Студопедия

КАТЕГОРИИ:


Архитектура-(3434)Астрономия-(809)Биология-(7483)Биотехнологии-(1457)Военное дело-(14632)Высокие технологии-(1363)География-(913)Геология-(1438)Государство-(451)Демография-(1065)Дом-(47672)Журналистика и СМИ-(912)Изобретательство-(14524)Иностранные языки-(4268)Информатика-(17799)Искусство-(1338)История-(13644)Компьютеры-(11121)Косметика-(55)Кулинария-(373)Культура-(8427)Лингвистика-(374)Литература-(1642)Маркетинг-(23702)Математика-(16968)Машиностроение-(1700)Медицина-(12668)Менеджмент-(24684)Механика-(15423)Науковедение-(506)Образование-(11852)Охрана труда-(3308)Педагогика-(5571)Полиграфия-(1312)Политика-(7869)Право-(5454)Приборостроение-(1369)Программирование-(2801)Производство-(97182)Промышленность-(8706)Психология-(18388)Религия-(3217)Связь-(10668)Сельское хозяйство-(299)Социология-(6455)Спорт-(42831)Строительство-(4793)Торговля-(5050)Транспорт-(2929)Туризм-(1568)Физика-(3942)Философия-(17015)Финансы-(26596)Химия-(22929)Экология-(12095)Экономика-(9961)Электроника-(8441)Электротехника-(4623)Энергетика-(12629)Юриспруденция-(1492)Ядерная техника-(1748)

Принципы тушения пожаров




1. Снижение температуры горящей смеси до уровня, когда процесс горения не может поддерживаться сам собой:

2. Уменьшение концентрации реагирующих веществ – горючих веществ и окислителя.

Для этого применяются:

• разбавление горючей смеси инертными газами (уменьшение концентрации реагирующих веществ)

• растаскивание горящей зоны (уменьшение концентрации горючего вещества, например, разбрасывание головешек костра)

• прекращение доступа окислителя к зоне горения (уменьшение концентрации окислителя)

3. Введение в зону горения ингибитора (ингибиторы – замедлители химических реакций)

4. Отрыв пламени, т.е. отрыв зоны горения от той части смеси окислителя и горючего вещества, где горения ещё нет (путём взрыва или сильной струей воды)

Огнегасительные вещества и средства (огнетушители)

Огнегасительные вещества и материалы:

• Вода и водяной пар

• Химическая и воздушно-механическая пены

• Водные растворы солей

• Негорючие газы

• Сухие порошки солей

• Покрывала из асбеста

 

Свойства огнегасительных веществ:

Вода и водяной пар:

 

1) вода охлаждает объекты около пожара, препятствуя распространению огня

2) вода охлаждает зону самого пожара

3) вода прекращает доступ кислорода к поверхности горючего вещества

4) водяной пар разбавляет окислитель в газовой фазе

При тушении пожаров используется либо компактная струя воды для сбивания пламени, либо распылённая струя, которая обеспечивает понижение температуры в зоне горения за счёт быстрого испарения мелких капель воды.

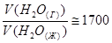
Водяной пар используется для тушения только в помещениях. Пожар затухает, если в помещении объёмная концентрация водяного пара С (Н2О(Г)) > 35 % - разбавление окислителя.

Химическая пена. Устройство и работа огнетушителя химического пеннного (ОХП).

Пена – пузырчатая масса на поверхности жидкости. На рис. 22 изображено устройство огнетушителя химического пенного. При разбивании бойком стеклянной ампулы содержащаяся в ней серная кислота смешивается с раствором пищевой соды. Давление в огнетушителе увеличивается в результате образования газообразного СО2 по реакции:

 

Рис. 22Устройство огнетушителя химического пенного (ОХП).

 

Насыщенная газообразным СО2 жидкость выбрасывается из огнетушителя сильной струёй и покрывает горящее место густой пеной. Пена дополнительно охлаждает его за счёт испарения воды, но главное – изолирует от доступа кислорода. Источник энергии для выбрасывания струи пены – химическая реакция с образованием СО2.

 

Воздушно-механическая пена. В металлическом баллоне огнетушителя содержится смесь сжа-

того воздуха (90%), воды (9,7%) и пенообразователя (~0,3%). Источник энергии для образования струи пены в данном огнетушителе – сжатый воздух.

 

Водные растворы солей. Это могут быть водные растворы термически неустойчивых солей пищевой соды NaHCO3, хлорида аммония NH4Cl. Растворимость в воде этих солей большая. Например, растворимость пищевой соды NaHCO3при температуре 25°С составляет 10%.

При тушении пожара струей водного раствора соды пожару препятствует как сама вода, так и соль, которая разлагается (и, следовательно, при разложении поглощает теплоту) в результате нагревания по реакции:

2NaHCO3 = Na2CO3 + CO2 + H2O (*)

При этом окислитель в газовой фазе разбавляется водяным паром и углекислым газом, а образующийся слой термически устойчивой соли Na2CO3 изолирует горящее место от воздуха.

Негорючие газы:

• СО2 и N2 (разбавляют окислитель и охлаждают зону горения)

• Фторхлоруглеводороды разбавляют горючую смесь и дополнительно играют роль ингибиторов (ингибитор-вещество, замедляющее течение химической реакции)

 

Последнее время широкое распространение получили огнетушители углекислотные (ОУ), представляющие собой металлические баллоны, заполненные жидким СО2 под давлением 70 атм..

При выбрасывании из огнетушителя струи жидкого углекислого газа он испаряется, горящее ве-

щество при этом одновременно и охлаждается и изолируется от кислорода воздуха слоем СО2. Жидкий СО2 испаряется без остатка и окружающие пожар предметы не портятся.

Для справки. При температуре 20 °С углекислый газ сжижается при давлении порядка 70 атмосфер. При давлении 1 атм. жидкий углекислый газ кипит при температуре –78.4оС.

 

 

Огнегасящие сухие порошки – мелкоизмельченные минералы, соли с добавками от слеживания. Например, при выбросе из огнетушителя под давлением сжатого углекислого газа тонкого порошка питьевой соды она образует густое облако, защищающее человека от теплового излучения и тем самым дающее ему возможность подойти ближе к огню. При разложении под действием температуры огня пищевая сода образует углекислый газ и воду, поглощает теплоту (см. выше уравнение реакции (*)). Газовая смесь углекислого газа и паров воды уменьшает доступ к огню кислорода, а на горящий материал еще и осаждается слой термоустойчивого порошка Na2CO3,

Такие огнетушители хороши для тушения горящих нефти, масел, автомобильных двигателей.

 




Поделиться с друзьями:


Дата добавления: 2014-12-07; Просмотров: 3154; Нарушение авторских прав?; Мы поможем в написании вашей работы!


Нам важно ваше мнение! Был ли полезен опубликованный материал? Да | Нет



studopedia.su - Студопедия (2013 - 2026) год. Все материалы представленные на сайте исключительно с целью ознакомления читателями и не преследуют коммерческих целей или нарушение авторских прав! Последнее добавление




Генерация страницы за: 0.01 сек.