Студопедия

КАТЕГОРИИ:


Архитектура-(3434)Астрономия-(809)Биология-(7483)Биотехнологии-(1457)Военное дело-(14632)Высокие технологии-(1363)География-(913)Геология-(1438)Государство-(451)Демография-(1065)Дом-(47672)Журналистика и СМИ-(912)Изобретательство-(14524)Иностранные языки-(4268)Информатика-(17799)Искусство-(1338)История-(13644)Компьютеры-(11121)Косметика-(55)Кулинария-(373)Культура-(8427)Лингвистика-(374)Литература-(1642)Маркетинг-(23702)Математика-(16968)Машиностроение-(1700)Медицина-(12668)Менеджмент-(24684)Механика-(15423)Науковедение-(506)Образование-(11852)Охрана труда-(3308)Педагогика-(5571)Полиграфия-(1312)Политика-(7869)Право-(5454)Приборостроение-(1369)Программирование-(2801)Производство-(97182)Промышленность-(8706)Психология-(18388)Религия-(3217)Связь-(10668)Сельское хозяйство-(299)Социология-(6455)Спорт-(42831)Строительство-(4793)Торговля-(5050)Транспорт-(2929)Туризм-(1568)Физика-(3942)Философия-(17015)Финансы-(26596)Химия-(22929)Экология-(12095)Экономика-(9961)Электроника-(8441)Электротехника-(4623)Энергетика-(12629)Юриспруденция-(1492)Ядерная техника-(1748)

К оформлению результатов. Порядок выполнения работы и требования




Порядок выполнения работы и требования

 

3.1 При подготовке к лабораторной работе необходимо составить конспект по одному из учебников, указанных в библиографическом списке:

- для инженерных специальностей: С. 242-250 /2/, С. 450-456 /3/, С. 610-615 /4/;

- для неинженерных специальностей: С. 320-326 /5/.

3.2 Подключить исследуемый полупроводниковый резистор к цифровому омметру.

3.3 Включить омметр в электрическую сеть, термометром определить комнатную температуру и измерить соответствующую величину сопротивления полупроводникового резистора (с точностью до 1 кОм) при комнатной температуре.

3.4 Включить в электрическую сеть сушильный шкаф с исследуемым полупроводниковым резистором и измерить величину его сопротивления (с точностью до 1 кОм) через каждые 10 ° С,изменяя температуру от 30 ° С до 100 ° С. Результаты измерений занести в таблицу 1.

 

Таблица 1 Результаты измерений и расчетов зависимости сопротивления полупроводника от температуры

№ измерения Результаты измерений и расчетов
, , , кОм K , Дж , эВ погрешность
                   
           
-          
n        

 

3.5 Выключить приборы.

3.6 Построить на миллиметровой бумаге график зависимости , как на рисунке 3а, откладывая по оси абсцисс абсолютную температуру (рекомендуемый масштаб 10 К/см), а по оси ординат сопротивление (рекомендуемый масштаб 50 кОм/см).

3.7 Построить на миллиметровой бумаге график температурной зависимости , как на рисунке 3б, откладывая по оси абсцисс (рекомендуемый масштаб 0,0005 ), а по оси ординат логарифм величины сопротивления (рекомендуемый масштаб 0,1 ). Прямую провести так, чтобы примерно половина экспериментальных точек находилась над линией, а половина под ней.

3.3 Выбрать на полученной прямой две точки: первую – ближе к началу графика, вторую – ближе к концу (рисунок 3б). Определить по графику для этих точек величины: , и , . Определить угловой коэффициент прямой по формуле:

. (13)

3.4 Вычислить среднюю энергию активации электрона по формуле (12) в Дж и в эВ.

3.5 Определить погрешность , руководствуясь методическими указаниями по анализу погрешностей /6/.

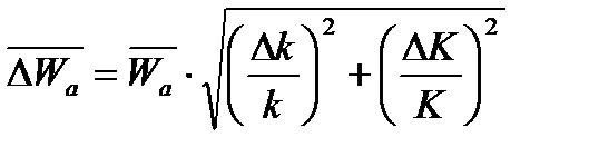
3.6 Определить погрешность определения энергии активации по формуле:

, (14)

где =(1,38±0,005)∙10-23 - постоянная Больцмана.

3.7 Представить результаты расчета энергии активации в виде:

.

3.8 Сделать выводы, и по справочнику для полупроводников определить материал по его ширине запрещенной зоны.

 




Поделиться с друзьями:


Дата добавления: 2014-11-28; Просмотров: 316; Нарушение авторских прав?; Мы поможем в написании вашей работы!


Нам важно ваше мнение! Был ли полезен опубликованный материал? Да | Нет



studopedia.su - Студопедия (2013 - 2026) год. Все материалы представленные на сайте исключительно с целью ознакомления читателями и не преследуют коммерческих целей или нарушение авторских прав! Последнее добавление




Генерация страницы за: 0.01 сек.