Студопедия

КАТЕГОРИИ:


Архитектура-(3434)Астрономия-(809)Биология-(7483)Биотехнологии-(1457)Военное дело-(14632)Высокие технологии-(1363)География-(913)Геология-(1438)Государство-(451)Демография-(1065)Дом-(47672)Журналистика и СМИ-(912)Изобретательство-(14524)Иностранные языки-(4268)Информатика-(17799)Искусство-(1338)История-(13644)Компьютеры-(11121)Косметика-(55)Кулинария-(373)Культура-(8427)Лингвистика-(374)Литература-(1642)Маркетинг-(23702)Математика-(16968)Машиностроение-(1700)Медицина-(12668)Менеджмент-(24684)Механика-(15423)Науковедение-(506)Образование-(11852)Охрана труда-(3308)Педагогика-(5571)Полиграфия-(1312)Политика-(7869)Право-(5454)Приборостроение-(1369)Программирование-(2801)Производство-(97182)Промышленность-(8706)Психология-(18388)Религия-(3217)Связь-(10668)Сельское хозяйство-(299)Социология-(6455)Спорт-(42831)Строительство-(4793)Торговля-(5050)Транспорт-(2929)Туризм-(1568)Физика-(3942)Философия-(17015)Финансы-(26596)Химия-(22929)Экология-(12095)Экономика-(9961)Электроника-(8441)Электротехника-(4623)Энергетика-(12629)Юриспруденция-(1492)Ядерная техника-(1748)

Разработка плана тепловой сети и гидравлический расчет в первом приближении




Расчет температуры сетевой воды на выходе из первой ступени водоподогревателя, закрытые системы, смешанное подключение водоподогревателей.

Расчет выполняется по формулам (2.12), (2.13), (2.14) раздела 2.2.1, по данным расчета строится соответствующая кривая на температурном графике (рисунок 2.1).

Перед разработкой плана тепловой сети обосновывается и принимается решение о способе ее прокладки. Обычно рекомендуется бесканальная подземная прокладка предварительно изолированных трубопроводов или подземная прокладка в непроходных каналах. При выборе можно учитывать следующее:

3.2. стоимость бесканальной прокладки ниже, чем прокладки в непроходных каналах;

3.3. трубы с пенополиуретановой (ППУ) изоляцией могут применяться при температуре 1300С и ниже, они должны иметь систему оперативного дистанционного контроля (ОДК) состояния изоляции, однако им не требуется попутный дренаж;

3.4. трубы с пенополимерминеральной (ППМ) изоляцией могут применяться при температуре до 1500С, им не нужна система ОДК, однако при уровне грунтовых вод, достигающем уровня трубопроводов, требуется попутный дренаж.

План тепловой сети разрабатывается с учетом требований СНиП 41-02-2003, СП 41-105-2002 и др. в упрощенном виде, и показывается на генеральном плане района одной линией. Рекомендуется квартальные сети присоединять к магистральным трубопроводам через центральные тепловые пункты (ЦТП). На плане показываются источник теплоты, магистральные трубопроводы и ответвления к ЦТП, узловые теплокамеры УТ, сами ЦТП и идущие от них до кварталов главные трубопроводы квартальных сетей. Для определения количества и расположения ЦТП можно воспользоваться следующими рекомендациями:

количество кварталов, объединяемых одним ЦТП – от 2 до 6;

тепловая нагрузка одного ЦТП – от 8 до 30 МВТ, она определяется суммированием расчетных тепловых нагрузок кварталов, которые определяются по формулам, приведенным в таблицах 2.1 и 2.2. Узлы трубопроводов и ЦТП на плане нумеруются. Пример плана сетей показан на рисунке 3.1. Для выбора ЦТП рекомендуется составить дополнительную таблицу, пример которой – таблица 3.1.

Пример плана показан на рисунке 3.1.

 

На основе плана составляется расчетная схема (одной линией, повороты трасс показывать необязательно), на которой показываются магистральные трубопроводы, ответвления к ЦТП и сами ЦТП с их нумерацией.

Участкам и узловым точкам сети присваиваются номера. Узловыми точками являются источник тепла, точки разветвления трубопроводов, а также ЦТП. Пример расчетной схемы показан на рисунке 3.2.


 

Рисунок 3.1 – Упрощенный план тепловой сети (пример)


 

Рисунок 3.2 - Расчетная схема тепловой сети (пример).

 


Таблица 3.1 – Расчетные тепловые нагрузки для определения количества и расположения ЦТП (пример, регулирование по совмещенной нагрузке, открытая система)

№ кв , МВт , МВт (), см табл. 2.1, 2.2, МВт , см табл. 2.1, 2.2, МВт , см табл. 2.1, 2.2, МВт МВт
  1,5 0,2 0,74 0,81 2,51 1,15
  1,5 0,2 0,74 0,81 2,51 1,15
  1,5 0,2 0,74 0,81 2,51 1,15
  1,5 0,2 0,74 0,81 2,51 1,15
  1,5 0,2 0,74 0,81 2,51 1,15
  1,5 0,2 0,74 0,81 2,51 1,15
  1,5 0,2 0,74 0,81 2,51 1,15
  1,5 0,2 0,74 0,81 2,51 1,15
  1,5 0,2 0,74 0,81 2,51 1,15
  1,5 0,2 0,74 0,81 2,51 1,15
  1,5 0,2 0,74 0,81 2,51 1,15
  1,5 0,2 0,74 0,81 2,51 1,15
  2,2 0,2 0,74 0,81 3,21 1,15
  2,2 0,2 0,74 0,81 3,21 1,15
  2,2 0,2 0,74 0,81 3,21 1,15
  2,3 0,2 0,7 0,77 3,27 0,85
  26,9 3,2 11,8   43,02 18,1

 

Далее выполняется расчет расходов сетевой воды по ЦТП. Вначале суммируются тепловые нагрузки по кварталам, обслуживаемым каждым ЦТП, затем по формулам, приведенным ниже, определяются расходы сетевой воды на отопление, вентиляцию и ГВС, а также суммарные по всем видам тепловых нагрузок по каждому ЦТП.

Расчетный расход сетевой воды на отопление и вентиляцию, т/ч

с=4,19 кДж/кг/К – удельная теплоемкость воды.

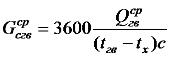
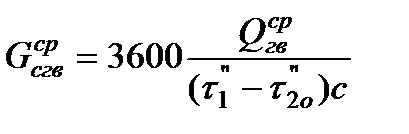
Расчетный средний расход сетевой воды на горячее водоснабжение, т/ч, открытые системы:

Расчетный средний расход сетевой воды на горячее водоснабжение, т/ч, закрытые системы:

Расчетный максимальный расход сетевой воды на горячее водоснабжение, т/ч, открытые системы:

Расчетный максимальный расход сетевой воды на горячее водоснабжение, т/ч, закрытые системы, параллельное присоединение водоподогревателей:

Расчетный максимальный расход сетевой воды на горячее водоснабжение, т/ч, закрытые системы, смешанное присоединение водоподогревателей:

Суммарный расчетный расход сетевой воды , т/ч, определяется по формулам, приведенным в таблицах 2.1 и2.2.

Расчетный летний расход сетевой воды, т/ч, открытые системы:

Расчетный летний расход сетевой воды, т/ч, закрытые системы:

Результаты расчетов расходов по ЦТП удобно представлять в табличной форме, пример которой – таблица 3.2.


 

Таблица 3.2.- Определение расходов сетевой воды по кварталам,

(пример, регулирование по совмещенной нагрузке, открытая система)

№ ЦТП № кв , см табл. 3.1, МВт МВт МВт т/ч т/ч т/ч , МВт , т/ч
    10,74 7,5       80,5 4,6 87,8
 
 
 
    12,2         96,7 4,3 82,1
 
 
 
    10,04 6,8       73,0 4,6 87,8
 
 
 
    10,04 6,8       73,0 4,6 87,8
 
 
 
Σ             323,3   345,6

 

 




Поделиться с друзьями:


Дата добавления: 2014-11-29; Просмотров: 531; Нарушение авторских прав?; Мы поможем в написании вашей работы!


Нам важно ваше мнение! Был ли полезен опубликованный материал? Да | Нет



studopedia.su - Студопедия (2013 - 2025) год. Все материалы представленные на сайте исключительно с целью ознакомления читателями и не преследуют коммерческих целей или нарушение авторских прав! Последнее добавление




Генерация страницы за: 0.011 сек.