Студопедия

КАТЕГОРИИ:


Архитектура-(3434)Астрономия-(809)Биология-(7483)Биотехнологии-(1457)Военное дело-(14632)Высокие технологии-(1363)География-(913)Геология-(1438)Государство-(451)Демография-(1065)Дом-(47672)Журналистика и СМИ-(912)Изобретательство-(14524)Иностранные языки-(4268)Информатика-(17799)Искусство-(1338)История-(13644)Компьютеры-(11121)Косметика-(55)Кулинария-(373)Культура-(8427)Лингвистика-(374)Литература-(1642)Маркетинг-(23702)Математика-(16968)Машиностроение-(1700)Медицина-(12668)Менеджмент-(24684)Механика-(15423)Науковедение-(506)Образование-(11852)Охрана труда-(3308)Педагогика-(5571)Полиграфия-(1312)Политика-(7869)Право-(5454)Приборостроение-(1369)Программирование-(2801)Производство-(97182)Промышленность-(8706)Психология-(18388)Религия-(3217)Связь-(10668)Сельское хозяйство-(299)Социология-(6455)Спорт-(42831)Строительство-(4793)Торговля-(5050)Транспорт-(2929)Туризм-(1568)Физика-(3942)Философия-(17015)Финансы-(26596)Химия-(22929)Экология-(12095)Экономика-(9961)Электроника-(8441)Электротехника-(4623)Энергетика-(12629)Юриспруденция-(1492)Ядерная техника-(1748)

К а р а г і н а н и




Використання агару в харчовій промисловості

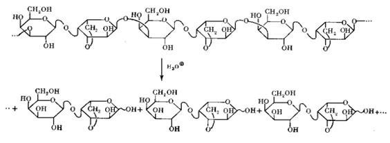
Хімічна структура

Агар являє собою суміш двох полісахаридів – агарози та агаропектину. Вони належать до сульфітованих полісахаридів і відрізняються вмістом сульфогруп.

Рис. 18 агаробіоза агаробіоза агаробіоза

 

Рис. 19 Технологічна схема виробництва агару

• кондитерські вироби (у т.ч низькокалорійні), зефір, пастила, мармелад, глазурі, начинки, суфле,

• фрукти в желе, джем, конфітюр, фруктові та овочеві консерви,
• жувальна гумка,
• морозиво,
• згущене молоко,
• майонез,
• хлібобулочні вироби (для уповільнення черствіння),
• освітлення напоїв та пива,
• м'ясні та рибні консерви,
• діабетичні продукти.

 

Застосування агару в харчовій промисловості не лімітовано і регламентується тільки рецептурами і стандартами на харчові продукти.

 

Табл. 9 Типові дозування, г / кг:
Кондитерські вироби, желе.............................. ……..10-20
Глазурі, покриття........................................... ….....10-30
Морозиво, майонез....................................................5-10
Хлібобулочні вироби (для уповільнення черствіння)..... 1-10
Для освітлення напоїв.................................... ……..0,5-1,5

 

Рис. 20 Структура карагінанів

Табл. 10 Властивості каррагинанів

Середовище Тип каррагінану
каппа йота лямбда
Розчинність
Вода, 80°С Так Так Так
Вода, 20°С Na-сіль Na-сіль Так
  К-, Са-та NН4-солі набрякають Са — сіль набрякає з утворенням тиксотропної дисперсії Так
Молоко, 80°С Так Так Так
Молоко, 20°С Ні Ні Загущує
50%-й розчин цукру При нагріванні Ні Так
5%-й розчин солі      
гарячий Набрякає Набрякає Так
холодний Ні Ні Так
Гелеутворення
Міцні гелі З іонами К З іонами Са Ні
Текстура геля Хрупкий Еластичний
Синерезис Так Ні Ні
Стабильність при заморожувані/розморожуванні Ні Так Так
Взаємодія з білками молока Крихкий гель Еластичный гель Слабкий гель
Стабільнсть гелей в кислому середовищі Стійкий выще рН 3,8 Стійкий вище рН 3,8 Не використовується

 

Рис. 21 Технологічна схема виробництва карагінану




Поделиться с друзьями:


Дата добавления: 2014-11-29; Просмотров: 726; Нарушение авторских прав?; Мы поможем в написании вашей работы!


Нам важно ваше мнение! Был ли полезен опубликованный материал? Да | Нет



studopedia.su - Студопедия (2013 - 2026) год. Все материалы представленные на сайте исключительно с целью ознакомления читателями и не преследуют коммерческих целей или нарушение авторских прав! Последнее добавление




Генерация страницы за: 0.011 сек.