Студопедия

КАТЕГОРИИ:


Архитектура-(3434)Астрономия-(809)Биология-(7483)Биотехнологии-(1457)Военное дело-(14632)Высокие технологии-(1363)География-(913)Геология-(1438)Государство-(451)Демография-(1065)Дом-(47672)Журналистика и СМИ-(912)Изобретательство-(14524)Иностранные языки-(4268)Информатика-(17799)Искусство-(1338)История-(13644)Компьютеры-(11121)Косметика-(55)Кулинария-(373)Культура-(8427)Лингвистика-(374)Литература-(1642)Маркетинг-(23702)Математика-(16968)Машиностроение-(1700)Медицина-(12668)Менеджмент-(24684)Механика-(15423)Науковедение-(506)Образование-(11852)Охрана труда-(3308)Педагогика-(5571)Полиграфия-(1312)Политика-(7869)Право-(5454)Приборостроение-(1369)Программирование-(2801)Производство-(97182)Промышленность-(8706)Психология-(18388)Религия-(3217)Связь-(10668)Сельское хозяйство-(299)Социология-(6455)Спорт-(42831)Строительство-(4793)Торговля-(5050)Транспорт-(2929)Туризм-(1568)Физика-(3942)Философия-(17015)Финансы-(26596)Химия-(22929)Экология-(12095)Экономика-(9961)Электроника-(8441)Электротехника-(4623)Энергетика-(12629)Юриспруденция-(1492)Ядерная техника-(1748)

Механічні властивості твердих тіл. Деформація




Порівняльна характеристика кристалічних та аморфних тіл

Тема: Механічні властивості твердих тіл

МОЛЕКУЛЯРНА ФІЗИКА І ТЕРМОДИНАМІКА

Запитання для закріплення матеріалу

1. Які властивості має поверхневий шар рідини?

2. Що називають поверхневим натягом?

3. Виконавши рисунок, установіть фізичний зміст поверхневого натягу як величини, пов'язаної з енергією поверхневого шару рідини.

4. Наведіть приклади дії сил поверхневого натягу.

5. Що називають коефіцієнтом поверхневого натягу? Від чого він залежить? У яких одиницях виміряється коефіцієнт поверхневого натягу в СІ?

6. Що являє собою сила поверхневого натягу? Яка формула виражає зміст цього поняття?

7. Як зміниться сила поверхневого натягу води у разі розчинення в ній мила?

8. Якої форми набувають краплі рідини в умовах невагомості? Чому?

9. Виконавши пояснювальний рисунок, розкрийте фізичну сутність явищ змочування і незмочування.

10. Чому жирові плями на одязі не вдається змити водою?

11. Що називають меніском?

12. Що таке крайовий кут? Яким є його значення у разі змочування? Незмочування?

13. Що називають капілярністю?

14. Обґрунтуйте, у якому випадку рідина в капілярі піднімається, а в якому опускається.

15. Чому фундамент цегляних будинків покривають гарячим бітумом чи обкладають толем?

16. Виведіть формулу, за якою визначають висоту піднімання чи опускання рідини в капілярі.

17. Наведіть приклади врахування і використання капілярних систем у повсякденному житті.

 

В природі речовина існує в чотирьох фазах: твердому, рідкому, газоподібному і плазмовому.

Як відомо, речовина в газоподібному стані під час свого охолодження переходить в рідкий стан, а при подальшому охолодженні в тверде тіло.

Дивись (Додаток 1).

Типи кристалів:

  Йонні кристали Атомні кристали Молекулярні кристали Металічні кристали
Що в вузлах? Позитивно і негативно заряджені іони Атоми Молекули Позитивні іони металу
Сили взаємодії між частинками Електростатичні Ковалентний зв’язок Молекулярні Електро-статичні
Механізм утворення кристалів NaCl.Na-1e – Cl+1eВідстань між протилежнозарядженими менша,ніж… Обмін валентними електронами-утворення спільної пари Сили взаємодії слабкі Вільні електрони, що рухаються між вузлами.
Особливі ознаки Не можна виділити окремих молекул, весь кристал ніби одна молекула. Найміцніші. Плавляться за дуже низької температури, легко випаровуються Добра електро-провідність, тепло-провідність
Приклади NaCl Алмаз, графіт, германій, сульфід цинку ZnS Тверді гелій, водень, «сухий лід», нафталін, лід H2O Метали

Кожна частинка в кристалі перебуває в певному положенні рівноваги, в якому сили відштовхування і притягання з боку інших частинок, які утворюють кристал однакові.

Якщо, наприклад, тіло розтягувати, то відстані між частинами кристалу збільшуються, при цьому сили притягання починають переважати сили відштовхування і прагнуть повернути частинки в попереднє положення рівноваги.

Навпаки, при стисканні…

Безпосередньо прямим вимірюванням визначити сили, які діють на окремі молекули, атоми чи іони, не можна. Але, якщо зовнішні сили зміщують частину тіла, змінюючи його форму і розміри (тобто спричиняють деформацію тіла), то протидіючі їм внутрішні сили – сили пружності – діятимуть на ту саму частину тіла, прагнучі ліквідувати зміну його форми чи розмірів, що виникла в результаті дії зовнішніх сил.

Таким чином, спостережувані на практиці сили пружності є рівнодіючими (геометричними сумами) дуже великої кількості сил взаємодії між окремими частинками тіла.

Конструюючи різні механізми та будівлі треба знати…

При малих деформаціях твердого тіла виникає сила пружності , модуль якої визначається законом Гука:

,

де - абсолютне значення деформації, а k – жорсткість тіла.

 

Чому ж виникає сила пружності? Для прикладу розглянемо деформацію розтягу кристалічного стержня…

……………………………………………………………………………………..………….

Деформація, яка зникає разом з припиненням дії зовнішньої сили, називається пружною.

Деформація, яка не зникає після припинення дії сили, називається пластичною.

При малих (пружних) деформаціях розтягу і стиску жорсткість k стержня пропорційна площі його поперечного перерізу S і обернено пропорційна його довжині l, так що можна записати:

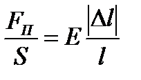
де Е – коефіцієнт пропорційності. Підставивши цей вираз у формулу і поділивши обидві частини на S, дістанемо:

У лівій частині цієї рівності замість модуля сили пружності стоїть відношення .Ця величина називається механічною напругою. Вимірюється в паскалях.

У правій частині рівняння - - відносне видовження . – показує, яку частину початкової довжини становить видовження. Біль зручна характеристика.

Величина Е – модуль пружності (модуль Юнга) .

Отже, закон Гука: .

На відміну від жорсткості k, яка характеризує даний стержень, модуль пружності характеризує механічні властивості матеріалу, нгезалежно від конструкції виготовленого з нього деталей.

 

Види деформацій: (самостійно §26)

 




Поделиться с друзьями:


Дата добавления: 2014-12-07; Просмотров: 987; Нарушение авторских прав?; Мы поможем в написании вашей работы!


Нам важно ваше мнение! Был ли полезен опубликованный материал? Да | Нет



studopedia.su - Студопедия (2013 - 2025) год. Все материалы представленные на сайте исключительно с целью ознакомления читателями и не преследуют коммерческих целей или нарушение авторских прав! Последнее добавление




Генерация страницы за: 0.008 сек.