Студопедия

КАТЕГОРИИ:


Архитектура-(3434)Астрономия-(809)Биология-(7483)Биотехнологии-(1457)Военное дело-(14632)Высокие технологии-(1363)География-(913)Геология-(1438)Государство-(451)Демография-(1065)Дом-(47672)Журналистика и СМИ-(912)Изобретательство-(14524)Иностранные языки-(4268)Информатика-(17799)Искусство-(1338)История-(13644)Компьютеры-(11121)Косметика-(55)Кулинария-(373)Культура-(8427)Лингвистика-(374)Литература-(1642)Маркетинг-(23702)Математика-(16968)Машиностроение-(1700)Медицина-(12668)Менеджмент-(24684)Механика-(15423)Науковедение-(506)Образование-(11852)Охрана труда-(3308)Педагогика-(5571)Полиграфия-(1312)Политика-(7869)Право-(5454)Приборостроение-(1369)Программирование-(2801)Производство-(97182)Промышленность-(8706)Психология-(18388)Религия-(3217)Связь-(10668)Сельское хозяйство-(299)Социология-(6455)Спорт-(42831)Строительство-(4793)Торговля-(5050)Транспорт-(2929)Туризм-(1568)Физика-(3942)Философия-(17015)Финансы-(26596)Химия-(22929)Экология-(12095)Экономика-(9961)Электроника-(8441)Электротехника-(4623)Энергетика-(12629)Юриспруденция-(1492)Ядерная техника-(1748)

Равновесие производителя. Изокоста – это линия, точки на которой отражают всевозможные варианты каждой пары ресурсов K и L, которые может приобрести производитель при данных их ценах и




Изокоста – это линия, точки на которой отражают всевозможные варианты каждой пары ресурсов K и L, которые может приобрести производитель при данных их ценах и номинальном доходе.

Рис. 1.22. Изокоста.

Уравнение изокосты:

РL×QL + РK×QK= ТС,

где

o РL и РK – цены факторов производства;

o QL и QK – количество факторов производства;

o ТС – расходы (доход) производителя (величина постоянная).

Угол наклона изокосты к оси L определяется обратным соотношением цен на ресурсы.

Проанализируем экономическую ситуацию. Пусть нам дана производственная функция Q = 7K2/9L7/9. Цены на ресурсысоответственно составляют 4 и 3 условные единицы (у.е). Величина расходов производителя постоянная и равна 24 у. е.

Определим:

1. период производства;

2. количество ресурса, которое приобретет рациональный производитель при данных ценах и денежном доходе, исходя из сложившейся производственной задачи.

Рассуждения:

Анализируемый период производства долгосрочный, т.к. заданная производственная функция степенная.

Для того, чтобы определить количество ресурса, которое приобретет рациональный производитель воспользуемся правилами минимизации затрат или максимизации прибыли (рис. 1.23):

o производитель минимизирует затраты при условии, когда каждый последний рубль, затраченный им на ресурсы даёт одинаковый предельный продукт (правило минимизации затрат).

o предельные продукты всех факторов производства в стоимостном выражении равны их ценам, или каждый ресурс используется до тех пор, пока его предельный продукт в денежном выражении не станет равен цене (правило максимизации прибыли):

Рис. 1.23. Предельная производительность, цена и степень использования ресурса в производстве.

Первая производная производственной функции Q = 7K2/9L7/9 даст нам следующие предельные величины:

MPL = (Q)′L = 49/9(K/ L)2/9

MPK = (Q)′K = 14/9 (L/K)7/9

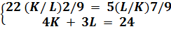
Если мы соответствующие предельные величины соотнесем с их ценами, то получим тождество:

22(K/ L)2/9 = 5(L/K)7/9

Согласно данным правилам производитель должен израсходовать весь свой денежный ресурс, поэтому составим следующую систему уравнений и решим ее:

Мы получим, что рациональный производитель приобретет количество единиц труда L = 6,3, капитала K = 1,3.

Геометрически равновесие производителя можно отобразить следующим образом (рис. 1.24):

Рис. 1.24. Равновесие производителя.




Поделиться с друзьями:


Дата добавления: 2014-11-29; Просмотров: 455; Нарушение авторских прав?; Мы поможем в написании вашей работы!


Нам важно ваше мнение! Был ли полезен опубликованный материал? Да | Нет



studopedia.su - Студопедия (2013 - 2026) год. Все материалы представленные на сайте исключительно с целью ознакомления читателями и не преследуют коммерческих целей или нарушение авторских прав! Последнее добавление




Генерация страницы за: 0.011 сек.