Студопедия

КАТЕГОРИИ:


Архитектура-(3434)Астрономия-(809)Биология-(7483)Биотехнологии-(1457)Военное дело-(14632)Высокие технологии-(1363)География-(913)Геология-(1438)Государство-(451)Демография-(1065)Дом-(47672)Журналистика и СМИ-(912)Изобретательство-(14524)Иностранные языки-(4268)Информатика-(17799)Искусство-(1338)История-(13644)Компьютеры-(11121)Косметика-(55)Кулинария-(373)Культура-(8427)Лингвистика-(374)Литература-(1642)Маркетинг-(23702)Математика-(16968)Машиностроение-(1700)Медицина-(12668)Менеджмент-(24684)Механика-(15423)Науковедение-(506)Образование-(11852)Охрана труда-(3308)Педагогика-(5571)Полиграфия-(1312)Политика-(7869)Право-(5454)Приборостроение-(1369)Программирование-(2801)Производство-(97182)Промышленность-(8706)Психология-(18388)Религия-(3217)Связь-(10668)Сельское хозяйство-(299)Социология-(6455)Спорт-(42831)Строительство-(4793)Торговля-(5050)Транспорт-(2929)Туризм-(1568)Физика-(3942)Философия-(17015)Финансы-(26596)Химия-(22929)Экология-(12095)Экономика-(9961)Электроника-(8441)Электротехника-(4623)Энергетика-(12629)Юриспруденция-(1492)Ядерная техника-(1748)

Общие сведения. Осциллографа и частоты синусоидального сигнала




Методом фигур Лиссажу

Осциллографа и частоты синусоидального сигнала

Определение чувствительности электроннолучевой трубки

Лабораторная работа № 2

Контрольные вопросы

 

4.1 Как формулируется закон Кулона?

4.2 Как формулируются определения напряженности и потенциала электрического поля в данной точке?

4.3 Как связана работа по перемещению заряда в электрическом поле с знаком заряда и изменением его кинетической и потенциальной энергии?

4.4 Как выражается связь между напряженностью электрического поля и потенциалом?

4.5 Как наглядно изобразить электрическое поле? Как выглядит изображение поля системы двух одноименных и двух разноименных зарядов?

4.6 Что такое циркуляция вектора напряженности электрического поля?

4.7 Почему циркуляция вектора напряженности электростатического поля равна нулю?

4.8 Как формулируется теорема Гаусса (Остроградского-Гаусса)?

4.9 Что такое градиент потенциала?

 

Цель и задачи работы: Изучение движения заряженных частиц в электрическом поле, определение чувствительности осциллографа и электроннолучевой трубки, освоение методики измерений напряжения по амплитуде сигнала и частоты электрических синусоидальных колебаний с помощью фигур Лиссажу.

 

Электронный осциллограф предназначен для исследования формы электрических сигналов путем наблюдения и измерения их параметров. Достоинством электронного осциллографа является его высокая чувствительность и безынерционность действия, что позволяет исследовать процессы с амплитудой менее 1∙10-3 В, длительность которых порядка 10-8 с. С помощью электронного осциллографа возможно также наблюдение изменения неэлектрических величин (температуры, давления, плотности и т.п.), предварительно преобразованных в электрические сигналы соответствующими датчиками.

Основной частью электронного осциллографа является электронно-лучевая трубка (ЭЛТ), состоящая из стеклянного баллона, из которого выкачан воздух до давления» 10-6 мм рт. ст. Основные элементы трубки: электронная пушка, создающая поток электронов, отклоняющие пластины и флуоресцирующий экран с некоторым послесвечением. Экран светится только в тех точках, куда попадают быстро летящие электроны.

Схематично ЭЛТ изображена на рисунке 1. Электронный пучок формируется в электронной пушке, состоящей из подогреваемого катода 1, покрытого окисью бария или стронция, нити накала 2, управляющего электрода с диафрагмой 3 для пропускания узкого пучка электронов, первого анода 4 и второго анода 5.

Изменяя потенциал на управляющем электроде 3, можно регулировать количество электронов, проходящих через его отверстие, а следовательно, и яркость пятна на экране трубки 6. Первый анод 4, представляющий собой цилиндр, внутри которого на некотором расстоянии друг от друга расположены диафрагмы с небольшими отверстиями, и второй анод 5служатдля формирования, фокусирования и разгона электронного пучка.

 

Рисунок 1 Схема электронно-лучевой трубки: Пx и Пy – горизонтально и вертикально отклоняющие пластины; 1 – катод; 2 – нить накала; 3 – диафрагма; 4, 5 – ускоряющие аноды; 6 – экран

 

Для отклонения электронного луча используется система из двух пар металлических параллельных пластин, расположенных во взаимно перпендикулярных плоскостях. Электрическое поле пластин, расположенных горизонтально, отклоняет луч вертикально – это вертикально отклоняющие пластины Пy. Другая пара пластин, расположенных вертикально, носит название горизонтально отклоняющих пластин Пx.

Для характеристики отклоняющей системы используют чувствительность трубки к напряжению на пластинах. Чувствительность трубки , измеряющаяся в , показывает величину отклонения электронного луча на экране в миллиметрах при разности потенциалов на отклоняющих пластинах в 1 В.

Рассмотрим движение электронного пучка. Допустим, что электрическое поле, созданное управляющими пластинами однородно и перпендикулярно к плоскости пластин (рисунок 2). Полное отклонение , как видно из рисунка, состоит из: - отклонения при движении между пластинами и - отклонения при движении от конца пластин до экрана.

На основании законов кинематики и динамики движения заряженных частиц в электрическом поле можно получить формулы для расчета отклонения луча на экране:

, (1)

, (2)

где - напряжение между пластинами (отклоняющее напряжение), В; - напряжение между катодом и вторым анодом (разгоняющее напряжение), В; - заряд электрона, Кл; - масса электрона, кг (с. 368, /5/).

Объединяя (1) и (2), получаем полное отклонение на экране:

. (3)

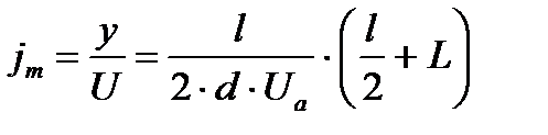
По определению чувствительность трубки:

. (4)

Рисунок 2 Движение электрона между пластинами и от пластин к экрану: l - длина пластин; d – расстояние между пластинами; L - расстояние от конца пластин до экрана; U - разность потенциалов между отклоняющими пластинами

 

Из (4) видно, что чувствительность зависит от расстояния между отклоняющими пластинами расстояния от них до экрана и от напряжения на втором аноде.

Для развертки на экране изучаемого сигнала на пластины П x подается пилообразное напряжение (рисунок 3) с генератора развертки.

Как видно из рисунка 3, период пилообразного напряжения . Качество генератора развертки тем лучше, чем ближе к нулю.

При одновременной подаче синусоидального напряжения на пластины П y и пилообразного напряжения на пластины П x на экране осциллографа наблюдается синусоида. Количество периодов, изображаемой на экране синусоиды, зависит от соотношения периодов пилообразного и исследуемого напряжений.

 

Рисунок 3 График пилообразного напряжения: - время «прямого» хода луча (слева направо); - время «обратного» хода луча

(справа налево)

 

При подаче на отклоняющие пластины Х и Y одновременно двух синусоидальных напряжений:

и , (5)

на экране осциллографа получаются линии, называемые фигурами Лиссажу. В самом простом случае, при сложении колебаний с одинаковыми частотами и разностью фаз получается эллипс, вписанный в прямоугольник со сторонами и , где , а . Уравнение эллипса имеет вид:

. (6)

Форма и ориентация эллипса зависят от разности фаз складываемых колебаний (рисунок 4).

 

Рисунок 4 Изображение на экране осциллографа при сложении двух взаимно перпендикулярных гармонических колебаний

с произвольной разностью фаз

 

При разности фаз , где =0, ± 1, ±2, и т.д. полуоси эллипса совпадают с осями координат. Если , где = 0, ±1, ±2, и т.д., эллипс вырождается в прямую линию, являющуюся диагональю прямоугольника. При непрерывно изменяющейся разности фаз эллипс непрерывно изменяет свое положение и форму. При сложении колебаний с неравными частотами вид фигур усложняется. Пример одной из таких фигур приведен на рисунке 5.

Рисунок 5 Фигура Лиссажу, получающаяся при сложении колебаний и




Поделиться с друзьями:


Дата добавления: 2014-11-28; Просмотров: 540; Нарушение авторских прав?; Мы поможем в написании вашей работы!


Нам важно ваше мнение! Был ли полезен опубликованный материал? Да | Нет



studopedia.su - Студопедия (2013 - 2025) год. Все материалы представленные на сайте исключительно с целью ознакомления читателями и не преследуют коммерческих целей или нарушение авторских прав! Последнее добавление




Генерация страницы за: 0.012 сек.