Студопедия

КАТЕГОРИИ:


Архитектура-(3434)Астрономия-(809)Биология-(7483)Биотехнологии-(1457)Военное дело-(14632)Высокие технологии-(1363)География-(913)Геология-(1438)Государство-(451)Демография-(1065)Дом-(47672)Журналистика и СМИ-(912)Изобретательство-(14524)Иностранные языки-(4268)Информатика-(17799)Искусство-(1338)История-(13644)Компьютеры-(11121)Косметика-(55)Кулинария-(373)Культура-(8427)Лингвистика-(374)Литература-(1642)Маркетинг-(23702)Математика-(16968)Машиностроение-(1700)Медицина-(12668)Менеджмент-(24684)Механика-(15423)Науковедение-(506)Образование-(11852)Охрана труда-(3308)Педагогика-(5571)Полиграфия-(1312)Политика-(7869)Право-(5454)Приборостроение-(1369)Программирование-(2801)Производство-(97182)Промышленность-(8706)Психология-(18388)Религия-(3217)Связь-(10668)Сельское хозяйство-(299)Социология-(6455)Спорт-(42831)Строительство-(4793)Торговля-(5050)Транспорт-(2929)Туризм-(1568)Физика-(3942)Философия-(17015)Финансы-(26596)Химия-(22929)Экология-(12095)Экономика-(9961)Электроника-(8441)Электротехника-(4623)Энергетика-(12629)Юриспруденция-(1492)Ядерная техника-(1748)

Прочитайте та вивчіть фрази. 3 страница

а) якщо існує то існує і ;

 

П

Послідовність називається обмеженою, якщо:

г) ;

Послідовність називається необмеженою, якщо:

б) ;

Послідовність називається нескінченно малою, якщо:

г) ;

Послідовність називається нескінченно великою, якщо:

в) ;

Похідна функції в точці визначається так:

г)

Похідна параметрично заданої функції: , знаходиться за формулою:

б) ;

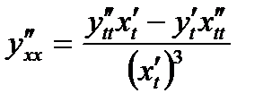
Похідна другого порядку параметрично заданої функції: , знаходиться за формулою:

а) ;

Пряма називається вертикальною асимптотою графіка функції , якщо:

б) хоча б одна з границь чи нескінченна;

Пряма буде горизонтальною асимптотою графіка функції , якщо:

б) ;

 

Рівняння дотичної до графіка функції в точці має вид:

в) ;

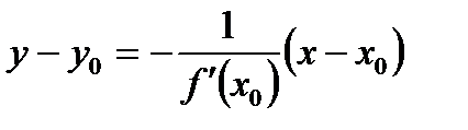
Рівняння нормалі до графіка функції в точці має вид:

б) ;

 

 

Теорема Лагранжа: Якщо функція неперервна на , диференційовна на , то існує точка така, що справедлива рівність

в) ;

Теорема Коші: Якщо функції і неперервні на , диференційовані на , причому при , то існує точка така, що виконана рівність

б) ;

Точка називається критичною точкою функції , якщо:

б) функція в цій точці визначена, а її похідна або дорівнює нулю або не існує;

Функція називається парною, якщо:

б) ;

Функція називається непарною, якщо:

в) ;

Функція називається періодичною, якщо існує таке , що:

в) ;

Функція називається нескінченно малою в точці , якщо:

в) ;

Функція називається нескінченно малою при , якщо:

д) інша відповідь

Функція називається нескінченно великою при , якщо:

г)

 

 

Функція називається нескінченно великою при , якщо:

а)

Функція називається неперервною в точці , якщо:

г) ;

Формула Лейбніца має вид ():

в) ;

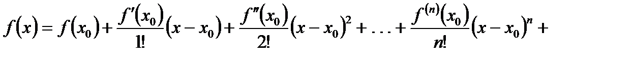
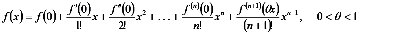
Формула Тейлора для функції має вид:

в)

;

Формула Маклорена для функції має вид:

 

б)

 

Число називається границею послідовності , якщо:

а) ;

Число є границею числової послідовності , загальний член якої має вид:

г) ;

Число називається границею функції в точці , якщо:

в)

Число називається границею функції при , якщо:

а)

Число називається границею функції при , якщо:

г)

Число називається границею функції при , якщо:

в)

Число називається границею функції в точці зліва, якщо:

б)

Число називається границею функції в точці справа, якщо:

б)

 

Що з наступного є символічним записом невизначеності:

1) ; 2) ; 3) ; 4) .

г) 2 і 4;

Що з наступного є символічним записом невизначеності:

1) ; 2) ; 3) ; 4) .

в)1 і 3;

 

Що з наступного є символічним записом невизначеності:

1) ; 2) ; 3) ; 4) .

д) інша відповідь.

Що з наступного не є символічним записом невизначеності:

1) ; 2) ; 3) ; 4) .

б) тільки 3;

Які з наступних тверджень є правильними:

1) Якщо послідовність монотонна, то вона збіжна;

2) Якщо послідовність збіжна, то вона обмежена;

3) Якщо послідовність обмежена, то вона збіжна;

4) Якщо послідовність монотонна і обмежена, то вона збіжна.

а) 2 і 4;

Які з наступних тверджень є правильними:

1) Якщо послідовність нескінченно велика, то вона необмежена;

2) Якщо послідовність збіжна, то вона монотонна;

3) Якщо монотонна послідовність обмежена, то вона збіжна;

4) Якщо послідовність необмежена, то вона нескінченно велика.

д) інша відповідь.

Які з наступних тверджень не є правильними:

1) Всяка розбіжна послідовність є необмеженою:

2) Всяка збіжна послідовність є обмеженою;

3) Всяка монотонна обмежена послідовність є збіжною;

4) Всяка обмежена послідовність є збіжною.

г) 2 і 3;

 

Які з наступних тверджень не є правильними:

1) Всяка нескінченно велика послідовність є необмеженою;

2) Всяка необмежена послідовність є нескінченно великою;

3) Всяка монотонна послідовність є нескінченно великою;

4) Всяка монотонна збіжна послідовність є обмеженою.

д) інша відповідь.

Який з виразів є першою важливою границею:

б) ;

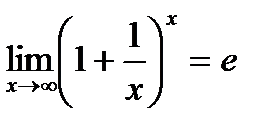
Який з виразів є другою важливою границею:

б)

Які з наведених нижче нескінченно малих еквівалентні при :

1) ; 2) ; 3) ; 4) .

а) 1, 2 і 4;

Які з наведених нижче нескінченно малих еквівалентні при :

1) ; 2) ; 3) ; 4) ;

д) інша відповідь

Які з наведених нижче нескінченно малих еквівалентні при :

1) ; 2) ; 3) ; 4) .

б) 1 і 3;

Якщо - точка розриву функції першого роду, то які з наступних висловлювань можуть бути істинними:

Односторонні границі в точці існують, скінченні, але не рівні між собою;

Односторонні границі в точці існують, скінченні, рівні між собою, але не дорівнюють значенню функції в точці (в точці функція може і не існувати);

Хоча б одна з односторонніх границь в точці або не існує, або нескінченна.

б) тільки 1;

Якщо - точка розриву функції другого роду, то які з наступних висловлювань можуть бути істинними:

Односторонні границі в точці існують, скінченні, але не рівні між собою;

Односторонні границі в точці існують, скінченні, рівні між собою, але не дорівнюють значенню функції в точці (в точці функція може і не існувати);

Одна з односторонніх границь в точці не існує.

в) тільки 3;

Які з наступних рівностей є правильними ( ):

1) ; 2) ; 3) ; 4) .

а) 1 і 3;

Які з наступних рівностей є правильними ( ):

1) ; 2) ; 3) ; 4) .

д) інша відповідь

 

Які з наступних рівностей є правильними ( ):

1) ; 2) ; 3) ; 4) ;

б) 2 і 3;

Якщо функція має похідну в точці , а функція має похідну у відповідній точці , то складена функція має похідну в точці і справедлива формула:

в) ;

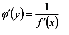
Якщо функція має похідну в точці , то обернена функція має похідну у відповідній точці , яка обчислюється за формулою:

г) ;

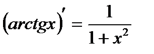
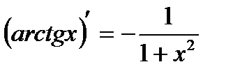
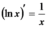
Які з наступних рівностей є правильними:

1) ; 2) ;

3) ; 4) .

в) 1 і 3;

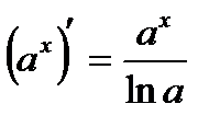
Які з наступних рівностей є правильними:

1) ; 2) ; 3) ; 4) .

г) 1, 2 і 4;

Які з наступних рівностей є правильними:

1) ; 2) ; 3) ; 4) .

г) 2 і 4;

Які з наступних рівностей є правильними:

1) ; 2) ; 3) ; 4) .

б) 1, 3 і 4;

Які з наступних рівностей є правильними:

1) ; 2) ; 3) ; 4) .

а) 2, 3 і 4;

Які з наступних рівностей є правильними:

1) ; 2) ; 3) ; 4) .

в) 1 і 4;

Які з наступних рівностей є правильними:

1) ; 2) ; 3) ; 4) ;

в) 1, 2 і 3;

Якщо , де , то:

г)

Які з наступних рівностей є правильними ( ):

1) ; 2) ; 3) ; 4) ;

д) інша відповідь.

Які з наступних рівностей є правильними ( ):

1) ; 2) ; 3) ; 4) ;

б) 2 і 3;

Яка з наступних формул застосовується в наближених обчисленнях.

г)

Які з наведених умов є умовами теореми Ролля:

г) функція неперервна на , диференційовна на ;

Які з наступних тверджень є істинними?

1) Для того, щоб в точці функція мала локальний екстремум достатньо, щоб в цій точці похідна функції або дорівнювала нулю або не існувала;

2) Якщо і при переході через точку похідна міняє знак, то в точці функція має локальний екстремум;

3) Якщо функція має в точці локальний екстремум і диференційована в цій точці, то ;

4) Якщо в точці похідна функції не існує, то в цій точці функція має локальний екстремум.

в) 2 і 3;

Якщо в точці функція має неперервну другу похідну і точка є точкою перегину графіка функції, то:

в) ;

 

Які з вказаних функцій є парними:

1) ; 2) ; 3) ; 4) .

в) 1 і 3;

<== предыдущая лекция | следующая лекция ==>
Прочитайте та вивчіть фрази. 2 страница | Прочитайте та вивчіть фрази. 4 страница
Поделиться с друзьями:


Дата добавления: 2014-12-16; Просмотров: 1733; Нарушение авторских прав?; Мы поможем в написании вашей работы!


Нам важно ваше мнение! Был ли полезен опубликованный материал? Да | Нет



studopedia.su - Студопедия (2013 - 2026) год. Все материалы представленные на сайте исключительно с целью ознакомления читателями и не преследуют коммерческих целей или нарушение авторских прав! Последнее добавление




Генерация страницы за: 0.011 сек.