тiзбегiне сыйымдылығы 4 пФ конденсатор мен индуктивтiлiгi 2,5 мГн катушка жалғанған. Егер контурдағы ток күшi мына заң I=7sin(108t+0,5p) А бойынша өзгеретiн болса, контурдың сыйымдылық кедергiсi қандай болады?D) 2,5 кОм

733. Тербелмелі контур сиымдылығы 2 ∙10-9 Ф конденсатор мен индуктивтігі 2∙10-3 Гн катушкадан тұрады. Контурдың тербеліс периоды қандай?B) 12,56∙10-6 с

734. Тербелмелі контурда электромагниттік тербеліс болмайды, егер:E)

735. Тербелмелі контурдағы конденсатордың сыйымдылығын 4 есе өсiргенде, тербелмелi контурдың тербелiс периоды қалай өзгередi?A) 2 есе өседi

736. Тербелмелі контурдағы конденсатордың сыйымдылығын екi есе өсiргенде, сыйымдылық кедергiсi қалай өзгередi?D) 2 есе азаяды

737. Тербелмелі контурдағы ток күшінің және конденсатордың астарларындағы потенциалдар айырымының тербелісінің фазаларының айырмашылығы қандай болады?C) Ток күші фаза бойынша потенциалдар айырымына /2 – ге алда

738. Тербелмелі контурдың тербеліс периоды:B) Т

739. Тербеліс векторы жылдамдыққа перпендикуляр, бір жазықтықта реттелген жарық толқыны қалай аталады?C) жазықполяризацияланған

740. Тогы бар 5 өткізгіштердің үшеуін қамтитын L контур бойындағы магнит өріс кернеулігінің циркуляция векторы неге тең? Токтардың шамалары мен бағыттары суретте көрсетілген:B) 4 А

741. Тогы бар дөңгелек орамның центрiнде магнит өрiсiнiң индукциясы қандай формуламен анықталады?A)

742. Тогы бар катушкаға темір өзекше енгізгенде магнит өріс индукциясының шамасы қалай өзгереді?A) Өте көп артады

743. Тогы бар орамның магнит моментi қандай формуламен өрнектеледi?A) P=IS

744. Тогы бар орамның магнит моменті қандай формуламен өрнектеледі?E)

745. Тогы бар өткізгіште қоздырылған магнит өрісінің кернеулігін қай заңмен анықтауға болады:A) Ампер заңы

746. Тогы бар өткізгіштің туғызған магнит өрісінің индукциясын қай заңмен анықтауға болады?B) Био-Савар-Лаплас заңы

747. Тогы бар ұзын өткізгіш өрісінің О нүктесінде өрістің В магнит индукциясы неге тең? Токтың геометриялық пішіні мен бағыты суретте келтірілген:B)

748. Тогы бар шексіз ұзын түзу өткізгіш өрісінің магнит индукция векторы қалай өрнектеледі?A)

749. Тогы бар шексіз ұзын түзу өткізгіш өрісінің В магнит индукциясы қалай өрнектеледі?A)

750. Ток жүріп тұрған түзу шексіз ұзын өткiзгiштен а қашықтықтағы нүктенің магнит өрiсiнiң кернеулiгi қандай формуламен анықталады?C)

751. Ток күшiнiң тербелiс жиiлiгi 50 Гц. Осы тiзбекке жалғанған, индуктивтiлiгi 0,2 Гн катушканың кедергiсi қандай болады?B) 62,8 Ом

752. Ток күшiнiң тербелiсiнiң қандай циклдiк жиiлiгiнде, катушканың индуктивтiк кедергiсi 2 Омға тең болады? Катушка индуктивтiлiгi 0,02 Гн.C) 100 рад/с

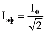
753. Ток күшiнiң эффективтiк және амплитудалық мәндерi арасындағы байланысты көрсет.C)

754. Толқын жеткен әрбір нүкте екінші реттік толқындардың центрі болады да, ал бұл толқындардың бәріне жанама бет берілген уақыт мезетіндегі толқын шебінің орны болып табылдады. Бұл:E) Гюйгенс принципі

755. Толқын жеткен әрбір нүкте екінші реттік толқындардың центрі болады да, ал бұл толқындардың бәріне жанама бет берілген уақыт мезетіндегі толқын шебінің орны болып табылады. Бұл:E) Гюйгенс принципі

756. Толқын ұзындығы l монохромат жарықтың паралель шоғы ені -ға тең болатын саңылауға нормаль түрде түседі. Жарықтың үшінші дифракциялық минимумын қандай бұрыш арқылы бақылауға болады?D) 300

757. Толқын ұзындығы 0,5 мкм монохромат жарық тік бағытта дифракциялық торға түсіп тұр. Тор төртінші ретті үлкен спектр беру үшін, тордың ең кіші периоды қандай болу керек?E) 2 мкм

758. Толқын ұзындығы 0,65 мкм болатын жарық шығарушы екі когерентті жарық көзінен экранда интерференциялық көрініс алынған. Экрандағы төртінші мен бесінші интерференциялық максимумдар аралығы 1 см-ге тең. Егер жарық көздерінің арасы 0,13 мм болса, онда жарық көздерінен экранға дейінгі арақашықтық қаншаға тең?A) 2 м

759. Толқын ұзындығы 30 м, толқынның ауадағы таралу жылдамдығы 3×108 м/с болса, толқын көзiнiң тербелiс жиiлiгi қандай болады?D) 10 МГц

760. Толқын ұзындығы 4 нм рентген сәулелері периоды 16 нм кристалдық торға түседі. Ауытқу бұрышы 30о болған кездегі пайда болатын максимумның реті қанша?D) 4

761. Толқын ұзындығы 480 нм болатын төртінші ретті сызықпен дәл сәйкес келетін үшінші ретті дифракциялық спектрдің сызықтары үшін толқын ұзындығы неге тең болады?C) 640 нм

762. Толқын ұзындығы 510 нм төртінші ретті спектр сызығымен беттесетін, дифракциялық спектріндегі үшінші ретті сызығының толқын ұзындығы қандай болады?A) 680 нм

763. Толқын ұзындықтары , өзара интерференцияланушы екі монохроматты толқындардың оптикалық жол айырымы = 0,4 болса, фаза айырымы қаншаға тең?A) 0,8

764. Толқын фронтын Френель зоналарына бөлудің мүмкіндігі тәжірибе жүзінде қалай дәлелденген?A) Зоналық пластина көмегімен

765. Толқын шебінің әрбір S элементі амплитудасы dS элементінің шамасына пропорционал болатын екінші реттік сфералық толқындардың көзі болып табылады. Сфералық толқынның амплитудасы толқын көзінен 1/r заңы бойынша r ара қашықтық артқан сайын кемиді. Амплитуда толқындық бетке түсірілген сыртқы нормаль мен dS элементінен бақылау нүктесіне жүргізілген бағыттың арасындағы a бұрышқа байланысты. Бұл болып табылады.D) Гюйгенс-Френель принципі

766. Толқындар когерентті деп аталады, егер:C) Олар бірдей жиілік пен тұрақты фазалар айырмасына ие болса

767. Толқындардың интерференциялық шарттарының қажеттілігін көрсетіңіздер.B) толқындардың когеренттілігі

768. Толқындардың интерференциясының шарты қандай?A) Толқындар когерентті болу керек




Поделиться с друзьями:


Дата добавления: 2014-12-16; Просмотров: 1017; Нарушение авторских прав?; Мы поможем в написании вашей работы!


Нам важно ваше мнение! Был ли полезен опубликованный материал? Да | Нет



studopedia.su - Студопедия (2013 - 2026) год. Все материалы представленные на сайте исключительно с целью ознакомления читателями и не преследуют коммерческих целей или нарушение авторских прав! Последнее добавление




Генерация страницы за: 0.008 сек.